Bihar Board 12th Physics Objective Questions and Answers
Bihar Board 12th Physics Objective Answers Chapter 13 नाभिक
प्रश्न 1.
आयरन के नाभिक की द्रव्यमान संख्या 55.854 है एवं A = 56 है, तो नाभिकीय घनत्व होगा –
(a) 2.29 × 1016 kg m-3
(b) 2.29 × 1017 kg m-3
(c) 2.29 × 1018 kg m-3
(d) 2.29 × 1015 kg m-3
उत्तर-
(b) 2.29 × 1017 kg m-3
![]()
प्रश्न 2.
दो नाभिकों की द्रव्यमान संख्याओं का अनुपात 1: 3 है। उनके नाभिकीय घनत्वों का अनुपात होना चाहिए
(a) (3)1/3 : 1
(b) 1:1
(c) 1 :3
(d) 3 : 1
उत्तर-
(b) 1:1
प्रश्न 3.
इलेक्ट्रॉन प्रकीर्णन के द्वारा मापे गये गोलीय नाभिक की त्रिज्या 3.6 fm है । नाभिक की सर्वाधिक संभावित द्रव्यमान संख्या क्या होगी?
(a) 27
(b) 40
(c) 56
(d) 120
उत्तर-
(a) 27
(a) नाभिकीय त्रिज्या, R = Ro (A)1/3
जहाँ A नाभिक की द्रव्यमान संख्या है।
दिया है, R = 3.6 fm ∴ 3.6 fm = (1.2 fm) (A1/3) . [∵ Ro = 1.2 fm]
या A = (3)3 = 27
![]()
प्रश्न 4.
1g पदार्थ के समतुल्य ऊर्जा होती है.
(a) 9 × 1013 J
(b) 6 × 1012 J
(c) 3 × 1013 J
(d) 6 × 1013 J
उत्तर-
(a) 9 × 1013 J
प्रश्न 5.
एक घण्टे के लिए 500 MW विद्युत शक्ति उत्पन्न करने के लिए कितना द्रव्यमान, ऊर्जा में परिवर्तित होगा?
(a) 2 × 10-5 kg
(b) 1 × 10-5 kg
(c) 3 × 10-5 kg
(d) 4 × 10-5 kg
उत्तर-
(a) 2 × 10-5 kg
प्रश्न 6.
यदि नाभिकीय संलयन अभिक्रिया में, द्रव्यमान क्षय 0.3% है, तो 1kg द्रव्यमान के संलयन में मुक्त ऊर्जा होगी -\
(a) 27 × 1010 J
(b) 27 × 1011 J
(c) 27 × 1012 J
(d) 27 × 1013 J
उत्तर-
(d) 27 × 1013 J
(d) यहाँ, ∆m = 1 kg का 0.3% = \(\frac{0.3}{100}\) kg = 0.3 kg = 3 × 10-3 kg.
∴ E (∆m)c2 = 3 × 10-3 × (3 × 108)2 = 27 × 1013 J
प्रश्न 7.
α-क्षय होने पर 92238U की अर्द्ध-आयु 4.5 × 109 वर्ष है। 92238U के 1g नमूने की सक्रियता होगी –
(a) 1.23 × 104 Bq
(b) 1.23 × 105 Bq
(c) 1.23 × 103 Bq
(d) 1.23 × 106 Bq
उत्तर-
(a) 1.23 × 104 Bq
![]()
प्रश्न 8.
बीटा विकिरण में उत्सर्जित होने वाले इलेक्ट्रॉन का उद्गम होता है
(a) परमाणु की आंतरिक कक्षा से
(b) नाभिकों में पाये जाने वाले मुक्त इलेक्ट्रॉन से
(c) किसी नाभिक में न्यूट्रॉन के क्षय से
(d) नाभिक से निकले हुए फोटॉन से .
उत्तर-
(c) किसी नाभिक में न्यूट्रॉन के क्षय से
प्रश्न 9.
रेडॉन में उसकी अर्द्ध-आयु 3.8 दिन है। 38 दिनों के पश्चात् 15 mg द्रव्यमान में से कितना रेडॉन शेष बचेगा ?
(a) 1.05 mg
(b) 0.015 mg
(c) 0.231 mg
(d) 0.50 mg
उत्तर-
(b) 0.015 mg
प्रश्न 10.
निम्न में से कौन रेडियो-सक्रिय पदार्थों के द्वारा अपने क्षय के दौरान उत्सर्जित नहीं हो सकता है ?
(a) न्यूट्रिनो
(b) प्रोटॉन
(c) इलेक्ट्रॉन
(d) हीलियम नाभिक
उत्तर-
(b) प्रोटॉन
प्रश्न 11.
पोलोनियम की अर्द्ध-आयु 140 दिन है। कितने समय में 15g पोलोनियम अपने प्रारंभिक द्रव्यमान 16g को विघटित करेगा?
(a) 230 दिन
(b) 560 दिन
(c) 730 दिन
(d) 160 दिन
उत्तर-
(b) 560 दिन
![]()
प्रश्न 12.
एक-280 दिन पुराना रेडियो-सक्रिय पदार्थ 6000 dps की सक्रियता दर्शाता है, 140 दिन बाद इसकी सक्रियता 3000 dps हो जाती है। इसकी प्रारंभिक सक्रियता क्या थी?
(a) 20000 dps
(b) 24000 dps
(c) 12000 dps
(d) 6000 dps
उत्तर-
(b) 24000 dps
प्रश्न 13.
दिये गये रेडियो-सक्रिय नमूने के लिए, क्षय नियतांक 0.3465 दिन- है । इस नमूने का कितना प्रतिशत 4 दिनों की अवधि में क्षय होगा?
(a) 100%
(b) 50%
(c) 75%
(d) 10%
उत्तर-
(c) 75%
प्रश्न 14.
श्रेणी 6He → e+ + 6Li+ को पूर्ण कीजिए –
(a) न्यूट्रिनो
(b) प्रतिन्यूट्रिनो
(c) प्रोटॉन
(d) न्यूट्रॉन
उत्तर-
(a) न्यूट्रिनो
![]()
प्रश्न 15.
कार्बन, निर्धारण, जीवाश्मों की आयु के निर्धारण के लिए तब सर्वाधिक उपयुक्त होता है, यदि वर्षों में उनकी आयु इस कोटि की होती है
(a) 103
(b) 104
(c) 105
(d) 106
उत्तर-
(b) 104
प्रश्न 16.
रेडियो-सक्रिय क्षेत्र किन कणों के उत्सर्जन के साथ मूल नाभिक का – एक समस्थानिक रूप बना सकता है ?
(a) एक α एवं चार β
(b) एक α एवं दो β
(c) एक α एवं एक β
(d) चार α एवं एक β
उत्तर-
(b) एक α एवं दो β
प्रश्न 17.
माना α एवं β कण तथा γ-किरणों में से प्रत्येक की ऊर्जा 0.5 Mev है । भेदन क्षमता के बढ़ते क्रम में, विकिरण क्रमशः होंगे
(a) α, β, γ
(b) α, γ, β
(c) β, γ, α
(d) γ, β, α
उत्तर-
(a) α, β, γ
प्रश्न 18.
एक रेडियो-सक्रिय पदार्थ के द्वारा उत्सर्जित बीटा कणों की संख्या इसके द्वारा उत्सर्जित एल्फा कणों की संख्या की दुगुनी है । परिणामी विघटन उत्पाद होगा
(a) उत्पादक का समावयवी
(b) उत्पादक का समन्यूट्रॉनिक
(c) उत्पादक का समस्थानिक
(d) उत्पादक का समभारिक
उत्तर-
(c) उत्पादक का समस्थानिक
![]()
प्रश्न 19.
प्लूटोनियम 24000 वर्षों की अर्द्ध-आयु के साथ क्षय होता है। यदि प्लूटोनियम को 72000 वर्षों के लिए संचित किया जाता है, . तो इसका वह अंश जो शेष रहता है, होगा –
(a) 1/8
(b) 1/3
(c) 1/4
(d) 1/2
उत्तर-
(a) 1/8

