Bihar Board 12th Maths Objective Questions and Answers
Bihar Board 12th Maths Objective Answers Chapter 1 Relations and Functions
Question 1.
If R = {(x, y) : x, y ∈ I, x2 + y2 ≤ 4} is a relation in I, then domain of R is
(a) {0, 1, 2}
(b) {-2, -1, 0}
(c) {-2, -1, 0, 2}
(d) None of these
Answer:
(c) {-2, -1, 0, 2}
Question 2.
If A = {1, 2, 3}, B = {1, 4, 6, 9} and R is relation from A to B defined by ‘or is greater thany’. The range of R is
(a) {1, 4, 6, 9}
(b) {4, 6, 9}
(c) {1}
(d) None of these
Answer:
(c) {1}
![]()
Question 3.
The relation R = {(1, 1), (2, 2), (3, 3), (1, 2), (2, 3), (1, 3)} on set A = {1, 2, 3} is
(a) Reflexive but not symmetric
(b) Reflexive but not transitive
(c) Symmetric and transitive
(d) Neither symmetric nor transitive
Answer:
(a) Reflexive but not symmetric
Question 4.
Let P = {(x, y) | x2 + y2 = 1, xy ∈ R}. Then P is
(a) Reflexive
(b) Symmetric
(c) Transitive
(d) Anti-symmetric
Answer:
(b) Symmetric
Question 5.
Let S be the set of all real numbers. Then, the relation R = {(a, b) : 1 + ab > 0} on S is
(a) Reflexive and symmetric but not transitive
(b) Reflexive and transitive but not symmetric
(c) Symmetric and transitive but not reflexive
(d) Reflexive, transitive and symmetric
Answer:
(a) Reflexive and symmetric but not transitive
Question 6.
Let R be a relation on the set N be defined by {(x, y) | x, y ∈ N, 2x + y = 41}. Then, R is
(a) Reflexive
(b) Symmetric
(c) Transitive
(d) None of these
Answer:
(d) None of these
![]()
Question 7.
Let R be the relation on the set of all real numbers defined by aRb iff |a – b| ≤ 1. Then, R is
(a) Reflexive and symmetric
(b) Symmetric only
(c) Transitive only
(d) Anti-symmetric only
Answer:
(a) Reflexive and symmetric
Question 8.
If R and R’ are symmetric relations (not disjoint) on a set A, then the relation R ∩ R’ is
(a) Reflexive
(b) Symmetric
(c) Transitive
(d) None of these
Answer:
(b) Symmetric
Question 9.
Let A = {1, 2, 3, 4} and R be a relation in A given by R = {(1, 1), (2, 2), (3, 3), (4, 4), (1, 2), (2, 1), (3, 1). Then, R is
(a) Reflexive
(b) Transitive
(c) An equivalence relation
(d) None of these
Answer:
(a) Reflexive
![]()
Question 10.
Which one of the following relations on R is an equivalence relation?
(a) aR1b ⇔ |a| = |b|
(b) aR2b ⇔ a ≥ b
(c) aR3b ⇔ a divides b
(d) aR4b ⇔ a < b
Answer:
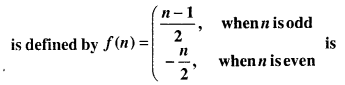
(a) aR1b ⇔ |a| = |b|
Question 11.
Let R be a relation on the set N of natural numbers denoted by nRm ⇔ n is a factor of m (i.e. n | m). Then, R is
(a) Reflexive and symmetric
(b) Transitive and symmetric
(c) Equivalence
(d) Reflexive, transitive but not symmetric
Answer:
(d) Reflexive, transitive but not symmetric
Question 12.
Let S = {1, 2, 3, 4, 5} and let A = S × S. Define the relation R on A as follows:
(a, b) R (c, d) iff ad = cb. Then, R is
(a) reflexive only
(b) Symmetric only
(c) Transitive only
(d) Equivalence relation
Answer:
(d) Equivalence relation
Question 13.
Let R be the relation “is congruent to” on the set of all triangles in a plane is
(a) reflexive
(b) symmetric
(c) symmetric and reflexive
(d) equivalence
Answer:
(d) equivalence
![]()
Question 14.
