Bihar Board 12th Physics Model Papers
Bihar Board 12th Physics Model Question Paper 5 in Hindi
परिक्षार्थियों के लिए निर्देश :
- परीक्षार्थी यथासंभव अपने शब्दों में ही उत्तर दें।
- दाहिनी ओर हाशिये पर दिये हुए अंक पूर्णांक निर्दिष्ट करते हैं।
- इस पत्र को ध्यानपूर्वक पढ़ने के लिए पन्द्रह मिनट का अतिरिक्त समय दिया गया है।
- इस प्रश्न-पत्र के दो खण्डों में है, खण्ड-अ एवं खण्ड-ब ।
- खण्ड-अ में 35 वस्तुनिष्ठ प्रश्न हैं। सभी प्रश्न अनिवार्य हैं। प्रत्येक प्रश्न के लिए 1 अंक निर्धारित है, इनका उत्तर उपलब्ध कराये गये OMR-शीट में दिये गये सही वृत्त को काले / नीले बॉल पेन से भरें। किसी भी प्रकार के व्हाइटनर/तरल पदार्थ/ब्लेड/नाखून आदि का OMR-शीट में प्रयोग करना मना है, अन्यथा परीक्षा परिणाम अमान्य होगा।
- खण्ड-ब में गैर-वस्तुनिष्ठ प्रश्न हैं, 18 लघुउत्तरीय प्रश्न हैं, जिनमें से किन्ही 10 प्रश्नों के उत्तर देना अनिवार्य है। प्रत्येक प्रश्न के लिए 2 अंक निर्धारित है। इसके अतिरिक्त खण्ड-ब में 06 दीर्घ उत्तरीय प्रश्न भी दिए गए हैं, जिनमें से किन्हीं 3 प्रश्नों के उत्तर देना अनिवार्य है। प्रत्येक प्रश्न के लिए 05 अंक निर्धारित हैं।
- किसी तरह के इलेक्ट्रॉनिक-यंत्र का इस्तेमाल वर्जित है।
समय : 3 घंटे 15 मिनट
पूर्णांक : 70
खण्ड-अ : वस्तुनिष्ठ प्रश्न
प्रश्न संख्या 1 से 35 तक के प्रत्येक प्रश्न के साथ चार विकल्प दिए गए हैं, जिनमें से एक सही है। अपने द्वारा चुने गए सही विकल्प को OMR शीट पर चिह्नित करें। (35 × 1 = 35)
प्रश्न 1.
समानान्तर प्लेट संधारित्र के प्लेटों के बीच परावैद्युत पदार्थ डालने पर संधारित्र की धारिता :
(a) बढ़ती है
(b) घटती है
(c) अपरिवर्तित रहती है
(d) कुछ कहा नहीं जा सकता
उत्तर-
(a) बढ़ती है
![]()
प्रश्न 2.
एक हीटर (100 W – 220V) के तार को बीच से दो टुकड़े कर समानान्तर क्रम में जोड़कर 200V के स्रोत से जोड़ा जाता है । कितनी शक्ति प्राप्त होगी :
(a) 400w
(b) 50w
(c) 25W
(d) 200W
उत्तर-
(a) 400w
प्रश्न 3.
चॉक कुंडली प्रेरकत्व 5 H है । इसमें बहती धारा 2AS-1 की दर से बह रही है । प्रेरित विद्युत वाहक बल होगा
(a) 10V
(b) – 10V
(c) 2.5V
(d) 5V
उत्तर-
(b) – 10V
प्रश्न 4.
एक ओम प्रतिरोध वाले एक सामान्य तार को 4 बराबर भागों में बाँट कर उन्हें समानान्तर क्रम में जोड़ दिया जाता है । संयोजन का तुल्य प्रतिरोध होगा
(a) 4 ओम
(b) 1 ओम
(c) 1/4 ओम
(d) 1/16 ओम
उत्तर-
(d) 1/16 ओम
प्रश्न 5.
यदि किसी कमानी में धारा प्रवाहित की जाय तो कमानी
(a) संकुचित होती है
(b) फैलती है
(c) दोलन गति करती है
(d) अपरिवर्तित रहती है
उत्तर-
(a) संकुचित होती है
![]()
प्रश्न 6.
स्वस्थ मनुष्य के शरीर का विद्युत प्रतिरोध है
(a) 50000Ω
(b) 10000Ω
(c) 10000Ω
(d) 10Ω
उत्तर-
(a) 50000Ω
प्रश्न 7.
10 ऐम्पियर की धारा एक तार से 10 सेकेण्ड तक प्रवाहित होती है। यदि तार का विभवान्तर 15 वोल्ट हो, तो किया गया कार्य होगा :
(a) 150J
(b) 75J
(c) 1500J
(d) 750J
उत्तर-
(c) 1500J
प्रश्न 8.
निकेल है
(a) प्रतिचुम्बकीय
(b) अनुचुम्बकीय
(c) लौह चुम्बकीय
(d) इनमें से कोई नहीं
उत्तर-
(c) लौह चुम्बकीय
![]()
प्रश्न 9.
किसी चुम्बक का चुम्बकीय आघूर्ण है
(a) अदिश राशि
(b) सदिश राशि
(c) उदासीन राशि
(d) इनमें से कोई नहीं
उत्तर-
(b) सदिश राशि
प्रश्न 10.
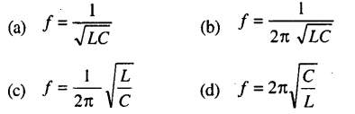
L-C परिपथ की आवृत्ति होती है

