Bihar Board 12th Chemistry Objective Question s and Answers
Bihar Board 12th Chemistry Objective Answers Chapter 2 विलयन
Question 1.
किसी विलयन के 500 mL में 10g NaOH की मात्रा को निहित रखने वाले विलयन की मोलरता क्या होगी?
(a) 0.25mol L-1
(b) 0.75mol L-1
(c) 1000.5mol L-1
(d) 1.25mol L-1
Answer:
(c) 1000.5mol L-1

Question 2.
500 mL में घोले गए 0.5 M H2SO4, विलबन के 30 mL की मोलरता क्या होगी?
(a) 0.3M
(b) 0.03M
(c) 3M
(d) 0.103M
Answer:
(b) 0.03M
![]()
Question 3.
ग्लूकोज के उस विलयन की मोललता क्या होगी जो 10% w/w
(a) 001m
(b) 0617m
(c) 0668m
(d) 1.623m
Answer:
(b) 0617m

Question 4.
10% w/W ग्लूकोज विलयन में ग्लूकोज का मोल-अंश क्या –
(a) 001
(b) 0.02
(c) 0.03
(d) 0.04
Answer:
(a) 001
Question 5.
648g शुद्ध जल की मोललता होती है
(a) 36m
(b) 55.5m
(c) 3.6m
(d) 5.55m
Answer:
(b) 55.5m

![]()
Question 6.
NaCl विलयन के 0.25 M के 100 mL में कितने Na+ आयन उपस्थित होते हैं?
(a) 0025 x 1023
(b) 1.505 x 1022
(c) 15 x 10222
(d) 2.5 x 10223
Answer:
(b) 1.505 x 1022

Question 7.
0.25 मोलल जलीय विलयन के 2.5 किया, को बनाने के लिए आवश्यक यूरिया का द्रव्यमान क्या होगा?
(a) 37g
(b) 25g
(c) 125g
(d) 27.5g
Answer:
(a) 37g
Question 8.
एथेनॉल के भारानुसार 85% माश को निहित रखने वाले स्पिरिट के किसी नमूने में एथेनॉल का मोल-अंश क्या होगा?
(a) 0.69
(b) 0.82
(c) 0.85
(d) 0.60
Answer:
(a) 0.69
![]()
Question 9.
बह नियम जो किसी गैस की विलेयता एवं वाब के मध्य संबंध को दर्शाता है।
(a) गडल्ट का नियम
(b) हेनरी का नियम
(c) वाम दाव का अवनमन
(d) वार हॉफ का निगम
Answer:
(b) हेनरी का नियम
Question 10.
नीचे दिए गए पदार्थों में से किसके द्वारा न्यूनतम वाष्प दाव उत्पन होता है।
(a) जल
(b) ऐल्कोहॉल
(c) इधर
(d) पारा
Answer:
(d) पारा
Question 11.
किसी बिलयन घटक का आंशिक दाय इसके मोल-अंश के समानुपाती होता है। इसे कहा जाता है
(a) हेनरी का नियम
(b) सउल्ट का नियम
(c) वितरण नियम
(d) ओस्टवॉल्ड का नियम
Answer:
(b) सउल्ट का नियम
![]()
Question 12.
निम्न में से कौन-सा विलायन राउट के नियम से नकारात्मक विचलन का एक उदाहरण है?
(a) ऐसीटोन + एथेनॉल
(b) कार्बन टेटाक्लोराइड + अलोरोफॉर्म
(c) ऐसौटोन + क्लोरोफॉर्म
(d) जल + एथेनॉल
Answer:
(c) ऐसौटोन + क्लोरोफॉर्म
Question 13.
निम्न में से कौन-सा विलयन राउल्ट के नियम से सकारात्मक बिचलन को दर्शाता है?
(a) ऐसीटोन + ऐनिलीन
(b) ऐसीटोन + एथेनॉल
(c) जल + नाइट्रिक अम्ल
(d) क्लोरोफॉर्म + बेंजीन
Answer:
(b) ऐसीटोन + एथेनॉल
Question 14.
वह निकाय (System) जो अधिकतम क्वथनांकी ऐजीवोटोप बनाता
(a) ऐसीटोन-क्लोरोफॉर्म
(b) एथेनॉल-ऐसीटोन
(c) 1 हेक्सेन- हेप्टेन
(d) कार्बन डाइसल्फाइड-ऐसीटोन
Answer:
(a) ऐसीटोन-क्लोरोफॉर्म
![]()
Question 15.
पादप कोशिका तब सिकुड़ जाती है जब उसे इसमें रखा जाता है
(a) हाइपोटनिक विलयन
(b) हाइपरटॉनिक विलयन
(c) आइसोटॉनिक विलयन
(d) शुद्ध जल
Answer:
(b) हाइपरटॉनिक विलयन
Question 16.
10.28 पिलसरीन प्रति लीटर युक्त एक विलयन ग्लूकोज के 2% विलयन के साथ समपरासरी है। ग्लिसरीन का आण्विक द्रव्यमान
(a) 91.88
(b) 1198 g
(c) 83.9 g
(d) 890.3 g
Answer:
(a) 91.88