Total number of equivalence relations defined in the set S = {a, b, c} is
(a) 5
(b) 3!
(c) 23
(d) 33
Answer:
(a) 5
Question 15.
The relation R is defined on the set of natural numbers as {(a, b) : a = 2b}. Then, R-1 is given by
(a) {(2, 1), (4, 2), (6, 3),….}
(b) {(1, 2), (2, 4), (3, 6), ……..}
(c) R-1 is not defiend
(d) None of these
Answer:
(b) {(1, 2), (2, 4), (3, 6), ……..}
Question 16.
The domain of the function \(f(x)=\frac{1}{\sqrt{\{\sin x\}+\{\sin (\pi+x)\}}}\) where {.} denotes fractional part, is
(a) [0, π]
(b) (2n + 1) π/2, n ∈ Z
(c) (0, π)
(d) None of these
Answer:
(d) None of these
Question 17.
Range of \(f(x)=\sqrt{(1-\cos x) \sqrt{(1-\cos x) \sqrt{(1-\cos x) \ldots \ldots \infty}}}\)
(a) [0, 1]
(b) (0, 1)
(c) [0, 2]
(d) (0, 2)
Answer:
(c) [0, 2]
Question 18.
Consider the function y = f(x) satisfying the condition \(f\left(x+\frac{1}{x}\right)=x^{2}+\frac{1}{x^{2}}(x \neq 0)\). Then which of the
following is not true?
(a) Domain of f(x) is (-∞, -2] ∪ [2, ∞)
(b) f(x) is an even function
(c) Range of f(x) is [2, ∞)
(d) None of these
Answer:
(d) None of these
![]()
Question 19.
The function f : R → R defined by f(x) = 6x + 6 |x| is
(a) One-one and onto
(b) Many-one and onto
(c) One-one and into
(d) Many-one and into
Answer:
(c) One-one and into
Question 20.
f : N → N where f(x) = x – (-1)x, then f is
(a) One-one and into
(b) Many-one and into
(c) One-one and onto
(d) Many-one and onto
Answer:
(c) One-one and onto
Question 21.
A function f from the set of natural numbers to integers is defined by

(a) one-one but not onto
(b) onto but not one-one
(c) one-one and onto both
(d) neither one-one nor onto
Answer:
(c) one-one and onto both
Question 22.
Let X = {-1, 0, 1}, Y = {0, 2} and a function f : X → Y defiend by y = 2x4, is
(a) one-one onto
(b) one-one into
(c) many-one onto
(d) many-one into
Answer:
(c) many-one onto
Question 23.
Let f : R → R be a function defined by \(f(x)=\frac{e^{|x|}-e^{-x}}{e^{x}+e^{-x}}\) then f(x) is
(a) one-one onto
(b) one-one but not onto
(c) onto but not one-one
(d) None of these
Answer:
(d) None of these
![]()
Question 24.
Let g(x) = x2 – 4x – 5, then
(a) g is one-one on R
(b) g is not one-one on R
(c) g is bijective on R
(d) None of these
Answer:
(b) g is not one-one on R
Question 25.
Let A = R – {3}, B = R – {1}. Let f : A → B be defined by \(f(x)=\frac{x-2}{x-3}\). Then,
(a) f is bijective
(b) f is one-one but not onto
(c) f is onto but not one-one
(d) None of these
Answer:
(a) f is bijective
Question 26.
The mapping f : N → N is given by f(n) = 1 + n2, n ∈ N when N is the set of natural numbers is
(a) one-one and onto
(b) onto but not one-one
(c) one-one but not onto
(d) neither one-one nor onto
Answer:
(c) one-one but not onto
Question 27.
The function f : R → R given by f(x) = x3 – 1 is
(a) a one-one function
(b) an onto function
(c) a bijection
(d) neither one-one nor onto
Answer:
(c) a bijection
Question 28.
Let f : [0, ∞) → [0, 2] be defined by \(f(x)=\frac{2 x}{1+x}\), then f is
(a) one-one but not onto
(b) onto but not one-one
(c) both one-one and onto
(d) neither one-one nor onto
Answer:
(a) one-one but not onto
Question 29.