उत्तर-
(b) \(f=\frac{1}{2 \pi \sqrt{L C}}\)
प्रश्न 11.
साइक्लोट्रान किस कण को उच्च उर्जा तक त्वरित करने के लिये उपयुक्त नहीं है ?
(a) प्रोटॉन
(b) इलेक्ट्रान
(c) न्यूट्रान
(d) 4-कण
उत्तर-
(c) न्यूट्रान
प्रश्न 12.
इलेक्ट्रान वोल्ट (ev) द्वारा मापा जाता है
(a) आवेश
(b) विभवान्तर
(c) धारा
(d) ऊर्जा
उत्तर-
(d) ऊर्जा
प्रश्न 13.
लेंस का नियम संबद्ध है
(a) आवेश से
(b) द्रव्यमान से
(c) ऊर्जा से
(d) संवेग के संरक्षण सिद्धान्त से
उत्तर-
(c) ऊर्जा से
![]()
प्रश्न 14.
जल को कीटाणुरहित करने के लिये उपयुक्त है
(a) अवरक्त विकिरण
(b) पराबैंगनी किरण
(c) पीला प्रकाश
(d) माइक्रो तरंग
उत्तर-
(b) पराबैंगनी किरण
प्रश्न 15.
एक उत्तल लेंस दो पदार्थों से बना हुआ है जैसा कि चित्र में दिखाया गया है । इस उत्तल लेंस से कितने प्रतिबिम्ब बन सकते हैं।

