Bihar Board 12th Maths Model Papers
Bihar Board 12th Maths Model Question Paper 2 in Hindi
समय : 3 घंटे 15 मिनट
अंक : 100
परिक्षार्थियों के लिए निर्देश
- परीक्षार्थी यथासंभव अपने शब्दों में ही उत्तर दें।
- दाहिनी ओर हाशिये पर दिये हुए अंक पूर्णांक निर्दिष्ट करते हैं।
- उत्तर देते समय परीक्षार्थी यथासंभव शब्द-सीमा का ध्यान रखें।
- इस प्रश्न पत्र को ध्यानपूर्वक पढ़ने के लिए पन्द्रह मिनट का अतिरिक्त समय दिया गया है।
- यह प्रश्न-पत्र के दो खण्डों में है, खण्ड-अ एवं खण्ड-ब।
- खण्ड-अ में 1-50 तक वस्तुनिष्ठ प्रश्न हैं, सभी प्रश्न अनिवार्य हैं। (प्रत्येक प्रश्न के लिए 1 अंक निर्धारित है), इनके उत्तर उपलब्ध कराये गये OMR शीट में दिये गये वृत्त को काले / नीले बॉल पेन से भरें। किसी भी प्रकार के व्हाइटनर/तरल पदार्थ/ब्लेड/नाखून आदि का OMR-शीट में प्रयोग करना मना है, अन्यथा परीक्षा परिणाम अमान्य होगा।
- खण्ड-ब में 25 लघुउत्तरीय प्रश्न हैं (प्रत्येक प्रश्न के लिए 2 अंक निर्धारित है) जिनमें से किन्ही 15 प्रश्नों के उत्तर देना अनिवार्य है। इसके अतिरिक्त खण्ड में 08 दीर्घ उत्तरीय प्रश्न (प्रत्येक प्रश्न के लिए 05 अंक निर्धारित हैं) जिनमें से किन्हीं 4 प्रश्नों के उत्तर देना है।
- किसी तरह के इलेक्ट्रॉनिक-यंत्र का इस्तेमाल वर्जित है।
खण्ड-अ : वस्तुनिष्ठ प्रश्न
प्रश्न संख्या 1 से 50 तक के प्रत्येक प्रश्न के साथ चार विकल्प दिए गए हैं, जिनमें से एक सही है। अपने द्वारा चुने गए सही विकल्प को OMR शीट पर चिह्नित करें। (50 × 1 = 50)
प्रश्न 1.
समुच्चय A पर परिभाषित सम्बन्ध र एक रिक्त सम्बन्ध है यदि
(a) 0 ⊆ A × A
(b) Φ ⊆ A × A
(c) {0} ⊆ A × A
(d) {Φ} ⊆ A × A
उत्तर:
(b) Φ ⊆ A × A
प्रश्न 2.

उत्तर:
(b) \(g(y)=\frac{4 y}{4-3 y}\)
प्रश्न 3.
मान लीजिए कि N में एक द्विआधारी संक्रिया * : a * b = a तथा b का L.C.M द्वारा परिभाषित है तब 20 * 16 = ……
(a) 0
(b) 40
(c) 60
(d) 80
उत्तर:
(d) 80
प्रश्न 4.

उत्तर:
(b) \(\tan ^{-1} \frac{6}{7}\)
प्रश्न 5.

उत्तर:
(a) \(\frac{\pi}{4}\)
प्रश्न 6.

उत्तर:
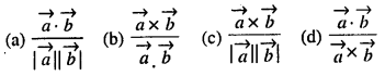
(c) π
प्रश्न 7.

उत्तर:
(c) \([0, \pi]-\left\{\frac{\pi}{2}\right\}\)
प्रश्न 8.
Sec-1 का प्रान्त है :
(a) [-1, 1]
(b) R – {0}
(c) R – (-1, 1)
(d) R – [-1, 1]
उत्तर:
(c) R – (-1, 1)
प्रश्न 9.

