Bihar Board Class 10 Maths Solutions Chapter 13 पृष्ठीय क्षेत्रफल एवं आयतन Additional Questions and Answers.
BSEB Bihar Board Class 10 Maths Solutions Chapter 13 पृष्ठीय क्षेत्रफल एवं आयतन Additional Questions
Bihar Board Class 10 Maths पृष्ठीय क्षेत्रफल एवं आयतन Additional Questions
बहुविकल्पीय प्रश्न
प्रश्न 1.
एक किनारे पर नुकीली बनायी गयी एक बेलनाकार पेंसिल निम्नलिखित का संयोजन है
(i) एक शंकु और एक बेलन
(ii) शंकु का छिन्नक और एक बेलन
(iii) एक अर्धगोला और एक बेलन
(iv) दो बेलन
हल
(i) एक शंकु और एक बेलन
प्रश्न 2.
एक सुराही निम्नलिखित का संयोजन है
(i) एक गोला और एक बेलन
(ii) एक अर्द्धगोला और एक बेलन
(iii) दो अर्द्धगोले
(iv) एक बेलन और एक शंकु
हल
(i) एक गोला और एक बेलन
![]()
प्रश्न 3.
एक साहुल निम्नलिखित का संयोजन है (आकृति देखिए)

(i) एक शंकु और एक बेलन
(ii) एक अर्द्धगोला और एक शंकु
(iii) शंकु का छिन्नक और एक बेलन
(iv) गोला और बेलन
हल
(ii) एक अर्द्धगोला और एक शंकु
प्रश्न 4.
संलग्न चित्र में, एक गिलास का आकार प्रायः निम्न रूप से होता है

(i) एक शंकु
(ii) शंकु का छिन्नक
(iii) एक बेलन
(iv) एक गोला
हल
(ii) शंकु का छिन्नक
![]()
प्रश्न 5.
संलग्न चित्र में, गिल्ली-डंडे के खेल में, गिल्ली का आकार निम्नलिखित का संयोजन है
![]()
(i) दो बेलन
(ii) एक शंकु और एक बेलन
(iii) दो शंकु और एक बेलन
(iv) दो बेलन और एक शंकु
हल
(iii) दो शंकु और एक बेलन
प्रश्न 6.
बैडमिंटन खेलने में प्रयोग की जाने की जाने वाली शटलकॉक (चिड़िया) का आकार निम्नलिखित का संयोजन है
(i) एक बेलन और एक गोला
(ii) एक बेलन और एक अर्द्धगोला
(iii) एक गोला और एक शंकु
(iv) शंकु का छिन्नक और अर्द्धगोला
हल
(iv) शंकु का छिन्नक और अर्द्धगोला
![]()
प्रश्न 7.
एक शंकु को उसके आधार के समांतर एक तल की सहायता से काटा जाता है और फिर तल के एक ओर बने शंकु को हटा दिया जाता है। तल के दूसरी ओर बचा हुआ नया भाग कहलाता है एक
(i) शंकु का छिन्नक
(ii) शंकु
(iii) बेलन
(iv) गोला
हल
(i) शंकु का छिन्नक
प्रश्न 8.
विमाओं 49 cm × 33 cm × 24 cm के घनाभ के आकार के लोहे के किसी ठोस टुकड़े को पिघलाकर एक ठोस गोले के रूप में ढाला जाता है। गोले की त्रिज्या है
(i) 21 cm
(ii) 23 cm
(iii) 25 cm
(iv) 19 cm
हल
(i) 21 cm
![]()
प्रश्न 9.
त्रिज्या r सेमी और ऊँचाई h सेमी (h > 2r) वाले एक लम्बवृत्तीय बेलन में ठीक समावेशित होने वाले गोले का व्यास
(i) r cm
(ii) 2r cm
(iii) h cm
(iv) 2h cm
हल
(ii) 2r cm
प्रश्न 10.
लम्बवृत्तीय शंकु में, आधार के समांतर खींचे गए तल द्वारा काटे गए अनुप्रस्थ परिच्छेद को कहते हैं
(i) वृत्त
(ii) शंकु का छिन्नक
(iii) गोला
(iv) अर्धगोला
हल
(i) वृत्त
![]()
प्रश्न 11.
दो गोलों के आयतनों का अनुपात 64 : 27 है। उनके वक्र पृष्ठीय क्षेत्रफलों का अनुपात है
(i) 3 : 4
(ii) 4 : 3
(iii) 9 : 16
(iv) 16 : 9
हल
(iv) 16 : 9
प्रश्न 12.
एक ठोस को एक आकृति से दूसरी आकृति में रूपान्तरित करने पर नई आकृति का आयतन
(i) बढ़ेगा
(ii) घटेगा
(iii) पहले के समान
(iv) दो गुना
हल
(iii) पहले के समान
![]()
प्रश्न 13.
यदि समान त्रिज्या r के दो अर्द्धगोलों को उनके आधारों से जोड़ा जाता है, तब नए ठोस का वक्र पृष्ठीय क्षेत्रफल है
(i) 4πr2
(ii) 6πr2
(iii) 3πr2
(iv) 8πr2
हल
(i) 4πr2
प्रश्न 14.
यदि 10 cm कोर के घनाकार लकड़ी के टुकड़े से काटकर अधिकतम आयतन का एक शंकु बनाया गया तो शंकु का आयतन होगा
(i) 260 cm3
(ii) 260.9 cm3
(iii) 261.9 cm3
(iv) 262.7 cm3
हल
(iii) 261.9 cm3
अतिलघु उत्तरीय प्रश्न
प्रश्न 1.
एक 22 cm लम्बे और 18 cm चौड़े दफ्ती के टुकड़े को मोड़कर 18 cm ऊँचा एक बेलन बनाया गया है। इस प्रकार बने हुए बेलन का आयतन ज्ञात कीजिए।
हल
दफ्ती के टुकड़े की माप 22 cm × 18 cm
इसे मोड़कर 18 cm ऊँचा बेलन बनाया गया है।
अतः आधार की परिधि = 22 cm
2πr = 22
⇒ 2 × \(\frac {22}{7}\) × r = 22
⇒ r = \(\frac{22 \times 7}{2 \times 22}=\frac{7}{2}\) cm
अत: बेलन का आयतन = πr2h
= \(\frac{22}{7} \times \frac{7}{2} \times \frac{7}{2} \times 18\)
= 693 cm3
![]()
प्रश्न 2.
एक धातु के ठोस गोले की त्रिज्या 10 cm है। उसको पिघलाकर 2 cm त्रिज्या की गोलियाँ बनाई गई हैं। इस प्रकार की गोलियों की संख्या ज्ञात कीजिए।
हल
ठोस गोले की त्रिज्या (R) = 10 cm
छोटी गोली की त्रिज्या (r) = 2 cm
गोले को पिघलाकर बनी गोलियों की संख्या