(a) 1
(b) 2
(c) 3
(d) 4
उत्तर-
(a) 1
प्रश्न 16.
एक द्वि-उत्तल लेंस आभासी प्रतिबिम्ब बना सकता है, यदि वस्तु स्थित है
(a) प्रकाशिक केन्द्र एवं फोकस के बीच
(b) फोकस पर
(c) f और 2f के बीच
(d) अनंत पर
उत्तर-
(a) प्रकाशिक केन्द्र एवं फोकस के बीच
![]()
प्रश्न 17.
जब प्रकाश की एक किरण स्लैब में प्रवेश करती है, तो इसका तरंग-दैर्घ्य :
(a) बढ़ता है
(b) घटता है
(c) अपरिवर्तित रहता है
(d) आँकड़े पूर्ण नहीं हैं
उत्तर-
(b) घटता है
प्रश्न 18.
किसी वस्तु का मनुष्य की आँख पर बना प्रतिबिम्ब होता है
(a) काल्पनिक, सीधा
(b) वास्तविक, सीधा
(c) काल्पनिक, उल्टा
(d) वास्तविक, उल्टा
उत्तर-
(d) वास्तविक, उल्टा
प्रश्न 19.
समतल धुवित प्रकाश में कम्पन्न होते हैं
(a) सभी दिशाओं में समान
(b) केवल एक दिशा में
(c) परस्पर लंबवत दिशा में
(d) इनमें से कोई नहीं
उत्तर-
(b) केवल एक दिशा में
प्रश्न 20.
यंग के प्रयोग में यदि प्रकाश के तरंग-दैर्घ्य दुगुनी कर दी जाय तो फ्रिंज की चौड़ाई
(a) वही रहेगी
(b) दुगुनी हो जायेगी
(c) आधी रह जायेगी
(d) चार गुणी हो जायेगी
उत्तर-
(b) दुगुनी हो जायेगी
प्रश्न 21.
तरंगों के व्यक्तिकरण की घटना में
(a) ऊर्जा का क्षय होता है
(b) ऊर्जा का लाभ होता है
(c) ऊर्जा का न तो लाभ होता है और न ही क्षय होता है
(d) इनमें से कोई नहीं
उत्तर-
(c) ऊर्जा का न तो लाभ होता है और न ही क्षय होता है
प्रश्न 22.
निम्न में से किस धातु का विद्युतीय कार्य फलन न्यूनतम है
(a) लोहा
(b) ताँबा
(c) बेरियम
(d) सोडियम
उत्तर-
(d) सोडियम
![]()
प्रश्न 23.
प्लांक नियतांक की विमा है।
(a) बल x समय
(b) बल x दूरी
(c) बल x दूरी x समय
(d) बल x दूरी/समय
उत्तर-
(c) बल x दूरी x समय
प्रश्न 24.
यदि इलेक्ट्रान का आवर्तकाल हाइड्रोजन परमाणु के प्रथम कक्षा में T हो तो इलेक्ट्रान का आवर्तकाल द्वितीय कक्षा में होगा
(a) T
(b) 2T
(c) 4T
(d) 8T
उत्तर-
(d) 8T
प्रश्न 25.
रेडियो सक्रिय पदार्थ (अर्द्ध आयु = 2 घंटा) का 32 gm 10 घंटे में कितना क्षय होगा
(a) 1 gm
(b) 2 gm
(c) 31 gm
(d) 25 gm
उत्तर-
(c) 31 gm
प्रश्न 26.
परमाणु का आकार होता है ।
(a) 10-6m
(b) 10-4m
(c) 10-10m
(d) 10-12m
उत्तर-
(c) 10-10m
प्रश्न 27.
प्रकीर्णित α – कणों का गमन पथ होता है :
(a) वृत्ताकार
(b) दीर्घ वृत्ताकार
(c) परवलयाकार
(d) अति परवलयाकार
उत्तर-
(d) अति परवलयाकार
![]()
प्रश्न 28.
सिलिकन का ऊर्जा अंतराल 1.14 ev है । अधिकतम तरंग-दैर्घ्य जिस पर कि सिलिकॉन उर्जा का अवशोषण आरम्भ कर देगा, वह कहाँ होगी
(a) 10877A
(b) 1087.7A
(c) 108.77A
(d) 10.877A
उत्तर-
(a) 10877A
प्रश्न 29.
64 सामान्य बूंदें जिनमें प्रत्येक की धारिता 5μf है, मिलकर एक बड़ी बूंद बनाती है । बड़े बूंद की धारिता क्या होगी
(a) 4μf
(b) 25μf
(c) 20μf
(d) 164μf
उत्तर-
(c) 20μf
प्रश्न 30.
संयोजक ऊर्जा बैंड तथा चालन ऊर्जा बैंड के बीच के अंतराल को
(a) फर्मी बैंड
(b) बैण्ड गैप
(c) संयोजक बैंड
(d) चालन बैंड कहते हैं
उत्तर-
(b) बैण्ड गैप
प्रश्न 31.
अर्द्धचालक में विद्युत चालकता का कारण है
(a) केवल इलेक्ट्रॉन
(b) केवल छिद्र
(c) इलेक्ट्रॉन तथा छिद्र दोनों
(d) इनमें से कोई नहीं
उत्तर-
(c) इलेक्ट्रॉन तथा छिद्र दोनों
प्रश्न 32.
निवेशी वोल्टेज/धारा को बढ़ाने वाले यंत्र को कहते हैं
(a) प्रवर्धक
(b) दोलित
(c) दिष्टकारी
(d) डायोड
उत्तर-
(a) प्रवर्धक
प्रश्न 33.
n-p-n ट्रांजिस्टर की क्रिया में उत्सर्जक धारा ie , आधार धारा ib तथा संग्राहक धारा ic में सम्बन्ध है :
(a) ic = ie – ib
(b) ib ie = ie – ie
(c) ie = ic – ib
(d) ib = ie + ic
उत्तर-
(a) ic = ie – ib
प्रश्न 34.
स्काई वेव संचरण आधारित है :
(a) आयन मण्डल द्वारा परावर्तन पर
(b) आयन मण्डल द्वारा अवशोषण पर
(c) आयन मण्डल में से संचरण पर
(d) इनमें से कोई नहीं ।
उत्तर-
(a) आयन मण्डल द्वारा परावर्तन पर
![]()
प्रश्न 35.
प्रकाशीय तंतु है
(a) सम्प्रेषण लाइन
(b) तरंग निर्देशक
(c) सम्प्रेषण तथा तरंग निर्देशक दोनों
(d) इनमें से कोई नहीं
उत्तर-
(c) सम्प्रेषण तथा तरंग निर्देशक दोनों
खण्ड-ब : गैर-वस्तुनिष्ठ प्रश्न
प्रश्न संख्या 1 से 18 तक सभी लघु उत्तरीय कोटि के प्रश्न हैं। इस कोटि के प्रत्येक के लिए 2 अंक निर्धारित है । आप किन्हीं दस (10) प्रश्नों के उत्तर दें। (10 x 2 = 20)
लघु उत्तरीय प्रश्न
प्रश्न 1.
विद्युतीय तीव्रता किसे कहते हैं ? इसका S.I. मात्रक तथा विमा लिखें।
उत्तर-
विद्युतीय तीव्रता-विद्युतीय क्षेत्र के अंदर किसी बिन्दु पर इकाई धन आवेश के द्वारा जो बल अनुभव किया जाता है उसे विद्युतीय तीव्रता कहते हैं।
\(\vec{E}=\frac{\vec{F}}{90}\)
इसका S.I. मात्रक न्यूटन/कूलम्ब या वोल्ट/मीटर होता है ।
प्रश्न 2.
विद्युतीय बल रेखाओं के दो गुणों को लिखें।
उत्तर-
विद्युतीय बल रेखा के गुण-
- विद्युतीय बल रेखायें धन आवेश से निकलती है तथा ऋण आवेश पर समाप्त होती है ।
- विद्युतीय बल रेखायें कभी भी एक दूसरे को नहीं काटती है ।
प्रश्न 3.
संचायक सेल का आंतरिक प्रतिरोध क्यों कम होता है ?
उत्तर-
संचायक सेल के प्लेटों का आकार बड़ा होता है और उनके बीच की दूरी काफी कम होती है । संचायक सेल में ध्रुवण नहीं होता है, इस कारण संचायक सेल का आंतरिक प्रतिरोध कम होता है।
प्रश्न 4.
एक विद्यार्थी भूल से वोल्टमीटर को परिपथ में श्रेणीक्रम में तथा ऐमीटर को समानान्तर क्रम में जोड़ देता है । इसका परिणाम क्या होगा?
उत्तर-
यदि परिपथ के श्रेणीक्रम में वोल्टमीटर को जोड़ा जाता है, तो परिपथ का प्रतिरोध बहुत अधिक हो जाएगा, जिससे परिपथ में प्रवाहित धारा बहुत कम हो जाएगी। (आदर्शतः शून्य) यदि परिपथ में ऐमीटर को समानान्तर श्रेणी में जोड़ दिया जाता है तो परिपथ का प्रतिरोध काफी कम होने से प्रवाहित धारा का मान बहुत बढ़ जाएगा तथा परिपथ संयंत्र खराब हो सकता है।
प्रश्न 5.
यदि किसी दण्ड चुम्बक को इसकी लम्बाई के अनुदिश दो बराबर टुकड़ों में काटा जाय तो इसके हर टुकड़े का (a) ध्रुव सामर्थ्य (b) चुम्बकीय आघूर्ण कैसे परिवर्तित होगा।
उत्तर-

