Bihar Board 12th Chemistry Objective Questions and Answer:s
Bihar Board 12th Chemistry Objective Answer:s Chapter 1 ठोस अवस्था
Question 1.
निम्न में से कौन-सा विषमदैशिकता (Anisotropy) को दर्शाएगा।
(a) काँच
(b) NaBr
(c) प्लास्टिक
(d) रबड़
Answer:
(b) NaBr
Question 2.
ठोस X एक ऐसा अत्यंत कठोर ठोस होता है जो ठोस के साथ-साथ गलित अवस्था में विद्युतरोधी होता है तथा जिसका अत्यंत उच्च गलनांक होता है। यह किस प्रकार का ठोस है?
(a) आयनिक ठोस
(b) सहसंयोजी ठोस
(c) धात्विक ठोस
(d) आण्विक ठोस
Answer:
(b) सहसंयोजी ठोस
![]()
Question 3.
हीरे, सिलिकन एवं क्वार्ट्ज में मुख्य आबंधी बल (Major bindine force) होता है
(a) स्थिर वैद्युत बल.
(b) विद्युत आकर्षण
(c) सहसंयोजी आबंध बल
(d) वान्डरवॉल्स बल
Answer:
(c) सहसंयोजी आबंध बल
Question 4.
निम्न में से कौन-सी CSC क्रिस्टल की संरचना है?
(a) अंत: केंद्रित घनीय
(b) सरल पनीय
(c) फलक कौद्रित घनीय
(d) सिरा केंद्रित घनीय
Answer:
(a) अंत: केंद्रित घनीय
Question 5.
निम्न में से कौन-सा क्रिस्टल तंत्र के एक प्रकार को नहीं दर्शाता है।
(a) विनताक्ष
(b) एकनताक्ष
(c) जिसमनताक्ष
(d) आइसोट्रॉपिकल
Answer:
(d) आइसोट्रॉपिकल
![]()
Question 6.
निम्न में से कौन-सा क्रिस्टल एक से अधिक ग्रेविस जालक को निहित रखता है?
(a) षट्कोण
(b) त्रिनताक्ष
(c) त्रिसमनताक्ष
(d) एकनताक्ष
Answer:
(d) एकनताक्ष
Question 7.
किसी घनीय संरचना में दो तत्वों x एवं के द्वारा एक क्रिस्टल बनता है। परमाणु घन के कोनों पर तथा Y परमाणु फलक केंद्र पर । यौगिक का सूत्र होगा
(a) XY
(b) XY2
(c) X2Y3
(d) XY3
Answer:
(d) XY3
Question 8.
डोपिंग के द्वारा किस प्रकार के दोष प्रस्तुत होते हैं?
(a) डिसलोकेशन दोष
(b) शोटको दोष
(c) प्रॉकेल दोष
(d) इलेक्ट्रॉनिक दोष
Answer:
(d) इलेक्ट्रॉनिक दोष
![]()
Question 9.
CSC क्रिस्टल में Cs+ व CF की समन्वयन संख्याएँ हैं
(a) 8,8
(b) 4,4
(c) 6,6
(d) 8,4
Answer:
(a) 8,8
Question 10.
सोडियम क्लोराइड क्रिस्टल में सोडियम आयन को किसने क्लोराइड आयन घेरे हुए हैं?
(a) 4
(b) 8
(c) 6
(d) 12
Answer:
(c) 6
Question 11.
NaCl की संरचना में,
(a) सभी अष्टफलकीय एवं चतुष्कलकीय स्थान (Sites) घिरे होते हैं।
(b) केवल अष्टफलकीय स्थान घिरे होते हैं।
(c) केवल चतुष्कलकीय स्थान घिरे होते हैं।
(d) न तो अष्टफलकीय, न ही चतुष्कलकीय स्थान घिरे होते हैं।
Answer:
(b) केवल अष्टफलकीय स्थान घिरे होते हैं।
![]()
Question 12.
जिंक बलेण्ड्डी संरचना में,
(a) जिक आयन आधे अष्टफलकीय स्थानों को परे रहते हैं।
(b) प्रत्येक Zn+ आयन छह सल्फाइड आयनों के द्वारा घिरा होता है।
(c) प्रत्येक S2- आयन छह Zn+ आयनों के द्वारा घिरा होता है।
(d) इसकी fcc संरचना होती है।
Answer:
(a) जिक आयन आधे अष्टफलकीय स्थानों को परे रहते हैं।
Question 13.
षट्कोणीय निविड संकुलन में क्रिस्टलीकृत होने वाली किसी धातु की समन्वयन संख्या है
(a) 12
(b) 4
(c) 8
(d) 6
Answer:
(a) 12
Question 14.
एकान्तरित धनात्मक व ऋणात्मक आयनों वाले एक क्रिस्टल जालक का त्रिज्या अनुपात 0.524 है। चालक की समन्वयन संख्या है
(a) 4
(b) 6
(c) 8
(d) 12
Answer:
(b) 6
![]()
Question 15.
Na+ और CF आयनों की त्रिज्याएँ क्रमश: 95 pm और 181 pm हैं। NaCl इकाई सेल की सिरा लंबाई है
(a) 276 pm
(b) 138 pm
(c) 552pm
(d) 415pm
Answer:
(c) 552pm
Question 16.
त्रिज्या वाली किसी धातु की fee इकाई सेल में उपस्थित परमाणुओं का कुल आयतन होता है