उत्तर:
(b) \(\frac{\pi}{3}\)
प्रश्न 10.
आब्यूह \(\left[\begin{array}{lll}
2 & 0 & 0 \\
0 & 4 & 0 \\
0 & 0 & 6
\end{array}\right]\) एक है :
(a) अदिश आब्यूह
(b) इकाई आब्यूह
(c) शून्य आब्यूह
(d) विकर्ण आब्यूह
उत्तर:
(d) विकर्ण आब्यूह
प्रश्न 11.
यदि A = \(\left[\begin{array}{ccc}
1 & -2 & 3 \\
-4 & 2 & 5
\end{array}\right]\) तथा B = \(\left[\begin{array}{ll}
2 & 3 \\
4 & 5 \\
2 & 1
\end{array}\right]\) तो
(a) AB, BA का आस्तित्व है और दोनों बराबर है
(b) AB का आस्तित्व है और BA का आस्तित्व नहीं है
(c) AB का आस्तित्व नहीं है और BA का आस्तित्व है
(d) AB और BA का आस्तित्व है परन्तु बराबर नहीं है
उत्तर:
(d) AB और BA का आस्तित्व है परन्तु बराबर नहीं है
प्रश्न 12.
यदि \(\left[\begin{array}{ll}
4 & 3 \\
x & 5
\end{array}\right]=\left[\begin{array}{ll}
y & z \\
1 & 5
\end{array}\right]\) तब x, y, z का मान होगा:
(a) 1, 2, 3
(b) 1, 4, 3
(c) 3, 4, 0
(d) 0, 0, 1
उत्तर:
(b) 1, 4, 3
प्रश्न 13.
निम्नलिखित में कौन-सा कथन सत्य है :
(a) सारणिक एक वर्ग आब्यूह है
(b) सारणिक एक आब्यूह से संबद्ध एक संख्या है
(c) सारणिक एक वर्ग आब्यूह से संबद्ध एक संख्या है
(d) इनमें से कोई नहीं
उत्तर:
(a) सारणिक एक वर्ग आब्यूह है
प्रश्न 14.
यदि \(\left|\begin{array}{cc}
2 & 2 \\
5 & 1
\end{array}\right|=\left|\begin{array}{cc}
2 x & 4 \\
6 & x
\end{array}\right|\) तो x का मान होगा :
(a) ±2
(b) ±2√2
(c) ±2√3
(d) ±√3
उत्तर:
(b) ±2√2
प्रश्न 15.

उत्तर:
(b) abc
प्रश्न 16.
समीकरण निकाय 2x + 5y = 1, 3x + 2y = 7 का हल है :
(a) x = 1, y = 2
(b) x = 3, y = -1
(c) x = 1, y = -2
(d) x = 2, y = -1
उत्तर:
(b) x = 3, y = -1
प्रश्न 17.
यदि y = (3x2 – 9x + 5)9 तब \(\frac{d y}{d x}\) का मान होगा :
(a) 27 (3x2 – 9x + 5)8 (2x – 3)
(b) 27 (3x2 – 9x + 5)
(c) 27 (2x – 3)
(d) इनमें से कोई नहीं
उत्तर:
(a) 27 (3x2 – 9x + 5)8 (2x – 3)
प्रश्न 18.

उत्तर:
(b) \(\frac{12}{(3-2 x)^{2}} \sin \left[\log \frac{2 x+3}{3-2 x}\right]\)
प्रश्न 19.
यदि y = xx हो तब \(\frac{d y}{d x}\) बराबर है:
(a) xx (1 + log x)
(b) xx logx
(c) log x
(d) 0
उत्तर:
(a) xx (1 + log x)
प्रश्न 20.
यदि y = sin (x3) हो तब \(\frac{d y}{d x}\) बराबर है :
(a) x3 cos(x3)
(b) 3x2 sin(x3)
(c) 3x2 cos(x3)
(d) cos(x3)
उत्तर:
(c) 3x2 cos(x3)
प्रश्न 21.
f(x) = 3x + 17 से प्रदत्त फलन, R पर
(a) निरंतर वर्धमान
(b) निरंतर हासमान है
(c) न तो वर्धमान है और न हासमान है
(d) इनमें से कोई नहीं
उत्तर:
(a) निरंतर वर्धमान
प्रश्न 22.
वक्र y = x2 + 3x + 4 के बिन्दु (1, 1) पर अभिलम्ब की प्रवणता है :
(a) 5
(b) \(-\frac{1}{5}\)
(c) 8
(d) इनमें से कोई नहीं
उत्तर:
(b) \(-\frac{1}{5}\)
प्रश्न 23.
m का मान क्या होगा यदि रेखा y = mx + 1, वक्र y2 = 4x की स्पर्श रेखा है:
(a) 1
(b) 2
(c) 3
(d) \(\frac{1}{2}\)
उत्तर:
(a) 1
प्रश्न 24.
यदि f(x) = 3x2 + 15x + 5 हो, तो f(3.02) का सन्निकट मान है:
(a) 47.66
(b) 57.66
(c) 67.66
(d) 77.66
उत्तर:
(d) 77.66
प्रश्न 25.
\(\int \frac{\sec ^{2}(\log x)}{x} d x=\)
(a) log(tan x) + c
(b) -log(tan x) + c
(c) tan(tan x) + c
(d) tan(log x) + c
उत्तर:
(d) tan(log x) + c
प्रश्न 26.