ध्रुव सामर्थ्य में कोई परिवर्तन नहीं होता है ।
चुम्बकीय आघूर्ण आधा हो जाता है ।
![]()
प्रश्न 6.
चावकीय क्षेत्र में गतिमान चालक में प्रेरित विद्युत वाहक बाल की गामा करें।
उत्तर-
मार लिय BA = -CD = x
कंडली का क्षेत्रफल ds = lx


प्रश्न 7.
प्रत्यावर्ती धारा के माध्य मान तथा मूल माध्य वर्ग मान किसे कहते हैं । इसका व्यंजक भी लिखें ?
उत्तर-
माध्य मान (Mean value)-वह स्थायी धारा जो किसी निश्चित समय में ठीक उतना ही आवेश भेजती है जितना आवेश प्रत्यावर्ती धारा उतने ही समय में उसी परिपथ में भेजती है उसे प्रत्यावर्ती धारा का माध्य मान कहते हैं । इसे Im से सूचित किया जाता है ।
Im = \(\frac{2 I_{0}}{\pi}\)
Im = 0.636 10
मल माध्य वर्ग मान (Root Mean square value)-वह स्थायी ध रा जो निश्चित समय में किसी परिपथ से होकर ठीक उतनी ही ऊष्मा उत्पन्न करती है जितनी ऊष्मा प्रत्यावर्ती धारा उतने ही समय में तथा उसी परिपथ में उत्पन्न करती है उसे प्रत्यावर्ती धारा का मूल माध्य वर्ग मान कहते हैं । इसे Irms या IV से सूचित किया जाता है ।
Irms = \(\frac{I_{0}}{\sqrt{2}}\)
Irms = 0.707 167
प्रश्न 8.
पॉलेराइड क्या है ? इसके उपयोगों को लिखें।
उत्तर-
ध्रुवक एक संयंत्र है, जिससे समतल ध्रुवित प्रकाश उत्पन्न होता है। उदाहरण-टूर्मलीन क्रिस्टल ।
ध्रुवक का उपयोग :
(i) धूप चश्में के रूप में
(ii) रेल तथा हवाई जहाज में
(iii) कार तथा बस के हेड लाइट में
(iv) त्रि-नियामक चलचित्र के निर्माण तथा रिकार्डिंग में
(v) In photo elastic stress analysis i.e., photo-elasticity
(vi) In L.C.D. (Liquid Crystal Display) used in calculators, watches, TV, computers etc.
![]()
प्रश्न 9.
प्रकाश में स्थायी व्यतिकरण की शर्तों को लिखें ।
उत्तर-
स्थायी व्यतिकरण की निम्नलिखित शर्ते हैं ।
- दोनों प्रकाश स्रोत कला संबद्ध होने चाहिये ।
- दोनों तरंगों की आवृत्ति तथा तरंग-दैर्घ्य समान होने चाहिये ।
- दोनों तरंगों का आयाम बराबर होना चाहिये ।
- दोनों प्रकाश स्रोत के बीच की दूरी कम होनी चाहिये ।
प्रश्न 10.
(a) दिखाइए कि E ऊर्जा वाले इलेक्ट्रॉन की डी-ब्रोगली तरंग-दैर्घ्य के लिए सम्बन्ध है \(\lambda=\frac{h}{\sqrt{2 m E}}\)
(b) वेन-डे-ग्राफ जेनरेटर का बेल्ट क्यों विद्युतरोधी पदार्थ का बना रहता है ?
उत्तर-

