Bihar Board 12th Maths Objective Questions and Answers
Bihar Board 12th Maths VVI Objective Questions Model Set 3 in English
Question 1.

Answer:
(a) \(\frac{\pi}{4}\)
Question 2.
The slope of the tangent to the curve X = t2 + 3t – 8, Y = 2t2 – 2t – 5 at the point (2, -1) is
(a) \(\frac{12}{7}\)
(b) \(\frac{-6}{7}\)
(c) \(\frac{6}{7}\)
(d) \(\frac{-12}{7}\)
Answer:
(c) \(\frac{6}{7}\)
Question 3.
The modulus of the vector \(19 \overrightarrow{1}+5 \vec{J}-6 \vec{k}\) is
(a) √322
(b) √420
(c) √421
(d) √422
Answer:
(d) √422
Question 4.
\(\int_{0}^{\frac{\pi}{2}} \cos x d x=?\)
(a) -1
(b) 1
(c) \(\frac{\pi}{2}\)
(d) 0
Answer:
(a) -1
Question 5.
The direction cosines of z-axis are
(a) (0, 0, 0)
(b) (1, 0, 0)
(c) (0, 1, 0)
(d) (0, 0, 1)
Answer:
(d) (0, 0, 1)
Question 6.

Answer:
(a) \(\frac{1}{\sqrt{1-x^{2}}}\)
Question 7.
\(\vec{K} \times \vec{K}=?\)
(a) 1
(b) -1
(c) K2
(d) 0
Answer:
(d) 0
Question 8.
Integrating factor of the differential equation \(\frac{d y}{d x}\) + Y sec x = tan x is
(a) sec x + tan x
(b) sec x – tan x
(c) sec x
(d) tan x sec x
Answer:
(c) sec x
Question 9.
Intergrating factor (I.F) of the differential equation \(\frac{d y}{d x}\) + Y cos x = sin x cos x is
(a) e-sin x
(b) esin x
(c) e-cos x
(d) ecos x
Answer:
(c) ecos x
Question 10.

Answer:
(a) \(\sin ^{-1} \frac{2 x}{1+x^{2}}\)
Question 11.

Answer:
(d) \(\frac{5}{8}\)
Question 12.
If f(x1) = f(x2) ⇒ x1 = x2 ∀ x1, x2 ∈ A, then what type of a function is f : A → B ?
(a) One-one
(b) Constant
(c) Onto
(d) Many one
Answer:
(a) One-one
Question 13.
\((\vec{a} \times \vec{a}) \cdot \vec{b}=?\)
(a) 1
(b) -1
(c) 2
(d) 0
Answer:
(d) 0
Question 14.

Answer:
(a) 0
Question 15.
P(A) + P(A’) = ?
(a) 0
(b) 1
(c) -1
(d) P(E)
Answer:
(b) 1
Question 16.
\(\vec{a} \cdot \vec{b}=?\)
(a) \(-\vec{b} \cdot \vec{a}\)
(b) 1
(c) -1
(d) \(\vec{b} \cdot \vec{a}\)
Answer:
(d) \(\vec{b} \cdot \vec{a}\)
Question 17.
\(\sin ^{-1} \frac{1}{x}=?\)
(a) sex-1 x
(b) cosec-1 x
(c) tan-1 x
(d) sin x
Answer:
(b) cosec-1 x
Question 18.

Answer:
(b) \(\frac{x^{n+1}}{n+1}+k\)
Question 19.
\(\frac{d}{d x}\) [tan x] = ?
(a) sec2 x
(b) sec x
(c) cot x
(d) -sec2 x
Answer:
(a) sec2 x
Question 20.

Answer:
(a) \(\frac{1}{x}\)
Question 21.

Answer:
(b) \(\frac{\pi}{4}\)
Question 22.