उत्तर:
(b) \(e^{\tan ^{-1} x}+c\)
प्रश्न 27.

उत्तर:
(b) \(\frac{\pi}{4}\)
प्रश्न 28.

उत्तर:
(a) \(\int_{a}^{c} f(x) d x\)
प्रश्न 29.

उत्तर:
(b) \(\frac{x^{n+1}}{n+1}+k\)
प्रश्न 30.

उत्तर:
(c) ex log x
प्रश्न 31.
x-अक्ष और वक्र y = cos x, जहाँ 0 ≤ x ≤ 2π के बीच का क्षेत्रफल है:
(a) 0
(b) 2
(c) 3
(d) 4
उत्तर:
(d) 4
प्रश्न 32.
निम्नलिखित अवकल समीकरणों में किसका एक विशिष्ट हल y = x है:

उत्तर:
(c) \(\frac{d^{2} y}{d x^{2}}-x^{2} \frac{d y}{d x}+x y=0\)
प्रश्न 33.

उत्तर:
(b) \(\frac{d^{2} y}{d x^{2}}-y=0\)
प्रश्न 34.
अवकल समीकरण \(\left(\frac{d s}{d t}\right)^{4}+3 s \frac{d^{2} s}{d t^{2}}=0\) की कोटि और घात है?
(a) 1, 2
(b) 2, 1
(c) 2, 4
(d) 4, 2
उत्तर:
(b) 2, 1
प्रश्न 35.
निम्नलिखित में से कौन-सा समघातीय अवकल समीकरण है :
(a) (4x + 6y + 5) dy – (3y + 2x + 4) dx = 0
(b) xy dx – (x3 + y3) dy = 0
(c) (x3 + 2y2) dx + 2xy dy = 0
(d) y2 dx + (x2 – xy – y) dy = 0
उत्तर:
(c) (x3 + 2y2) dx + 2xy dy = 0
प्रश्न 36.

उत्तर:
(d) \(\frac{1}{\sqrt{1-y^{2}}}\)
प्रश्न 37.

उत्तर:
(b) -15
प्रश्न 38.

उत्तर:
(b) 7
प्रश्न 39.
त्रिभुज ABC के लिए कौन-सा कथन सत्य है :

उत्तर:
(c) \(\overrightarrow{A B}+\overrightarrow{B C}-\overrightarrow{C A}=0\)
प्रश्न 40.
यदि तीन बिन्दुओं के स्थिति सदिश \(\vec{a}-2 \vec{b}+3 \vec{c}, 2 \vec{a}\) \(+3 \vec{b}-4 \vec{c}, 7 \vec{b}-10 \vec{c}\) हैं तब ये हैं :
(a) एकरैखिक
(b) एकतलीय
(c) नैकतलीय
(d) इनमें से कोई नहीं
उत्तर:
(b) एकतलीय
प्रश्न 41.
यदि a + b + c = 0 तो :
(a) \(\vec{a} \cdot \vec{b}=0\)
(b) \(\vec{a}=\vec{b}\)
(c) \(\vec{a} \times \vec{b}=\vec{b} \times \vec{c}=\vec{c} \times \vec{a}\)
(d) इनमें से कोई नहीं
उत्तर:
(c) \(\vec{a} \times \vec{b}=\vec{b} \times \vec{c}=\vec{c} \times \vec{a}\)
प्रश्न 42.
दो सदिशों \(\vec{a}\) और \(\vec{a}\) में के बीच का कोण θ है तब cos θ बराबर

उत्तर:
(a) \(\frac{\vec{a} \cdot \vec{b}}{|\vec{a}||\vec{b}|}\)
प्रश्न 43.