(b) वेन-डे-ग्राफ जेनरेटर के बेल्ट द्वारा लिया गया आवेश उस पर फैलता नहीं है, बल्कि स्थानीकृत होता है । बेल्ट के साथ आवेश नुकीले चालक के पास पहुँचाया जाता है । यदि बेल्ट सुचालक पदार्थ का होता है तो आवेश पूरे बेल्ट पर फैल जाता है।
प्रश्न 11.
अधुवित प्रकाश तथा धुवित प्रकाश में दो अन्तर बतावें ।
उत्तर-
अधुवित प्रकाश
- अध्रुवित प्रकाश में कम्पन, तरंग के चलने की दिशा के लंबवत सभी संभव तलों में होते हैं ।
- प्रकाश स्रोत जैसे विद्युत बल्व, सूर्य से प्राप्त प्रकाश अध्रुवित प्रकाश होता है।
ध्रुवित प्रकाश
- ध्रुवित प्रकाश में कम्पन, तरंग के चलने की दिशा के लंबवत एक विशेष तल में होता है ।
- टर्मोलीन क्रिस्टल अथवा पॉलेराइड से गुजारने पर निर्गत प्रकाश ध्रुवित प्रकाश होते हैं।
प्रश्न 12.
किसी रेडियो सक्रिय पदार्थ के लिये अर्द्ध आयु तथा क्षय नियतांक में संबंध स्थापित कीजिए।
उत्तर-
हम जानते हैं कि
N = Noe-λ+
माना कि पदार्थ की अर्द्ध आयु T है

प्रश्न 13.
ट्रांजिस्टर के तीन विन्यासों में से कौन-सा सबसे अधिक उपयोग में लाया जाता है।
उत्तर-
ट्रांजिस्टर में उभयनिष्ठ उत्सर्जक अभिविन्यास को अधिक प्राथमिकता दी जाती है क्योंकि इसमें धारा लाभ तथा वोल्टता लाभ सभी विन्यास से ज्यादा होता है।
![]()
प्रश्न 14.
उभयनिष्ठ उत्सर्जक प्रवर्द्धक का परिपथ-आरेख खींचें।
उत्तर-
Common Emitter Configuration:

प्रश्न 15.
निम्नलिखित की व्याख्या करें : (i) www (ii) Fax.
उत्तर-
(i) www(वर्ल्ड वाइड वेव)-यह एक स्थिर तथा गतिशील वेव पृष्ठों से युक्त रचना (मूल पाठ, चित्र, वीडियो इत्यादि) है जिसको अन्य व्यक्तियों का सहभागी बनाया जाता है।
WWW का प्रारंभ पृष्ठ के URL को Web-Browser इन्टरनेट, एक्सप्लोर के समान टाइप करने पर प्रारंभ होता है।
FAX-किसी दस्तावेज का सुदूर स्थान पर इलेक्ट्रॉनिक पुनरुत्पादन ही फैक्सीमाइल टेलीग्राफी या फैक्स कहलाता है। प्रेषी सिरे पर लिखित दस्तावेज को प्रेषण योग्य संकेतों में रूपान्तरित कर दिया जाता है। ग्राही सिरे पर इन संकेतों को पुनः मूल दस्तावेज की प्रति के रूप में रूपान्तरित कर दिया जाता है।
प्रश्न 16.
चल कुंडली धारा मापी में त्रिज्यीय चुम्बकीय क्षेत्र का महत्त्व क्या है ?
उत्तर-
त्रिज्यीय चुम्बकीय क्षेत्र कुंडली के तल के सदैव समानान्तर होता है । इस प्रकार कुंडली का विक्षेपण कुंडली में प्रवाहित धारा के सीधे समानुपाती होता है । इस प्रकार हम रेखीय मात्रक का प्रयोग विक्षेप के प्रेक्षण और धारा के प्रेक्षण में कर सकते हैं ।
प्रश्न 17.
क्या कारण है कि जल के सतह पर तेल फिल्म के रंग लगातार परिवर्तित होते रहते हैं ।
उत्तर-
पतली तेल, फिल्म द्वारा प्रकाशित तथा अंधकारमय फ्रिजों की स्थिति फिल्म की मोटाई पर निर्भर करती है । तेल फिल्म की मोटाई जल के सतह पर लगाकार घटते-बढ़ते रहती है । इसलिये रंगीन फ्रेजों की स्थिति भी घटती है, बढ़ती है । इसीलिये तेल फिल्म के रंगों में परिवर्तन प्रतीत होता है।
![]()
प्रश्न 18.
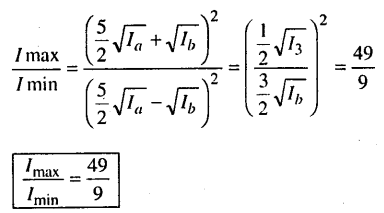
दो तरंगें जिनकी तीव्रताओं का अनुपात 25 : 4 है, व्यतिकरण उत्पन्न करती है । अधिकतम तथा न्यूनतम तीव्रताओं के अनुपात की गणना कीजिये ।
उत्तर-
प्रश्नानुसार,