If N be the set of all-natural numbers, consider f : N → N such that f(x) = 2x, ∀ x ∈ N, then f is
(a) one-one onto
(b) one-one into
(c) many-one onto
(d) None of these
Answer:
(b) one-one into
![]()
Question 30.
Let A = {x : -1 ≤ x ≤ 1} and f : A → A is a function defined by f(x) = x |x| then f is
(a) a bijection
(b) injection but not surjection
(c) surjection but not injection
(d) neither injection nor surjection
Answer:
(a) a bijection
Question 31.
Let f : R → R be a function defined by f(x) = x3 + 4, then f is
(a) injective
(b) surjective
(c) bijective
(d) none of these
Answer:
(c) bijective
Question 32.
The function f : A → B defined by f(x) = 4x + 7, x ∈ R is
(a) one-one
(b) Many-one
(c) Odd
(d) Even
Answer:
(a) one-one
Question 33.
The smallest integer function f(x) = [x] is
(a) One-one
(b) Many-one
(c) Both (a) & (b)
(d) None of these
Answer:
(b) Many-one
Question 34.
The function f : R → R defined by f(x) = 3 – 4x is
(a) Onto
(b) Not onto
(c) None one-one
(d) None of these
Answer:
(a) Onto
![]()
Question 35.
The number of bijective functions from set A to itself when A contains 106 elements is
(a) 106
(b) (106)2
(c) 106!
(d) 2106
Answer:
(c) 106!
Question 36.
If f(x) = (ax2 + b)3, then the function g such that f(g(x)) = g(f(x)) is given by
(a) \(g(x)=\left(\frac{b-x^{1 / 3}}{a}\right)\)
(b) \(g(x)=\frac{1}{\left(a x^{2}+b\right)^{3}}\)
(c) \(g(x)=\left(a x^{2}+b\right)^{1 / 3}\)
(d) \(g(x)=\left(\frac{x^{1 / 3}-b}{a}\right)^{1 / 2}\)
Answer:
(d) \(g(x)=\left(\frac{x^{1 / 3}-b}{a}\right)^{1 / 2}\)
Question 37.
If f : R → R, g : R → R and h : R → R is such that f(x) = x2, g(x) = tanx and h(x) = logx, then the value of [ho(gof)](x), if x = \(\frac{\sqrt{\pi}}{2}\) will be
(a) 0
(b) 1
(c) -1
(d) 10
Answer:
(a) 0
Question 38.
If f : R → R and g : R → R defined by f(x) = 2x + 3 and g(x) = x2 + 7, then the value of x for which f(g(x)) = 25 is
(a) ±1
(b) ±2
(c) ±3
(d) ±4
Answer:
(b) ±2
Question 39.
Let the functions f, g, h are defined from R to R such that

ho(fog)(x) is defined by
(a) x
(b) x2
(c) 0
(d) none of these
Answer:
(b) x2
![]()
Question 40.

(a) 1
(b) -1
(c) √3
(d) 0
Answer:
(b) -1
Question 41.
Let f : N → R : f(x) = \(\frac{(2 x-1)}{2}\) and g : Q → R : g(x) = x + 2 be two functions. Then, (gof) (\(\frac{3}{2}\)) is
(a) 3
(b) 1
(c) \(\frac{7}{2}\)
(d) None of these
Answer:
(a) 3
Question 42.
Let \(f(x)=\frac{x-1}{x+1}\), then f(f(x)) is
(a) \(\frac{1}{x}\)
(b) \(-\frac{1}{x}\)
(c) \(\frac{1}{x+1}\)
(d) \(\frac{1}{x-1}\)
Answer:
(b) \(-\frac{1}{x}\)
Question 43.
If f(x) = \(1-\frac{1}{x}\), then f(f(\(\frac{1}{x}\)))
(a) \(\frac{1}{x}\)
(b) \(\frac{1}{1+x}\)
(c) \(\frac{x}{x-1}\)
(d) \(\frac{1}{x-1}\)
Answer:
(c) \(\frac{x}{x-1}\)
Question 44.
If f : R → R, g : R → R and h : R → R are such that f(x) = x2, g(x) = tan x and h(x) = log x, then the value of (go(foh)) (x), if x = 1 will be
(a) 0
(b) 1
(c) -1
(d) π
Answer:
(a) 0
![]()
Question 45.