उत्तर:
(c) समकोणीय
प्रश्न 44.
अभिलम्ब रूप में समतल का सदिश समीकरण है :
(a) \(\vec{r} \cdot \hat{n}=d\)
(b) \(\vec{r}-d=\hat{n}\)
(c) \(\vec{r} d=\hat{n}\)
(d) इनमें से कोई नहीं
उत्तर:
(a) \(\vec{r} \cdot \hat{n}=d\)
प्रश्न 45.
समतल 2x – y + 4z = 5 और 5x – 2.5y + 10z = 6 हैं :
(a) परस्पर लम्ब
(b) समान्तर
(c) y-अक्ष पर प्रतिच्छेद करती है
(d) बिंदु (0, 0, \(\frac{5}{4}\)) से गुजरते हैं
उत्तर:
(b) समान्तर
प्रश्न 46.
एक छात्राबास में 60% विद्यार्थी हिन्दी का 40% अंग्रेजी का, और 20% दोनों अखबार पढ़ते हैं तब न तो हिन्दी और नहीं अंग्रेजी अखबार पढ़ने की प्रायिकता है:
(a) 0.2
(b) 0.3
(c) 0.4
(d) 0.5
उत्तर:
(a) 0.2
प्रश्न 47.
एक पासों के साथ एक द्विक प्राप्त करने की प्रायिकता है :
(a) \(\frac{2}{3}\)
(b) \(\frac{1}{6}\)
(c) \(\frac{5}{6}\)
(d) \(\frac{5}{36}\)
उत्तर:
(b) \(\frac{1}{6}\)
प्रश्न 48.
निम्नलिखित कौन रैखिक प्रोग्रामन समस्या नहीं है :
(a) आहार सम्बन्धी समस्या
(b) खपत सम्बन्धी समस्या
(c) उत्पादन सम्बन्धी समस्या
(d) परिवहन सम्बन्धी समस्या
उत्तर:
(b) खपत सम्बन्धी समस्या
प्रश्न 49.
रैखिक प्रोग्रामन समस्या में कौन ऋणेत्तर व्यवरोध कहलाता है :
(a) x = 0, y = 0
(b) x ≥ 0, y ≥ 0
(c) x ≤ 0, 920
(d) इनमें से कोई नहीं
उत्तर:
(b) x ≥ 0, y ≥ 0
प्रश्न 50.
रैखिक प्रोग्रामन समस्या में फलन Z = ax + by को कहा जाता है :
(a) उद्देश्य फलन
(b) व्यवरोध
(c) सुसंगत हल
(d) कोणीय बिन्दु
उत्तर:
(a) उद्देश्य फलन
खण्ड-ब : गैर-वस्तुनिष्ठ प्रश्न
लघु उत्तरीय प्रश्न
प्रश्न संख्या 1 से 25 तक लघु उत्तरीय कोटि के हैं। प्रत्येक के लिए 2 अंक निर्धारित हैं। इनमें से किसी 15 प्रश्न का उत्तर दें। (2 × 15 = 30)
प्रश्न 1.
किसी समतल में त्रिभुजों का समुच्चय T पर सम्बन्ध R = {(T1, T2) : T1, T2 के सर्वांगसम है} से परिभाषित है। सिद्ध कीजिए कि R एक तुल्यता सम्बन्ध है।
हल :
माना कि T1, T2, T3 ∈ T तब
(i) (T, T) ∈ R
⇒ TRT
⇒ प्रत्येक त्रिभुज खुद से सर्वांगसम है।
⇒ इसलिए R स्वतुल्य सम्बन्ध है।
(ii) (T1, T2) ∈ R
⇒ (T2, T1) ∈ R
⇒ T1, T2 के सर्वांगसम है
⇒ T2, T1 के सर्वांगसम होगा
⇒ इसलिए R एक सममित सम्बन्ध है।
(iii) (T1, T2) ∈ R
⇒ (T2, T3) ∈ R
⇒ (T1, T3) ∈ R
⇒ T1, T2 के सर्वांगसम और T2, T3 के सर्वांगसम है
⇒ T1, T3 के सर्वांगसम होगा
⇒ इसलिए R एक संक्रमक सम्बन्ध है।
चूँकि R स्वतुल्य, सममित और संक्रमक सम्बन्ध है।
अतः R एक तुल्यता सम्बन्ध है।
प्रश्न 2.
![]()
हल :