प्रश्न 3.
6 cm त्रिज्या का एक ठोस गोला पिघलाकर उसी त्रिज्या के वृत्ताकार आधार का एक ठोस लम्ब बेलन तैयार किया जाता है। बेलन की ऊँचाई ज्ञात कीजिए।
हल
माना बेलन की ऊँचाई h है।
प्रश्नानुसार, गोले का आयतन = बेलन का आयतन
\(\frac{4}{3}\) πr3 = πr2h
\(\frac{4}{3}\) π(6)3 = π × (6)2 × h [∵ त्रिज्या = 6 cm]
h = \(\frac{4}{3}\) × 6 = 8 cm
अतः बेलन की ऊँचाई 8 cm है।
![]()
प्रश्न 4.
एक शंकु तथा एक बेलन के आधार तथा ऊँचाइयाँ समान हैं। उनके आयतनों का अनुपात ज्ञात कीजिए।
हल
माना शंकु व बेलन में प्रत्येक के आधार की त्रिज्या r cm तथा प्रत्येक की ऊँचाइयाँ h cm हैं।
तब, शंकु का आयतन = \(\frac{1}{3}\) πr2h तथा बेलन का आयतन = πr2h

अतः शंकु का आयतन : बेलन का आयतन = 1 : 3
लघु उत्तरीय प्रश्न
प्रश्न 1.
7.0 cm कोर वाले लकड़ी के घन से अधिकतम आयतन का लम्बवृत्तीय बेलन बनाया जाता है। बेलन का आयतन ज्ञात कीजिए।
हल
अधिकतम आयतन वाले बेलन के आधार का व्यास = घन की कोर = 7 cm
बेलन की त्रिज्या (r) = \(\frac{7}{2}\) cm
तथा बेलन की ऊँचाई (h) = घन की कोर = 7 cm
अभीष्ट बेलन का आयतन = πr2h
= \(\frac{22}{7} \times\left(\frac{7}{2}\right)^{2} \times 7\)
= 22 × \(\frac{49}{4}\)
= 269.5 cm3
![]()
प्रश्न 2.
3 cm कोर के एक घन में 1.4 cm व्यास का एक छेद किया गया है। छेद का आयतन ज्ञात कीजिए।
हल