दीर्घ उत्तरीय प्रश्न
प्रश्नों संख्या 19 से 24 तक दीर्घ उत्तरीय प्रश्न है । इस कोटि के प्रत्येक प्रश्न के लिए 5 अंक निर्धारित है । आप किन्हीं तीन प्रश्नों के उत्तर दें। (3 x 5 = 15)
प्रश्न 19.
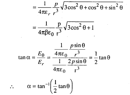
किसी विद्युतीय द्विध्रुव के कारण क्षेत्र एवं विभव के बीच अवकलन संबंध द्वारा विद्युत विभव एवं विद्युत क्षेत्र ज्ञात करें।
उत्तर-
विद्युत द्विध्रुव के कारण किसी बिन्दु पर विद्युतीय विभव का व्यंजक-मान लिया कि AB एक विद्युत द्विध्रुव है । इसके मध्य बिंदु ० से r दूरी पर स्थित P बिंदु पर विद्युतीय तीव्रता ज्ञात करना है। B से BG, OP पर तथा A से AK, PO के बढ़ाये भाग पर लम्ब डाला। ∠POB = θ यहाँ द्विध्रुव के प्रत्येक ध्रुव पर आवेश का परिमाण १ तथा आवेश के बीच की दूरी 2l है।
r1 = r – lcosθ
r2 = r – lcosθ
अत: B के कारण P बिंदु पर विद्युतीय विभव


विद्युतीय द्विध्रुव के कारण किसी बिंदु पर विद्युतीय तीव्रता का व्यंजक :


![]()
प्रश्न 20.
भँवर धारा को परिभाषित करें । ये कैसे उत्पन्न होती हैं ? भँवर धाराएँ किसी ट्रांसफार्मर में कैसे अनावश्यक हैं तथा इसे किसी यंत्र 1 में कैसे कम किया जा सकता है ?
उत्तर-
फोको (Focault) ने 1875 ई. में यह देखा कि यदि कोई धातु का | टुकड़ा बदलते हुए चुंबकीय क्षेत्र में रखा हो या किसी चुंबकीय क्षेत्र में वह इस प्रकार से गतिशील हो कि उससे संबद्ध चुंबकीय फ्लक्स में समय के साथ | परिवर्तन हो, तो धातु के संपूर्ण आयतन में प्रेरित धाराएँ उत्पन्न हो जाती हैं जो के संबद्ध फ्लक्स के परिवर्तन का अथवा धातु के टुकड़े की गति का विरोध करती है। ये धाराएँ चक्करदार होती हैं, इसलिए इन्हें भँवर-धाराएँ कहा जाता है। इन्हें फोको-धारा भी कहा जाता है । ये धाराएँ इतनी प्रबल भी हो सकती हैं कि धातु का टुकड़ा गर्म होकर लाल तप्त हो जाए । भँवर-धाराएँ वास्तव में प्रेरित धाराएँ (induced currents) हैं। अतः इनकी दिशा लेंज के नियम से ज्ञात होती है। भँवर-धारा की दिशा को ज्ञात करने के लिए चित्र में ताँबे की एक समतल प्लेट को चुंबकीय क्षेत्र \(\overrightarrow{\mathrm{B}}\) के लंबवत रखा दिखाया गया है। चुंबकीय क्षेत्र को क्रॉस-चिह्न (x) से सूचित किया गया है ।