प्रश्न 3.
![]()
हल :


प्रश्न 4.
आब्यूह के व्युत्क्रम, यदि उनका अस्तित्व है, तो प्रारम्भिक रूपान्तरण के प्रयोग से ज्ञात कीजिए : \(\left[\begin{array}{cc}
1 & 2 \\
2 & -1
\end{array}\right]\)
हल :

प्रश्न 5.
यदि A = \(\left[\begin{array}{cc}
3 & -5 \\
-4 & 2
\end{array}\right]\) तो जाँच कर दिखाइए कि A2 – 5A – 14I = 0.
हल :
दिया है, A = \(\left[\begin{array}{cc}
3 & -5 \\
-4 & 2
\end{array}\right]\)
हल :

प्रश्न 6.

हल :

प्रश्न 7.

हल :

प्रश्न 8.

हल :
प्रश्न 9.
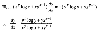
\(\frac{d y}{d x}\) ज्ञात कीजिए : xy + yx = 1.
हल :


प्रश्न 10.

हल :

प्रश्न 11.
समाकलन कीजिए : \(\int \frac{d x}{1+\sin x}\)
हल :

प्रश्न 12.
मान ज्ञात कीजिए : \(\int_{\frac{\pi}{2}}^{\frac{\pi}{2}} \sin ^{2} x d x\)
हल :

प्रश्न 13.
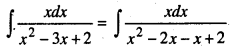
समाकलन कीजिए : \(\int \frac{x d x}{x^{2}-3 x+2}\)
हल :
![]()

प्रश्न 14.
x = 0 तथा x = 2π से घिरे वक्र y = cos x का क्षेत्रफल ज्ञात कीजिए।
हल :

प्रश्न 15.
दर्शाइए कि दिए गए अवकल समीकरण समघातीय है और इन्हें हल कीजिए :
\(x \frac{d y}{d x}-y+x \sin \frac{y}{x}=0\)
हल :



प्रश्न 16.
सदिश विधि से सिद्ध कीजिए कि किसी समकोण त्रिभुज में कर्ण का मध्य बिन्दु Δ के शीर्षों से समान दूरी पर हैं।
हल :
माना कि ABC एक समकोण Δ जिसका कोण ∠AOB = 90° है।
माना कि Δ के कर्ण AB का मध्य बिन्दु D है।
सिद्ध करना है कि OD = DA = DB माना कि O मूल बिन्दु है और Δ के शीर्ष A तथा B का स्थिति सदिश क्रमशः \(\vec{a}\) और \(\vec{b}\) है।


प्रश्न 17.

हल :


प्रश्न 18.
तलों x + y + z = 1 और 2x + 3y + 4z = 5 के प्रतिच्छेदन रेखा से होकर जाने वाले तथा तल x – y + z = 0 पर लंबवत् तल का समीकरण ज्ञात कीजिए।
हल :
समतलों x + y + z = 1 तथा 2x + 3y + 4z = 5 के प्रतिच्छेदन रेखा से जाने वाली समतल का समीकरण x + y + z – 1 + λ(2x + 3y + 4z – 5) = 0

प्रश्न 19.
मूल बिन्दु से समतल 2x – 3y + 4z – 6 = 0 पर डाले गए लम्ब के पाद के निर्देशांक ज्ञात कीजिए।
हल :
माना कि मूल बिन्दु O से समतल पर डाले गए लम्ब के पाद P का निर्देशांक P(x1, y1, z1) है।
तब रेखा OP के दिक् अनुपात x1, y1, z1 है ।
अब समतल दिक् अनुपात 2, -3, 4 है इसलिए दिक् कोज्याएँ हैं :