छेद बेलनाकार होगा जिसकी त्रिज्या
r = \(\frac{\text { व्यास }}{2}=\frac{1.4}{2}\) = 0.7 cm
तथा ऊँचाई (h) = घन की कोर = 3 cm
छेद का आयतन = πr2h = \(\frac{22}{7}\) × (0.7)2 × 3 = 4.62 cm3
प्रश्न 3.
π घन dm3 ताँबे को गलाकर एक km लम्बा (बेलनाकार) तार बनाया गया है। तार की त्रिज्या व व्यास ज्ञात कीजिए।
हल
ताँबे का आयतन = π dm3 = \(\frac{\pi}{1000}\) m3
तार की लम्बाई (l) = 1 km = 1000 m, तार की त्रिज्या r = ?
प्रश्नानुसार, πr2l = \(\frac{\pi}{1000}\)
⇒ r2 × 1000 = \(\frac{1}{1000}\)
⇒ r2 = \(\frac{1}{1000 \times 1000}\)
⇒ r = \(\frac{1}{1000}\) m
तार की त्रिज्या (r) = 0.1 cm
तार का व्यास = 2 × 0.1 = 0.2 cm
![]()
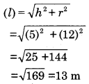
प्रश्न 4.
एक समकोण त्रिभुज का आधार 12 cm तथा लम्ब 5 cm है। इस त्रिभुज को आधार के परितः घुमाया जाता है। इस प्रकार बने परिक्रमण ठोस का आयतन तथा वक्रपृष्ठ ज्ञात कीजिए।
हल

इस प्रकार बना परिक्रमण ठोस एक शंकु होगा जिसकी त्रिज्या (r) = 5 cm
तथा ऊँचाई (h) = 12 cm
तिर्यक ऊँचाई (l) = \(\sqrt{r^{2}+h^{2}}\)
= \(\sqrt{5^{2}+12^{2}}\)
= \(\sqrt{169}\)
= 13 cm
परिक्रमण ठोस का आयतन = \(\frac{1}{3} \pi r^{2} h\)
= \(\frac{1}{3} \pi \times(5)^{2} \times 12\)
= 100π cm3
तथा वक्रपृष्ठ = πrl = π × 5 × 13 = 65π cm3
प्रश्न 5.
एक लम्बवृत्तीय शंकु और एक लम्बवृत्तीय बेलन के आधार की त्रिज्याएँ समान हैं। यदि उनके आयतनों का अनुपात 2 : 3 है, तो उनकी ऊँचाइयों में अनुपात ज्ञात कीजिए।
हल
माना शंकु और बेलन की त्रिज्या = r तथा उनकी ऊँचाइयाँ क्रमश: h1 व h2 हैं।
तब, उनके आयतनों का अनुपात = \(\frac{\frac{1}{3} \pi r^{2} h_{1}}{\pi r^{2} h_{2}}=\frac{h_{1}}{3 h_{2}}\)
प्रश्नानुसार दिया है, आयतनों का अनुपात = 2 : 3
\(\frac{h_{1}}{3 h_{2}}=\frac{2}{3}\)
⇒ \(\frac{h_{1}}{h_{2}}=\frac{2}{1}\) = 2 : 1
![]()
प्रश्न 6.
3.0 m ऊँचे एक ऐसे शंक्वाकार डेरे के लिए कितने m2 किरमिच की आवश्यकता होगी, जिसमें 1.5 m लम्बा लड़का केन्द्र से 2 m की दूरी तक खड़ा हो सके?
हल
माना केन्द्र O से 2 m की दूरी पर बिन्दु C पर 1.5 m लम्बा लड़का CD सीधा खड़ा है।
इस स्थिति में लड़के का सिर शंकु के वक्रपृष्ठ को छूता है।