प्रश्न 20.
नाभिकीय रिएक्टरों में, नियंत्रक छड़ किसकी बनी होती है ?
(a) कैडमियम
(b) ग्रेफाइट
(c) क्रिप्टॉन
(d) प्लूटोनियम
उत्तर-
(a) कैडमियम
![]()
प्रश्न 21.
दी गई अभिक्रियाओं में, निम्न में से कौन-सी नाभिकीय संलयन अभिक्रिया संभव नहीं है ?

उत्तर-
(a)
प्रश्न 22.
तीव्र न्यूट्रॉनों को आसानी से निम्न के प्रयोग से धीमा किया जा सकता है –
(a) लैड के आवरण (Shielding) से
(b) उन्हें जल में से गुजारकर
(c) भारी नाभिकों के साथ प्रत्यास्थ संघट्ट से
(d) प्रबल विद्युत क्षेत्र लगाकर
उत्तर-
(b) उन्हें जल में से गुजारकर
प्रश्न 23.
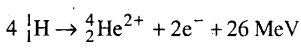
समीकरण

प्रदर्शित करता –
(a) β-क्षय
(b) γ-क्षय
(c) संलयन
(d) विखण्डन
उत्तर-
(c) संलयन
प्रश्न 24.
तारे के द्वारा उत्सर्जित प्रकाश ऊर्जा किसके कारण होती है ?
(a) नाभिकों के टूटने के
(b) नाभिकों के जुड़ने के
(c) नाभिकों के जलने के
(d) सौर प्रकाश के परावर्तन के
उत्तर-
(b) नाभिकों के जुड़ने के
![]()
प्रश्न 25.
नाभिकीय प्रतिक्रिया में, संरक्षण होता है
(a) केवल द्रव्यमान का
(b) केवल ऊर्जा का
(c) केवल संवेग का
(d) द्रव्यमान, ऊर्जा एवं संवेग का
उत्तर-
(d) द्रव्यमान, ऊर्जा एवं संवेग का
प्रश्न 26.
न्यूट्रॉन की खोज किसने की थी?
(a) रदरफोर्ड ने
(b) चैडविक ने
(c) थॉमसन ने
(d) बेकुरल ने
उत्तर-
(b) चैडविक ने