प्रश्न 20.
उस बिंदु के निर्देशांक ज्ञात कीजिए जहाँ बिंदुओं (5, 1, 6) और (3, 4, 1) को मिलाने वाली रेखा ZX-तल को काटती है।
हल :

प्रश्न 21.
पासों के एक जोड़े को 4 बार उछाला जाता है। यदि ‘पासों पर प्राप्त अंकों का द्विक होना’ एक सफलता मानी जाती है, तो 2 सफलताओं की प्रायिकता ज्ञात कीजिए।
हल :
जब दो पासे उछाला जायगा तब अंकों का द्विक 6 तरीके से प्राप्त हो सकता है
कुल संभव परिणाम = 6 × 6 = 36
एक द्विक प्राप्त होने की प्रायिकता = \(\frac{6}{36}=\frac{1}{6}\)
इस प्रकार p = \(\frac{1}{6}\) और q = \(\frac{5}{6}\)
4 उछाल में 2 बार सफल होने की प्रायिकता

प्रश्न 22.
एक अनभिनत पासे को फेंकने पर प्राप्त संख्याओं का प्रसरण ज्ञात कीजिए।
हल :
स्पष्ट है कि परीक्षण का प्रतिदर्श समष्टि है :
S = {1, 2, 3, 4, 5, 6} ⇒ n(S) = 6
माना कि X पासे की संख्या एक यादृच्छिक चर है जो 1, 2, 3, 4, 5 या 6 मान ले सकता है। साथ ही
P(1) = P(2) = P(3) = P(4) = P(5) = P(6) = \(\frac{1}{6}\)
X का प्रायिकता बंटन निम्न प्रकार होगा :


प्रश्न 23.

हल :

प्रश्न 24.

हल :

प्रश्न 25.
![]()
हल :


दीर्घ उत्तरीय प्रश्न
प्रश्न संख्या 26 से 33 तक दीर्घ उत्तरीय कोटि के प्रश्न हैं। प्रत्येक के लिए 5 अंक निर्धारित हैं। प्रत्येक प्रश्न के साथ “अथवा” का विकल्प दिया गया है। आपको प्रश्न या अथवा में से किसी एक प्रश्न का उत्तर देना है। (5 × 6 = 30)
प्रश्न 26.
सिद्ध कीजिए कि फलन sin x (1 + cos x), x ∈ [0, π], x = \(\frac{\pi}{3}\) पर महत्तम है।
हल :

प्रश्न 27.
यदि cos y = x cos(a + y) तो \(\frac{d y}{d x}=\frac{\cos ^{2}(a+y)}{\sin a}\)
हल :

प्रश्न 28.
मान ज्ञात कीजिए : \(\int_{0}^{\pi} \frac{x \sin x}{1+\cos ^{2} x} d x\)
हल :


प्रश्न 29.
समाकलन विधि के त्रिभुज का क्षेत्रफल ज्ञात कीजिए जिसके शीर्ष (1, 0), (2, 2) और (3, 1) है।
हल :
माना कि A(1, 0), B(2, 2) तथा C(3, 1) त्रिभुज ABC के शीर्ष हैं।
तब ΔABC की भुजाएँ AB, BC तथा CA का समीकरण क्रमशः
y = 2(x – 1), y = 4 – x और y = \(\frac{1}{2}\) (x – 1) होंगे।
ΔABC का क्षेत्रफल = ΔABD का क्षेत्रफल + समलम्बचतुर्भुज BDEC का क्षेत्रफल – ΔAEC का क्षेत्रफल ।


प्रश्न 30.