यदि प्लेट को चुंबकीय क्षेत्र से बाहर खींचा जाए तो एक विरोधी बल का अनुभव होगा। प्लेट को बाहर खींचने पर क्षेत्र के भीतर प्लेट का क्षेत्रफल घटता है और चादर से संबद्ध फ्लक्स (= BA) का मान भी घटता जाता है। अतः, लेंज-नियम के अनुसार प्रेरित धारा की दिशा फ्लक्स के घटने का विरोध करती है और बाहर निकलती हुई चादर में धारा-लूप (current loops) प्रेरित हो जाते हैं। इन धारा-लूपों की दिशा इस प्रकार की होती है कि इनसे उत्पन्न चुंबकीय क्षेत्र मूल चुंबकीय क्षेत्र की दिशा में हो । यदि प्लेट को विपरीत दिशा में गतिशील कराया जाए तो भँवर-धाराएँ विपरीत दिशा में प्रेरित होंगी और चुंबकीय क्षेत्र के भीतर प्लेट के प्रवेश का विरोध करेंगी। धातु की प्लेट का प्रतिरोध बहुत कम होता है, अतः भँवर-धाराएँ बहुत प्रबल होती हैं। .
जब ट्रांसफार्मर को लौह क्रोड से परिवर्ती चुम्बकीय फ्लक्स से सम्बद्ध किया जाता है तो भँवर धाराएँ उत्पन्न होती हैं। ये भँवर धाराएँ लोहे की क्रोड में ऊष्मा उत्पन्न करती है जिससे ऊर्जा की हानि होती है । इस ऊर्जा हानि को पटलित लौह क्रोड (Laminated Iron Core) के उपयोग द्वारा कम किया जाता है।
प्रश्न 21.
चुम्बकीय क्षेत्र में धारावाही चालक पर लगने वाले बल का व्यंजक प्राप्त करें।
उत्तर-
चुम्बकीय क्षेत्र, में स्थित धारावाही चालक पर एक बल कार्य करता है जिसकी चुम्बकीय क्षेत्र तथा चालक में प्रवाहित धारा की दिशा दोनों के लंबवत होती है । वास्तव में यह लॉरेंज बल है जो धाराबाही चालक में गतिमान प्रत्येक आवेश पर लग रहा है ।

मान लिया PQ एक चालक है जिसकी ल. l, तथा अनुप्रस्थ परिच्छेद का क्षेत्रफल A है । इससे होकर [ धारा प्रवाहित हो रही है । चुम्बकीय क्षेत्र OZ अक्ष की ओर है ।
चालक से होकर प्रवाहित धारा
1 = nAevd
जहाँ n = इलेक्ट्रॉन की संख्या
vd = अनुगमन वेग है ।
दोनों तरफ l से ‘गुणा करने पर
ll = nAlevd…………(i)
ऋणात्मक चिह्न इलेक्ट्रॉन के आवेश को सूचित करता है।
आवंश पर लगने वाला लॉरेंज बल

अतः बल का परिमाण | F = Bll sinθ
जब θ = 90° sinθ = sin 90° = 1
तो F= Bll अधिकतम बल
जब θ = 0° या 180° तो F = Bll sin 0° = 0
F= 0 न्यूनतम बल
![]()
प्रश्न 22.
विभव मापी क्या है ? इसके सिद्धांत को लिखें । इसकी सहायता से किसी सेल के आन्तरिक प्रतिरोध का मान कैसे ज्ञात किया . जाता है।
उत्तर-
विभवमापी-यह एक प्रकार का उपकरण है जिसके द्वारा किसी सेल के वि.वा. बल तथा आन्तरिक प्रतिरोध का मान ज्ञात किया जाता है।
विभवमापी का सिद्धांत-जब किसी समरूप क्षेत्रफल वाले तार से होकर नियत धारा प्रवाहित होती है तो तार के किसी भाग में विभवपात उसकी लम्बाई के समानुपाती होता है।
सेल के आन्तरिक प्रतिरोध का मान ज्ञात करना

चित्रानुसार परिपथ सजाया जाता है। सर्वप्रथम कुंजी K2 के प्लग को निकालकर सेल E को खुले परिपथ में रखा जाता है । तब कुंजी K2 को प्लग लगाकर सेल E के लिये शून्य विक्षेप स्थिति ज्ञात कर लेते हैं। माना कि इस स्थिति की सिरे A से दूरी l1 cm है क्योंकि खुले परिपथ पर सेल की प्लेट के बीच विभवांतर इसके वि.वा. बल के बराबर होता है । अतः
E= Kl1
जहाँ K तार AB की विभव प्रवणता है।
अब प्रतिरोध बक्स में कोई उचित प्रतिरोध R निकालकर कुंजी K, में प्लग लगा देते हैं। इस दशा में प्रतिरोध R के सिरों के बीच लगने वाले विभवान्तर V के लिये तार AB पर शून्य विक्षेप की स्थिति ज्ञात कर लेते हैं। माना इस स्थिति की बिन्दु A से दूरी l2 है।
V = Kl2 .
∴ समी. (i) और (ii) से
\(\frac{E}{V}=\frac{l_{1}}{l_{2}}\) ………..(iii)
यदि सेल का आन्तरिक प्रतिरोध r है तो इसे एक बाह्य प्रतिरोध R से जोड़ने पर इस प्रतिरोध में बहने वाली धारा \(l=\frac{E}{E+r}\)
E= I(R+r)…………..(iv)
यदि प्रतिरोध R के सिरों के बीच विभवान्तर V हो तो
V= IR
समी. (iv) और (vi) से