माना, डेरे के आधार की त्रिज्या (OB) = r m
CB = (r – 2) m
∆VOB तथा ∆DCB समरूप हैं,
\(\frac{O V}{D C}=\frac{O B}{C B}\)
⇒ \(\frac{3}{1.5}=\frac{r}{r-2}\)
⇒ 2r – 4 = r
⇒ r = 4 m
डेरे की तिरछी ऊँचाई (l) = \(\sqrt{r^{2}+h^{2}}\)
= \(\sqrt{4^{2}+3^{2}}\)
= \(\sqrt{16+9}\)
= \(\sqrt{25}\)
= 5 m
डेरे का वक्रपृष्ठ = πrl = π × 4 × 5 m2 = 20π m2
अत: डेरे के लिए 20π m2 किरमिच की आवश्यकता होगी।
![]()
प्रश्न 7.
एक लम्बवृत्तीय बेलन और लम्बवृत्तीय शंकु के आधार और ऊँचाइयाँ समान हैं। यदि उनके वक्रपृष्ठ 8 : 5 के अनुपात में हों, तो दिखाइए कि उनके आधार की त्रिज्या और ऊँचाई में 3 : 4 का अनुपात है।
हल
माना त्रिज्याएँ r व ऊँचाई h हैं।
तब बेलन का वक्रपृष्ठ = 2πrh
शंकु की तिर्यक ऊँचाई (l) = \(\sqrt{h^{2}+r^{2}}\)
शंकु का वक्रपृष्ठ = πrl = \(\pi r \sqrt{h^{2}+r^{2}}\)


प्रश्न 8.
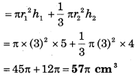
एक ठोस बेलन, जिसकी त्रिज्या 3 cm और ऊँचाई 5 cm है, के एक सिरे पर एक ठोस शंकु जिसके आधार की त्रिज्या 3 cm और ऊँचाई 4 cm है, रखकर एक ठोस बनाया गया है। इस प्रकार बने ठोस का आयतन ज्ञात कीजिए।
हल
बेलनाकार भाग की त्रिज्या (r1) = 3 cm, ऊँचाई (h1) = 5 cm
शंक्वाकार भाग की त्रिज्या (r2) = 3 cm, ऊँचाई (h2) = 4 cm
ठोस का आयतन = बेलनाकार भाग का आयतन + शंक्वाकार भाग का आयतन

![]()
प्रश्न 9.
6.0 dm त्रिज्या और 2.0 dm ऊँचाई के एक ठोस बेलन को पिघलाया जाता है और उससे एक लम्बवृत्तीय शंकु, जिसकी ऊँचाई बेलन की ऊँचाई की तीन गुनी है, बनाया जाता है। शंकु का वक्रपृष्ठ ज्ञात कीजिए।
हल
बेलन की त्रिज्या r1 = 6.0 dm तथा ऊँचाई h1 = 2 dm
माना शंकु की त्रिज्या = r2
तथा शंकु की ऊँचाई (h2) = 3h1 = 3 × 2 = 6 dm
बेलन को पिघलाकर शंकु बनाया जाता है।
बेलन का आयतन = शंकु का आयतन

प्रश्न 10.
7 cm की भुजा वाले एक घन से एक बड़ा से बड़ा गोला काटकर निकाल लिया गया है। इस गोले का आयतन ज्ञात कीजिए (π = 3.14 लीजिए)।
हल
घन से काटे गये बड़े से बड़े गोले का व्यास घन की भुजा के बराबर होगा।
गोले का व्यास = घन की भुजा = 7 cm
गोले की त्रिज्या = \(\frac{7}{2}\) cm

प्रश्न 11.
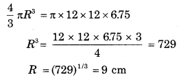
12 cm की त्रिज्या के एक बेलनाकार टब में 20 cm ऊँचाई तक पानी भरा है। लोहे की एक गोलीय गेंद टब में डाली जाती है और इस प्रकार पानी का स्तर 6.75 cm ऊपर उठ जाता है। गेंद की त्रिज्या ज्ञात कीजिए।
हल
बेलन की त्रिज्या (r) = 12 cm
लोहे की गोलीय गेंद को टब में डालने पर,
पानी के तल में वृद्धि (h) = 6.75 cm
ऊपर उठे पानी का आयतन = πr2h = π × 12 × 12 × 6.75 cm3
माना लोहे की गोलीय गेंद की त्रिज्या R cm है, तो
गोलीय गेंद का आयतन = \(\frac{4}{3}\) πR3
गोलीय गेंद का आयतन = ऊपर उठे पानी का आयतन