हल :

प्रश्न 31.
उस बिंदु के निर्देशांक ज्ञात कीजिए जहाँ बिंदुओं (5, 1, 6) और (3, 4, 1) को मिलाने वाली रेखा YZ-तल को काटती हैं।
हल :
बिन्दुओं (x1, y1, z1) और (x2, y2, z2) से होकर जाने वाली रेखा का समीकरण हैं:

प्रश्न 32.
निम्न अवरोधों के अंर्तगत Z = 3x + 2y का न्यूनतमीकरण कीजिए :
x + 2y ≤ 10, 3x + y ≤ 15, x, y ≥ 0
हल :
उद्देश्य फलन Z = 3x + 2y, अवरोध है:
x + 2y ≤ 10, 3x + y ≤ 15, x, y ≥ 0
x + 2y ≤ 10 के संगत रेखा का समीकरण x + 2y = 10 बिन्दु A(10, 0) और B (0, 5) से गुजरती है।
x + 2y = 10 का आरेख रेखा AB है।
अतः x + 2y ≤ 10 में x = 0, y = 0 रखने पर 0 ≤ 10 जो सत्य है।
अतः x + 2y ≤ 10 क्षेत्र के बिन्दु रेखा AB पर और इसके नीचे हैं।
3x + y ≤ 15 के संगत रेखा का समीकरण
3x + y = 15 बिन्दु P(5, 0) और Q(0, 15) से होकर जाती है।
3x + y = 15 का आरेख PQ हैं पुनः
3x + y ≤ 15 में x = 0, y = 0 रखने पर, 0 ≤ 15 जो सत्य है।
अत: 3x + y ≤ 15 क्षेत्र के बिन्दु रेखा PQ पर और PQ के नीचे है।

x ≥ 0, क्षेत्र के बिन्दु.y-अक्ष पर और इस के दायीं ओर है।
y ≥ 0 क्षेत्र के बिन्दु x-अक्ष पर और इस के ऊपर है।
इस प्रकार समस्या का सुसंगत क्षेत्र OBRP है जबकि R बिन्दु AB और PQ का प्रतिच्छेदन बिन्दु है।
AB = x – 2y = 10; PQ = 3x + y = 15 को हल करने पर बिन्दु (4, 3) प्राप्त होता है।
उद्देश्य फलन – Z = 3x + 2y
B(0, 5) पर Z = 2 × 5 = 10
R(4, 3) पर Z = 12 + 6 = 18
P(5, 0) पर Z = 3 × 5 + 0 = 15
अत: Z का न्यूनतम मान 10 है जो बिन्दु B(0, 5) पर है।
प्रश्न 33.
निम्नांकित LPP का आलेखीय हल निकालें :
अधिकतमीकरण के Z = 45x + 80y
जबकि 5x + 20y ≤ 400, 10x + 15y ≤ 450 और x ≥ 0, y ≥ 0.
हल :
दिए गए उद्देश्य फलन Z = 45x + 80y का निम्न व्यवरोधों के संगत समीकरण
5x + 20y ≤ 400 ⇒ 5x + 20y = 400 …… (1)
10x + 15y ≤ 450 ⇒ 10x + 15y = 450 …….(2)
x ≥ 0, y ≥ 0 ⇒ x = 0, y = 0 ……(3)
के अन्तर्गत Z का अधिकतम मान ज्ञात करना है।
सर्वप्रथम (1) से (3) के असमीकरण के संगत समीकरण का आलेख आकृति के अनुसार खींचते हैं।
आकृति से स्पष्ट है कि (1) और (2) एक दूसरे से बिन्दु P (24, 14) पर प्रतिच्छेद करती है और OAPD सुसंगत क्षेत्र प्राप्त होता है, जो परिवद्ध है।
आकृति से स्पष्ट है कि OAPD के कोणीय बिन्दु के निर्देशांक क्रमशः 0 (0, 0), A (42, 0), P (24, 14) और D (0, 19) है।
अन्त में कोनीय विधि द्वारा 2 का अधिकतम मान ज्ञात करते हैं :

कोनीय बिन्दु Z = 45x + 80y
O(0, 0), Z = 0
A(42, 0), Z = 45 × 42 + 0 = 1890
P(24, 14), Z = 45 × 24 + 80 × 14 = 2200
D(0, 19), Z = 0 + 80 × 19 = 1520
उपर्युक्त सारणी से स्पष्ट है कि Z का अधिकतम मान बिन्दु (24, 14) पर 2200 है।
अत: Z का अधिकतम मान 2200 है।