प्रश्न 23.
काँच-प्रिज्म से प्रकाश के अपवर्तन का किरण आरेख – खींचें । प्रिज्म के पदार्थ का अपवर्तनांक ज्ञात करने के लिए प्रयुक्त सूत्र को स्थापित करें।
उत्तर-
प्रिज्म से अपवर्तन : मान लिया कि POR किसी प्रिज्म का मुख्य काट है जिसका अपवर्तक कोण A है। प्रकाश की किरण AB इस प्रिज्म के अपवर्तक पृष्ठ PQ पर i कोण बनाते हुए आपतित होती है। बिन्दु B पर अपवर्तन के पश्चात् यह प्रकाश किरण अभिलम्ब N0 की ओर मुड़ जाती है ।
इस अपवर्तित किरण BC का बिन्दु C पर पुनः अपवर्तन होता है और यह अभिलम्ब N’) से दूर चली जाती है तथा CD के अनुदिश गति करती है। किरण CD को निर्गत किरण कहते हैं। निर्गत किरण द्वारा अभिलम्ब के साथ बनाया गया कोण (∠e) निर्गत कोण कहलाता है। यदि निर्गत किरण को पीछे की ओर बढ़ाया जाए तो यह आगे बढ़ायी हुई आपतित किरण को बिन्दु M पर काटती है । आपतित किरण एवं निर्गत किरण के मध्य कोण विचलन कोण (δ) कहलाता है।

प्रिज्म पार करने के बाद आपतित किरण जितने कोण से मुड़ जाती है, उसे विचलन कोण कहते हैं।
विचलन कोण (δ) की गणना : प्रिज्म के पृष्ठ PQ पर आपतित किरण ABE, BC के अनुदिश विक्षेपित हो जाती है।
\(\angle E B C=\angle A B N-\angle C B O\)
या, δ1 = i – r1 ………..(i)
इसी प्रकार पृष्ठ PR पर किरण CD के अनुदिश विक्षेपित हो जाती है, अतः δ2 = e – r2 …..(ii)
जहाँ δ2 , प्रिज्म के पृष्ठ PR द्वारा विचलन कोण है।
∴ कुल विचलन कोण δ = δ1 + δ2 …………. (iii)
या, δ = i – r1 + e – r2
चतुर्भुज PBOC में δ = (i + e) – (r1 + r2)

समी० (iii) में A का मान रखने पर, δ = i + e – A;
δ + A =i+e
अतः विचलन कोण और प्रिज्म कोण का योग आपतन कोण और निर्गत कोण के योग के बराबर होता है।

![]()
प्रश्न 24.
आयाम मॉडुलेशन एवं आवृत्ति मॉडुलेशन की व्याख्या करें। प्रेषी ऐन्टिना की ऊँचाई के लिए व्यंजक प्राप्त करें।
उत्तर-
आयाम मॉडुलेशन-यदि वाहक तरंग का आयाम श्रव्य आवृत्ति के आयाम के अनुसार परिवर्तित होता है तब इस प्रकार का मॉडुलन आयाम मॉडुलेशन (Amplitude modulation) कहलाता है।
आवृत्ति मॉडुलेशन (Frequency modulation)-यदि वाहक तरंग की आवृत्ति श्रव्य तरंग की आवृत्ति के अनुसार परिवर्तित होती है तब इस मॉडुलेशन को आवृत्ति मॉडुलेशन कहते हैं।
प्रेषी ऐन्टिना की ऊँचाई (Height of transmitting Antenna)परा उच्च आवृत्ति तथा इससे अधिक के मॉडुलित संकेतों को आसानी से प्रेषित किया जा सकता है यदि ग्राही ऐन्टिना सीधे ही इन्हें प्राप्त करे क्योंकि यदि प्रेषी तथा ग्राही ऐन्टिना के मध्य कोई बाधा हो तो संकेतों की बड़ी हानि होती है।
अतः TV स्टेशनों के प्रेषी ऐन्टिना की ऊँचाई अधिक रखी जाती है। किसी ॥ ऊँचाई के प्रेषी ऐन्टिना AB पर विचार करते हैं। चित्रानुसार पृथ्वी के पृष्ठ पर बिन्दु C में D तक के संकेतों का सीधा प्रसारण संकेतों के ग्रहण के लिये दूरी की गणना करते हैं।
मान लिया कि OB = OC = R पृथ्वी की त्रिज्या
AC = AD=d, AB = h

समकोण त्रिभुज ∆ACO में, (AO)2 = (AC)2 + (OC)2
या, (R+h)2 = d2 + R2 या, R2 + h2 + 2 Rh = d2 + R2
या, d2 = h2 + 2Rh
चूँकि R >> h, अतः 2Rh की तुलना में h2 को नगण्य माना जाता है।
d2 = 2Rlr ; \(d=\sqrt{2 R h}\)