Answer:
(c) \(\left[\begin{array}{ll}
1 & 4 \\
2 & 5 \\
3 & 6
\end{array}\right]\)
Question 23.
P(A∪B) = ?
(a) P(A) + P(B) + P(A∩B)
(b) P(A) – P(B) – P(A∩B)
(c) P(A) + P(B) – P(A∩B)
(d) P(A) – P(B) + P(A∩B)
Answer:
(c) P(A) + P(B) – P(A∩B)
Question 24.
The value of x when \(\left[\begin{array}{cc}
x & 15 \\
4 & 4
\end{array}\right]=0\) is
(a) 15
(b) -15
(c) 4
(d) 4x
Answer:
(a) 15
Question 25.
∫cosec2 x dx = ?
(a) tan x + c
(b) -cot x + c
(c) 2cosec x + c
(d) -cosec x + 2
Answer:
(b) -cot x + c
Question 26.
\(\frac{d}{d x}\) [sin2 x] = ?
(a) 2 sin x cos x
(b) 2 sin x
(c) cos2 x
(d) sin x cos x
Answer:
(a) 2 sin x cos x
Question 27.
The distance of the point (3, 4, 5) from x-axis is
(a) 3
(b) 5
(c) √41
(d) None of these
Answer:
(c) √41
Question 28.
In the set of all straight lines in a plane, the relation R to be Perpendicular is
(a) Reflexive and transitive
(b) Symmetric and transitive
(c) Symmetric
(d) None of these
Answer:
(c) Symmetric
Question 29.
Which of the following is a homogenous differential equation?
(a) x2y dx – (x3 + y3) dy = 0
(b) (xy) dx – (x4 + y4) dy = 0
(c) (2x + y – 3) dy – (x + 2y – 3) dx = 0
(d) (x – y) dy = (x2 + y + 1) dx
Answer:
(c) (2x + y – 3) dy – (x + 2y – 3) dx = 0
Question 30.
Evaluate \(\left[\begin{array}{cc}
1 & -1 \\
y & x
\end{array}\right]\)
(a) x + y
(b) x – y
(c) -y – x
(d) 1 – x
Answer:
(d) 1 – x
Question 31.
The value of the determinant \(\left[\begin{array}{lll}
1 & 2 & 4 \\
1 & 3 & 6 \\
1 & 4 & 9
\end{array}\right]\) is
(a) 1
(b) -1
(c) 0
(d) 2
Answer:
(a) 1
Question 32.
The operation * is defined as a * b = 2a + b, then (2 * 3) * 4 is
(a) 18
(b) 17
(c) 19
(d) 21
Answer:
(d) 21
Question 33.
Which of the following is the unit matrix of order 3 × 3?

Answer:
(b) \(\left[\begin{array}{lll}
1 & 0 & 0 \\
0 & 1 & 0 \\
0 & 0 & 1
\end{array}\right]\)
Question 34.
\(\int \frac{d x}{1+x^{2}}=?\)
(a) tan x + c
(b) tan2 x + c
(c) cot x + c
(d) -cot-1 x + c
Answer:
(c) cot x + c
Question 35.
\(\int \frac{d x}{1+x^{2}}=?\)
(a) tan x + c
(b) tan2 x + c
(c) cot x + c
(d) -cot-1 x + c
Answer:
(a) tan x + c
Question 36.
P(E) = ?
(a) n(E) + n(s)
(b) \(\frac{n(s)}{n(E)}\)
(c) n(E) – n(s)
(d) \(\frac{n(E)}{n(s)}\)
Answer:
(a) n(E) + n(s)
Question 37.

Answer:
(a) 1
Question 38.

Answer:
(b) 0
Question 39.
∫sec x dx = ?
(a) log|sec x| + c
(b) log |sec x + tan x| + c
(c) log |sec x -tan x| + c
(d) sec x tan x + c
Answer:
(b) log |sec x + tan x| + c
Question 40.
The order of the differential equation \(\frac{d^{2} y}{d x^{2}}+x^{3}\left(\frac{d y}{d x}\right)^{3}=x^{4}\) is
(a) 1
(b) 2
(c) 4
(d) 3
Answer:
(b) 2
Question 41.

Answer:
(c) \(\log \frac{1}{2}\)
Question 42.
f: A → B will be an onto function of
(a) f(A) ⊂ B
(b) f(A) = B
(c) f(A) ⊃ B
(d) f(A) ≠ B
Answer:
(b) f(A) = B
Question 43.

Answer:
(a) \(\frac{b^{3}-a^{3}}{3}\)
Question 44.

Answer:
(b) \(\frac{1}{4} \tan -^{-1} \frac{x}{4}+k\)
Question 45.

Answer:
(d) -15
Question 46.

Answer:
(b) \(\left[\begin{array}{ll}
27 & 36 \\
25 & 10
\end{array}\right]\)
Question 47.
tan-1 x + cot-1 x = ?
(A) 0
(B) 1
(c) \(\frac{\pi}{2}\)
(d) \(-\frac{\pi}{2}\)
Answer:
(c) \(\frac{\pi}{2}\)
Question 48.

Answer:
(b) \(\frac{1}{4}\)
Question 49.
The position vector of the point (x, y, z) is

Answer:
(d) \(x \vec{i}+y \vec{j}+z \vec{k}\)
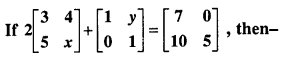
Question 50.

(a) (x = -2, y = 8)
(b) (x = 2, y = n – 8)
(c) (x = 3, y = -6)
(d) (x = -3, y = 6)
Answer:
(b) (x = 2, y = n – 8)