Answer:

Question 17.
कॉपर 361 pm की इकाई सेल लंबाई के साथ fee में क्रिस्टलीकृत होता है। कॉपर परमाणु की त्रिज्या क्या है?
(a) 157pm
(b) 181 pm
(c) 127pm
(d) 108 pm
Answer:
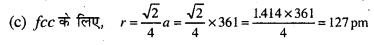
(c) 127pm
![]()
![]()
Question 18.
किसी सरल घन में उपस्थित परमाणुओं के द्वारा रे गए आयतन का अंश है

Answer:
(b)
Question 19.
फलक केंद्रित घनीय इकाई सेल में सिरे की लंबाई है

Answer:
(b)
Question 20.
किसी अन्त:केंद्रित घनीय इकाई सेल की परमाण्विक त्रिज्या एवं सिरा लंबाई के मध्य संबंध होता है

Answer:
(c)
Question 21.
वह तत्व जो 300 pm इकाई सिरा लंबाई एवं 50g mo- मोलर . द्रव्यमान बाले bcc जालक में क्रिस्टलीकृत होता है, का घनत्व
(a) 10g cm-3
(b) 14.2g cm-3
(c) 6.15g cm-3
(d) 9.32g cm-3
Answer:
(c) 6.15g cm-3

Question 22.
100 परमाण्विक द्रव्यमान रखने वाले किसी तत्त्व की bcc संरचना है तथा सिरा लंबाई 400 pm है । तत्त्व का घनत्त्व होगा
(a) 10.37g cm-3
(b) 5.19g cm-3
(c) 7.29g cm-3
(d) 2.14g cm-3
Answer:
(b) 5.19g cm-3
![]()
Question 23.
दी गई क्रिस्टल संरचना में बह धनायन क्या होना चाहिए जो एक धनायन रिक्ति को उत्पन्न करने हेतु Na को प्रतिस्थापित करे?