Question 17.
जल के हिमांक को 10°C नीचे लाने के लिए इसकी 600g मात्रा में ग्लिसरॉल का कितना भार मिलाया जाना चाहिए?
(Kf = 1.86°Cm-1)
(a) 4968
(b) 297g
(c) 3108
(d) 426g
Answer:
(b) 297g
![]()
Question 18.
किसी विलयन के परासरण दाब को निम्न में से किसके द्वारा बढ़ाया जा सकता है?
(a) आवतन को बढ़ाकर
(b) विलय अणुओं की संख्या को बढ़ाकर
(c) तापमान को बढ़ाकर
(d) अईचारगम्य झिल्ली को हटाकर
Answer:
(b) विलय अणुओं की संख्या को बढ़ाकर
Question 19.
जल के बिलवणीकरण के लिए व्युत्तम परासरण संपन करने के लिए अर्द्धपारगम्य झिल्ली को बनाने में प्रयुक्त पदार्थ होता है
(a) पोटैशियम नाइट्रेट
(b) पार्चमेंट (चर्म पत्र) झिल्ली ।
(c) सेल्यूलोम ऐसीटेट
(d) कोशिका झिल्ली
Answer:
(c) सेल्यूलोम ऐसीटेट
Question 20.
1 लीटर पानी में 2 ग्राम शक्कर को घोलकर शक्कर का विलयन बनाया गया। जल के क्वथनांक व हिमांक पर शक्कर के मिलाने का क्या प्रभाव होता है?
(a) क्वथनांक और डिमांक दोनों ही बढ़ जाते हैं।
(b) क्वथनांक और हिमांक दोनों ही कम हो जाते हैं।
(c) क्वथनांक पता है तथा हिमांक कम होता है।
(d) वमनांक कम होता है तथा हिमांक बढ़ता है।
Answer:
(c) क्वथनांक पता है तथा हिमांक कम होता है।
Question 21.
निम्न में से किसमें K4[Fe(CN)6] के समान वान्ट हॉफ कारक (Van’t Hoff factor) का मान होगा?
(a) Al2(SO4)3
(b) AlCl3
(c) Al(NO3)3
(d) Al(OH)3
Answer:
(a) Al2(SO4)3
![]()
Question 22.
0.01 M Mg (NO3)2 के विलयन की वियोजन की यात्रा क्या होगी यदि बाट हाफ कारक 2.74 है?
(a) 75%
(b) 87%
(c) 100%
(d) 92%
Answer:
(b) 87%
Question 23.
निम्न में से किसका एक वायुमण्डल (Atmosphere) पर उच्चतम हिमांक होगा?
(a) 0.1 M NaCI क्लियन
(b) O.1 M शक्कर विलपन
(c) 0.1M BaCl2, विलयन
(d) 0.1 M FeCl3, विलपन
Answer:
(b) O.1 M शक्कर विलपन
Question 24.
यदि Na2SO4 के वियोजन की मात्रा है, तो आण्विक द्रव्यमान की गणना करने के लिए प्रयुक्त बाट हाफ कारक (I) होता है
(a) 1+α
(b) 1-α
(c) 1+2α
(d) 1-2α
Answer:
(c) 1+2α
Question 25.
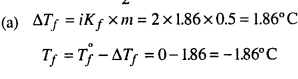
0.5m KCI के विलयन का हिमांक क्या होगा? जल का मोलला हिमांक स्विरांक 1.86°Cm है।
(a) -1.86°C
(b) -0.3720
(c) -3.2°C
(d) 0°C
Answer:
(a) -1.86°C