अतः गेंद की त्रिज्या = 9 cm
![]()
प्रश्न 12.
एक बेलनाकार बर्तन का व्यास 21 cm है। इसमें कुछ पानी भरा है। एक ठोस गोला जिसका व्यास 10.5 cm है, उस बर्तन में डाला जाता है। गोला पानी में डूब जाता है। गणना कीजिए कि पानी का तल कितना ऊपर उठता है?
हल
दिया है, धातु के गोले का व्यास = 10.5 cm = \(\frac{21}{2}\) cm
धातु के गोले की त्रिज्या (R) = \(\frac{21}{4}\) cm
धातु के गोले का आयतन = \(\frac{4}{3} \pi R^{3}=\frac{4}{3} \pi\left(\frac{21}{4}\right)^{3}\)
दिया है, बेलनाकार बर्तन की त्रिज्य (r) = \(\frac{21}{2}\) cm
माना गोला डालने पर बर्तन में पानी का तल h cm ऊपर उठेगा।
बेलनाकार बर्तन में ऊपर उठे पानी का आयतन = गोले का आयतन

अत: गोले को डुबाने पर \(\frac{7}{4}\) cm पानी की सतह ऊपर उठेगी।
प्रश्न 13.
एक ही वृत्तीय आधार पर समान ऊँचाई के शंकु, अर्द्धगोला और बेलन के आयतन के अनुपात ज्ञात कीजिए।
हल
माना समान वृत्तीय आधार की त्रिज्या = r
अर्द्धगोले की ऊँचाई (h) = r
शंकु की ऊँचाई (h’) = r
बेलन की ऊँचाई (H) = r
शंकु का आयतन : अर्द्धगोले का आयतन : बेलन का आयतन

प्रश्न 14.
उस गोले की त्रिज्या ज्ञात कीजिए जो 6 cm, 8 cm और 10 cm की त्रिज्या के 3 गोलों को गलाकर बनाया जाता है।
हल
माना गोले की त्रिज्या = R
दिये गए तीन गोलों की त्रिज्या, r1 = 6 cm, r2 = 8 cm तथा r3 = 10 cm
गोला तीनों गोलों को गलाकर बनाया जाता है।
बड़े गोले का आयतन = तीनों छोटे गोलों का आयतन

![]()
प्रश्न 15.
एक खोखला गोला जिसका आन्तरिक और बाह्य व्यास 4.0 cm और 8.0 cm है, को पिघलाकर एक शंकु, जिसके आधार का व्यास 8.0 cm है, बनाया जाता है। शंक की ऊँचाई का वक्रपृष्ठ ज्ञात कीजिए।
हल
माना शंकु की ऊँचाई h है।
दिया है, खोखले गोले की आन्तरिक त्रिज्या (r1) = \(\frac{4}{2}\) = 2 cm
खोखले गोले की बाहरी त्रिज्या (r2) = \(\frac{8}{2}\) = 4 cm
शंकु के आधार की त्रिज्या (r) = \(\frac{8}{2}\) = 4 cm
चूँकि खोखले गोले को पिघलाकर शंकु बनाया जाता है।
खोखले गोले का आयतन = शंकु का आयतन


प्रश्न 16.
पानी से भरे एक अर्द्धगोलीय टैंक को एक पाइप द्वारा \(3 \frac{4}{7}\) ली प्रति सेकण्ड की दर से खाली किया जाता है। यह टैंक को आधा खाली करने में कितना समय लेगा? यदि टैंक का व्यास 3 m है। (π = \(\frac {22}{7}\) लीजिए)
हल
अर्द्धगोलीय टैंक का व्यास = 3 m
अर्द्धगोलीय टैंक की त्रिज्या (r) = \(\frac{3}{2}\) m

टैंक को खाली होने में 16.5 min का समय लगेगा।
दीर्घ उत्तरीय प्रश्न
प्रश्न 1.
एक ठोस लम्बवृत्तीय बेलन के दोनों सिरों में दो समान शंक्वाकार छेद बनाये गये हैं। बेलन की ऊँचाई 10 cm और आधार का व्यास 8 cm है।यदि छेद का व्यास 6 cm और गहराई 4 cm है तो शेष बचे ठोस का सम्पूर्ण पृष्ठ ज्ञात कीजिए।
हल