(a) Sr2+
(b) K+
(c) Li+
(d) Br
Answer:
(a) Sr2+
Question 24.
Fe3O4 मैग्नेटाइट) निम्न में से किसका उदाहरण है ?
(a) सामान्य स्पिनेल संरचना
(b) व्युत्क्रम स्पिनेल संरचना
(c) फ्लोराइट संरचना
(d) एन्टीफ्लोराइट संरचना
Answer:
(b) व्युत्क्रम स्पिनेल संरचना
Question 25.
निम्न में से कौन-सा क्रिस्टल फ्रेंकेल दोष को नहीं दर्शाता है ?
(a) AgBr
(b) AgCl
(c) KBr
(d) ZnS
Answer:
(c) KBr
Question 26.
ZIS के द्वारा किस प्रकार का स्टॉइकियोमेट्रिक दोष दर्शाया
(a) शॉटकी दोष
(b) फ्रेंकेल दोष
(c) फ्रकेल एवं शॉट्की दोनों ही दोष
(d) नॉन-स्टॉइकियोमेट्रिक दोष
Answer:
(b) फ्रेंकेल दोष
![]()
Question 27.
सिल्वर हैलाइड्स सामान्यतः दर्शाते हैं
(a) शॉट्की दोष
(b) फ्रेंकेल दोष
(c) फ्रेकेल एवं शॉट्की दोनों ही दोष
(d) धनायन आधिक्य दोष
Answer:
(c) फ्रेकेल एवं शॉट्की दोनों ही दोष
Question 28.
निम्न में से किसमें धातु न्यूनता दोष (Metal deficiency defect) होगा?
(a) NaCI
(b) Feo
(c) KCI
(d) ZnO
Answer:
(b) Feo
Question 29.
किसी क्रिस्टल में ऋणायन के स्थान पर ग्रहण किया गया इलेक्ट्रॉन कहलाता है
(a) F-केंद्र
(b) फ्रेकल दोष
(c) शॉट्की दोष
(d) अन्तराकाशी दोष
Answer:
(a) F-केंद्र
Question 30.
n-प्रकार के अर्धचालक प्राप्त करने के लिए, जर्मेनियम को किसके साथ उसे डोप करना चाहिए?
(a) गैलियम
(b) आर्सनिक
(c) ऐलुमिनियम
(d) बोरान
Answer:
(b) आर्सनिक
Question 31.
p-प्रकार के अर्धचालक तब बनते हैं जब Siया Ge को इनके साथ होप करते हैं
(a) समूह 14 के तत्व
(b) समूह 15 के तत्व
(c) समूह 13 के तत्व
(d) समूह 18 के तत्त्व
Answer:
(c) समूह 13 के तत्व
Question 32.
शुद्ध सिलिकन एवं जर्मेनियम निम्नानुसार व्यवहार करते हैं-
(a) चालक
(b) अर्धचालक
(c) विद्युतरोधी
(d) पीजोइलेक्ट्रिक क्रिस्टल
Answer:
(c) विद्युतरोधी
![]()
Question 33.
निम्न में से कौन-सी धातु की प्रकृति ऐन्टिपे रोमैग्नेटिक है ?
(a) MnO2
(b) TiO2
(c) NO2
(d) CrO2
Answer:
(a) MnO2
Question 34.
Fe3O4 कमरे के ताप पर फेरीचुम्बकीय होता है लेकिन 850K पर यह बन जाता है
(a) प्रतिचुम्बकीय
(b) फेरीचुम्बकीय
(c) अनुचुम्बकीय
(d) प्रतिलौहचुम्बकीय
Answer:
(c) अनुचुम्बकीय
Question 35.
निम्न में से कौन-सा अक्रिस्टलीय ठोस है?
(a) ग्रेफाइट (C)
(b) क्वार्ट्ज काँच (SiO2)
(c) क्रोम ऐलम
(d) सिलिकन कार्बाइड (SiC)
Answer:
(b) क्वार्ट्ज काँच (SiO2)
प्रश्न 36.
क्वार्ट्स काँच के अपवर्तन गुणांक (Refractive index) के मान के बारे में क्या सही है?
(a) सभी दिशाओं में समान
(b) भिन्न दिशाओं में भिन्न
(c) नहीं मापा जा सकता है
(d) हमेशा शुन्य
Answer:
(a) सभी दिशाओं में समान
Question 37.
निम्न में से कौन-सा नेटवर्क ठोस है ?
(a) SO2
(b) I2
(c) हीरा
(d) H2O
Answer:
(c) हीरा
Question 38.
…….. की उपस्थिति के कारण ग्रेफाइट विद्युत का सुचालक है।
(a) इलेक्ट्रॉनों के एकल युग्म
(b) मुक्त सहसंयोजी इलेक्ट्रॉन
(c) धनायन
(d) ऋणायन
Answer:
(b) मुक्त सहसंयोजी इलेक्ट्रॉन
![]()
Question 39.
किसी शुद्ध क्रिस्टल में जालक स्थान को ……..के द्वारा नहीं घेरा जा सकता है।
(a) अणु
(b) आयन
(c) इलेक्ट्रोन
(d) परमाणु
Answer:
(c) इलेक्ट्रोन
Question 40.
ग्रेफाइट को ……… के रूप में वर्गीकृत नहीं किया जा सकता है।
(a) चालक ठोस
(b) नेटवर्क ठोस
(c) सहसंयोजी ठोस
(d) आयनिक ठोस
Answer:
(d) आयनिक ठोस
Question 41.
p-प्रकार के अर्धचालकों द्वारा अर्जित आवेश के बारे में निम्न में से कौन-सी बात सही है?
(a) धनात्मक
(b) उदासीन
(c) ऋणात्मक
(d) p अशुद्धि की सांद्रता पर निर्भर करता है
Answer:
(b) उदासीन
Question 42.
अंत:केंद्रित घनीय व्यवस्था में रिक्त स्थान का प्रतिशत होता है
(a) 74
(b) 68
(c) 32
(d) 26
Answer:
(c) 32
![]()
Question 43.
द्विविमीय वर्ग निविड संकुलित संरचना में समन्वयन संख्या क्या होती है?
(a) 2
(b) 3
(c) 4
(d) 6
Answer:
(c) 4