![]()
Question 26.
निम्न में से किसका सर्वाधिक हिमांक है?
(a) 1m NaCI विलयन
(b) 1m KCl विलपन
(c) 1m AlCl3, विलयन
(d) 1m C6H12O6 बिलयन
Answer:
(d) 1m C6H12O6 बिलयन
Question 27.
2 लीटर जल में CaCl2 (in 2.47) की कितनी मात्रा को घोला जाए कि इसका परासरण दाब 27°C पर 0.5 atm हो?
(a) 3.42g
(b) 9.248
(c) 2.8348
(d) 1.8208
Answer:
(d) 1.8208

Question 28.
जल में [[Pt(NH3)4 Cl4] के 0.001 मोलल बिलयन का हिमांक अवनमन 0.0054°C है। यदि जल का K/1.80 है. तो यौगिक का सही सूत्र है
(a) [Pt(NH3)4Cl3]Cl
(b) [Pt(NH3)4Cl4]
(c) [Pt(NH3)4Cl2]Cl2
(d) [Pt(NH3)4Cl]Cl3
Answer:
(c) [Pt(NH3)4Cl2]Cl2
![]()
Question 29.
निम्न में से किस विलेय के लिए वाट हॉफ कारक एक से अधिक
(a) NaNO3
(b)BaCl2
(c) K4[Fe(CN)6]
(d) NH2CONH2
Answer:
(d) NH2CONH2
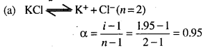
Question 30.
KCI के 0.005 M जलीय विलयन के लिए वान्ट हॉफ कारक 1.95 है | KCI के आवनीकरण की माश होगा
(a) 0.95
(b) 0.97
(c) 0.94
(d) 0.96
Answer:
आवनीकरण की माश होगा
(a) 0.95

Question 31.
निम्न में से कौन-सी इकाई किसी विलबन की सांद्रता का उसके वाय दाब के साथ संबंध स्थापित करने में उपयोगी है?
(a) मोल-अंश
(b) पार्टस पर मिलियन
(c) द्रव्यमान प्रतिशत
(d) गोललता
Answer:
(a) मोल-अंश
![]()
Question 32.
निम्न में से किस जलीय विलयन का सर्वाधिक क्वथनाक हाना चाहिए?
(a) 1.0 M NaOH
(b) 1.0 M Na2SO4
(c) 1.0 MNH4NO3
(d) 1.0 M KNO3
Answer:
(b) 1.0 M Na2SO4
Question 33.
ग्लूकोज के 0.01 M विलयन की तुलना में 0.01 M MgCl2, विलयन के हिमांक में अवनमन होता है
(a) समान
(b) लगभग दुगुना
(c) लगभग तीन गुना
(d) लगभग छह गुना
Answer:
(c) लगभग तीन गुना
Question 34.
KCl, NaCl एवं K2SO4, के लिए चार हॉफ कारक क्रमशः है
(a) 2.2 एवं 2
(b) 2.2 एवं 3
(c) 1, 1 एवं 2
(d) 1.1 एवं 1
Answer:
(b) 2.2 एवं 3
![]()
Question 35.
हेनरी के स्थिरांक KH का मान
(a) तापमान में वृद्धि के साथ बढ़ता है
(b) तापमान में वृद्धि के साथ घटता है
(c) समान बना रहता है
(d) पहले बढ़ता है, फिर घटना है
Answer:
(a) तापमान में वृद्धि के साथ बढ़ता है
Question 36.
NaCl के 0.02 M के 4. जलीय विलयन को 1 लीटर पानी डालकर तुन किया गया। परिणामी विलयन की मोललता है
(a) 0004
(b) 0.00
(c) 0012
(d) 0.016
Answer:
(d) 0.016