If f(x) = \(\frac{3 x+2}{5 x-3}\) then (fof)(x) is
(a) x
(b) -x
(c) f(x)
(d) -f(x)
Answer:
(a) x
Question 46.
If f(x) = (ax2 – b)3, then the function g such that f{g(x)} = g{f(x)} is given by
(a) \(g(x)=\left(\frac{b-x^{1 / 3}}{a}\right)^{1 / 2}\)
(b) \(g(x)=\frac{1}{\left(a x^{2}+b\right)^{3}}\)
(c) \(g(x)=\left(a x^{2}+b\right)^{1 / 3}\)
(d) \(g(x)=\left(\frac{x^{1 / 3}+b}{a}\right)^{1 / 2}\)
Answer:
(d) \(g(x)=\left(\frac{x^{1 / 3}+b}{a}\right)^{1 / 2}\)
Question 47.
If f : [1, ∞) → [2, ∞) is given by f(x) = x + \(\frac{1}{x}\), then f-1 equals to
(a) \(\frac{x+\sqrt{x^{2}-4}}{2}\)
(b) \(\frac{x}{1+x^{2}}\)
(c) \(\frac{x-\sqrt{x^{2}-4}}{2}\)
(d) \(1+\sqrt{x^{2}-4}\)
Answer:
(a) \(\frac{x+\sqrt{x^{2}-4}}{2}\)
Question 48.
Let f(x) = x2 – x + 1, x ≥ \(\frac{1}{2}\), then the solution of the equation f(x) = f-1(x) is
(a) x = 1
(b) x = 2
(c) x = \(\frac{1}{2}\)
(d) None of these
Answer:
(a) x = 1
Question 49.
Which one of the following function is not invertible?
(a) f : R → R, f(x) = 3x + 1
(b) f : R → [0, ∞), f(x) = x2
(c) f : R+ → R+, f(x) = \(\frac{1}{x^{3}}\)
(d) None of these
Answer:
(d) None of these
Question 50.
The inverse of the function \(y=\frac{10^{x}-10^{-x}}{10^{x}+10^{-x}}\) is
(a) \(\log _{10}(2-x)\)
(b) \(\frac{1}{2} \log _{10}\left(\frac{1+x}{1-x}\right)\)
(c) \(\frac{1}{2} \log _{10}(2 x-1)\)
(d) \(\frac{1}{4} \log \left(\frac{2 x}{2-x}\right)\)
Answer:
(b) \(\frac{1}{2} \log _{10}\left(\frac{1+x}{1-x}\right)\)
Question 51.
If f : R → R defind by f(x) = \(\frac{2 x-7}{4}\) is an invertible function, then find f-1.
(a) \(\frac{4 x+5}{2}\)
(b) \(\frac{4 x+7}{2}\)
(c) \(\frac{3 x+2}{2}\)
(d) \(\frac{9 x+3}{5}\)
Answer:
(b) \(\frac{4 x+7}{2}\)
![]()
Question 52.
Consider the function f in A = R – {\(\frac{2}{3}\)} defiend as \(f(x)=\frac{4 x+3}{6 x-4}\). Find f-1.
(a) \(\frac{3+4 x}{6 x-4}\)
(b) \(\frac{6 x-4}{3+4 x}\)
(c) \(\frac{3-4 x}{6 x-4}\)
(d) \(\frac{9+2 x}{6 x-4}\)
Answer:
(a) \(\frac{3+4 x}{6 x-4}\)
Question 53.
If f is an invertible function defined as f(x) = \(\frac{3 x-4}{5}\), then f-1(x) is
(a) 5x + 3
(b) 5x + 4
(c) \(\frac{5 x+4}{3}\)
(d) \(\frac{3 x+2}{3}\)
Answer:
(c) \(\frac{5 x+4}{3}\)
Question 54.
If f : R → R defined by f(x) = \(\frac{3 x+5}{2}\) is an invertible function, then find f-1.
(a) \(\frac{2 x-5}{3}\)
(b) \(\frac{x-5}{3}\)
(c) \(\frac{5 x-2}{3}\)
(d) \(\frac{x-2}{3}\)
Answer:
(a) \(\frac{2 x-5}{3}\)
Question 55.