चित्र में शेष आकृति को प्रदर्शित किया गया है।
शंक्वाकार छेद का व्यास = 6 cm
शंक्वाकार छेद की त्रिज्या (r) = 3 cm
शंक्वाकार छेद की गहराई (h) = 4 cm
एक शंकु का आयतन = \(\frac{1}{3} \pi r^{2} h\)
= \(\frac{1}{3} \pi\) × 3 × 3 × 4
= 12π cm3
दोनों शंकुओं का आयतन = 2 × 12π = 24π cm3
शंकु की तिर्यक ऊँचाई (l) = \(\sqrt{4^{2}+3^{2}}\)
= \(\sqrt{16+9}\)
= \(\sqrt{25}\)
= 5 cm
एक शंकु का वक्रपृष्ठ = πrl = π × 3 × 5 = 15π cm2
दोनों शंकुओं का वक्रपृष्ठ = 2 × 15π cm2 = 30π cm2
दिया है, बेलन की ऊँचाई (H) = 10 cm
बेलन के आधार का व्यास = 8 cm
बेलन की त्रिज्या (R) = \(\frac{8}{2}\) = 4 cm
बेलन का आयतन = πR2H
= π × 4 × 4 × 10
= 160π cm3
शेष ठोस का आयतन = बेलन का आयतन – दोनों शंकुओं का आयतन
= (160π – 24π) cm3
= 136π cm3
शेष आकृति का सम्पूर्ण पृष्ठ = बेलन का वक्रपृष्ठ + दोनों शंकुओं का वक्रपृष्ठ + सिरों के छल्लों का क्षेत्रफल
= 2πRH + 2πrl + 2π(R2 – r2)
= 2 × π × 4 × 10 + 2 × π × 3 × 5 + 2π(42 – 32)
= 80π + 30π + 2π(16 – 9)
= 124π cm2
अत: शेष आकृति का सम्पूर्ण पृष्ठ 124π cm2 और आयतन 136π cm3 है।
![]()
प्रश्न 2.
एक केनवास के टेंट का शीर्ष ऊपर से शंक्वाकार तथा नीचे से लम्बवत्तीय बेलन के रूप का है। यदि आधार का व्यास 24 m और सम्पूर्ण ऊँचाई 15 m है तो टेंट में कितने m2 केनवास की आवश्यकता होगी, जबकि टेंट के बेलनाकार भाग की ऊँचाई 10 m है।
हल

आधार का व्यास = 24 m
त्रिज्या (r) = \(\frac{24}{2}\) = 12 m
शंक्वाकार भाग की ऊँचाई (h) = सम्पूर्ण ऊँचाई – बेलनाकार भाग की ऊँचाई
= 15 – 10
= 5 m
शंक्वाकार भाग की तिर्यक ऊँचाई

आवश्यक केनवास = टेंट का पृष्ठीय क्षेत्रफल = बेलनाकार भाग का पृष्ठीय क्षेत्रफल + शंक्वाकार भाग का पृष्ठीय क्षेत्रफल
= 2πrh’ + πrl
= πr(2h’ + l)
= π × 12(2 × 10 + 13)
= 12π × 33
= 396π m2
![]()
प्रश्न 3.
एक ठोस, बेलन के आकार का है तथा इसके दोनों सिरे अर्द्धगोलीय हैं। इस ठोस की कुल ऊँचाई 19 cm है तथा बेलन का व्यास 7 cm है। ठोस का आयतन तथा सम्पूर्ण पृष्ठ ज्ञात कीजिए। इस ठोस का भार ज्ञात कीजिए यदि 1 cm3 धातु का भार 4.5 g है। (π = \(\frac {22}{7}\))
हल
चित्रानुसार अर्द्धगोलीय भाग की त्रिज्या (r) = बेलनाकार भाग की त्रिज्या
= \(\frac{\text { व्यास }}{2}=\frac{7}{2}\) cm

बेलनाकार भाग की लम्बाई = (19 – 2 × \(\frac{7}{2}\)) cm = 12 cm
ठोस का आयतन = बेलनाकार भाग का आयतन + 2 × अर्द्धगोलीय भाग का आयतन

ठोस का सम्पूर्ण पृष्ठ = बेलन का वक्रपृष्ठ + 2 × अर्द्धगोले का वक्रपृष्ठ
= 2πrh + 2 × 2πr2
= 2πr(h + 2r)
= \(2 \times \frac{22}{7} \times \frac{7}{2}\left(12+2 \times \frac{7}{2}\right)\)
= 22 × 19
= 418 cm2
ठोस का भार = 4.5 × ठोस का आयतन
= 4.5 × 641.67
= 2887.5 g
अत: ठोस का आयतन 641.67 cm3 तथा सम्पूर्ण पृष्ठ 418 cm3 व भार 2887.5 g है।