Let f : R → R, g : R → R be two functions such that f(x) = 2x – 3, g(x) = x3 + 5. The function (fog)-1 (x) is equal to
(a) \(\left(\frac{x+7}{2}\right)^{1 / 3}\)
(b) \(\left(x-\frac{7}{2}\right)^{1 / 3}\)
(c) \(\left(\frac{x-2}{7}\right)^{1 / 3}\)
(d) \(\left(\frac{x-7}{2}\right)^{1 / 3}\)
Answer:
(d) \(\left(\frac{x-7}{2}\right)^{1 / 3}\)
Question 56.
Let * be a binary operation on set of integers I, defined by a * b = a + b – 3, then find the value of 3 * 4.
(a) 2
(b) 4
(c) 7
(d) 6
Answer:
(c) 7
Question 57.
If * is a binary operation on set of integers I defined by a * b = 3a + 4b – 2, then find the value of 4 * 5.
(a) 35
(b) 30
(c) 25
(d) 29
Answer:
(b) 30
![]()
Question 58.
Let * be the binary operation on N given by a * b = HCF (a, b) where, a, b ∈ N. Find the value of 22 * 4.
(a) 1
(b) 2
(c) 3
(d) 4
Answer:
(b) 2
Question 59.
Consider the binary operation * on Q defind by a * b = a + 12b + ab for a, b ∈ Q. Find 2 * \(\frac{1}{3}\)
(a) \(\frac{20}{3}\)
(b) 4
(c) 18
(d) \(\frac{16}{3}\)
Answer:
(a) \(\frac{20}{3}\)
Question 60.
Consider a binary operation * on the set {1, 2, 3, 4, 5} given by the following multiplication table. Compute (2 * 3) * (4 * 5).

(a) 1
(b) 2
(c) 3
(d) 4
Answer:
(a) 1
Question 61.
If the binary operation * is defind on the set Q+ of all positive rational numbers by a * b = \(\frac{a b}{4}\). Then, \(3 *\left(\frac{1}{5} * \frac{1}{2}\right)\) is equal to
(a) \(\frac{3}{160}\)
(b) \(\frac{5}{160}\)
(c) \(\frac{3}{10}\)
(d) \(\frac{3}{40}\)
Answer:
(a) \(\frac{3}{160}\)
Question 62.
The number of binary operations that can be defined on a set of 2 elements is
(a) 8
(b) 4
(c) 16
(d) 64
Answer:
(c) 16
![]()
Question 63.
Let * be a binary operation on Q, defined by a * b = \(\frac{3 a b}{5}\) is
(a) Commutative
(b) Associative
(c) Both (a) and (b)
(d) None of these
Answer:
(c) Both (a) and (b)
Question 64.

(a) 0
(b) 1
(c) 2
(d) 3
Answer:
(a) 0
Question 65.
Let * be a binary operation on set Q of rational numbers defined as a * b = \(\frac{a b}{5}\). Write the identity for *.
(a) 5
(b) 3
(c) 1
(d) 6
Answer:
(a) 5
Question 66.
For binary operation * defind on R – {1} such that a * b = \(\frac{a}{b+1}\) is
(a) not associative
(b) not commutative
(c) commutative
(d) both (a) and (b)
Answer:
(d) both (a) and (b)
![]()
Question 67.
The binary operation * defind on set R, given by a * b = \(\frac{a+b}{2}\) for all a,b ∈ R is
(a) commutative
(b) associative
(c) Both (a) and (b)
(d) None of these
Answer:
(a) commutative
Question 68.
Let A = N × N and * be the binary operation on A defined by (a, b) * (c, d) = (a + c, b + d). Then * is
(a) commutative
(b) associative
(c) Both (a) and (b)
(d) None of these
Answer:
(c) Both (a) and (b)
Question 69.
Find the identity element in the set I+ of all positive integers defined by a * b = a + b for all a, b ∈ I+.
(a) 1
(b) 2
(c) 3
(d) 0
Answer:
(d) 0
Question 70.
Let * be a binary operation on set Q – {1} defind by a * b = a + b – ab : a, b ∈ Q – {1}. Then * is
(a) Commutative
(b) Associative
(c) Both (a) and (b)
(d) None of these
Answer:
(c) Both (a) and (b)
![]()
Question 71.
The binary operation * defined on N by a * b = a + b + ab for all a, b ∈ N is
(a) commutative only
(b) associative only
(c) both commutative and associative
(d) none of these
Answer:
(c) both commutative and associative
Question 72.
The number of commutative binary operation that can be defined on a set of 2 elements is
(a) 8
(b) 6
(c) 4
(d) 2
Answer:
(d) 2
Question 73.
Let T be the set of all triangles in the Euclidean plane, and let a relation R on T be defined as aRb if a is congruent to b ∀ a, b ∈ T. Then R is
(a) reflexive but not transitive
(b) transitive but not symmetric
(c) equivalence
(d) None of these
Answer:
(c) equivalence
Question 74.
The maximum number of equivalence relations on the set A = {1, 2, 3} are
(a) 1
(b) 2
(c) 3
(d) 5
Answer:
(d) 5
Question 75.
Let us define a relation R in R as aRb if a ≥ b. Then R is
(a) an equivalence relation
(b) reflexive, transitive but not symmetric
(c) symmetric, transitive but not reflexive
(d) neither transitive nor reflexive but symmetric
Answer:
(b) reflexive, transitive but not symmetric
![]()
Question 76.
Let A = {1, 2, 3} and consider the relation R = {(1, 1), (2, 2), (3, 3), (1, 2), (2, 3), (1, 3)}. Then R is
(a) reflexive but not symmetric
(b) reflexive but not transitive
(c) symmetric and transitive
(d) neither symmetric, nor transitive
Answer:
(a) reflexive but not symmetric
Question 77.
The identity element for the binary operation * defined on Q – {0} as a * b = \(\frac{a b}{2}\) ∀ a, b ∈ Q – {0) is
(a) 1
(b) 0
(c) 2
(d) None of these
Answer:
(c) 2
Question 78.
Let A = {1, 2, 3, …. n} and B = {a, b}. Then the number of surjections from A into B is
(a) \(^{n} P_{2}\)
(b) 2n – 2
(c) 2n – 1
(d) none of these
Answer:
(b) 2n – 2
![]()
Question 79.
Let f : R → R be defind by f(x) = \(\frac{1}{x}\) ∀ x ∈ R. Then f is
(a) one-one
(b) onto
(c) bijective
(d) f is not defined
Answer:
(d) f is not defined
Question 80.
Which of the following functions from Z into Z are bijective?
(a) f(x) = x3
(b) f(x) = x + 2
(c) f(x) = 2x + 1
(d) f(x) = x2 + 1
Answer:
(b) f(x) = x + 2
Question 81.
Let f : R → R be the functions defined by f(x) = x3 + 5. Then f-1(x) is
(a) \((x+5)^{\frac{1}{3}}\)
(b) \((x-5)^{\frac{1}{3}}\)
(c) \((5-x)^{\frac{1}{3}}\)
(d) 5 – x
Answer:
(b) \((x-5)^{\frac{1}{3}}\)
Question 82.
Let f : R – {\(\frac{3}{5}\)} → R be defined by f(x) = \(\frac{3 x+2}{5 x-3}\). Then
(a) f-1(x) = f(x)
(b) f-1(x) = -f(x)
(c) (fof) x = -x
(d) f-1(x) = \(\frac{1}{19}\) f(x)
Answer:
(a) f-1(x) = f(x)
![]()
Question 83.
Let f : [0, 1] → [0, 1] be defined by

(a) constant
(b) 1 + x
(c) x
(d) None of these
Answer:
(c) x
Question 84.

(a) 9
(b) 14
(c) 5
(d) None of these
Answer:
(a) 9
![]()
Question 85.
Let f : R → R be given by f(x) = tan x. Then f-1(1) is
(a) \(\frac{\pi}{4}\)
(b) {nπ + \(\frac{\pi}{4}\); n ∈ Z}
(c) Does not exist
(d) None of these
Answer:
(b) {nπ + \(\frac{\pi}{4}\); n ∈ Z}