Bihar Board Class 10 Maths Solutions Chapter 3 दो चरों वाले रैखिक समीकरण युग्म Ex 3.2

Bihar Board Class 10 Maths Solutions Chapter 3 दो चरों वाले रैखिक समीकरण युग्म Ex 3.2 Text Book Questions and Answers.

BSEB Bihar Board Class 10 Maths Solutions Chapter 3 दो चरों वाले रैखिक समीकरण युग्म Ex 3.2

Bihar Board Class 10 Maths दो चरों वाले रैखिक समीकरण युग्म Ex 3.2

प्रश्न 1.
निम्न समस्याओं में रैखिक समीकरणों के युग्म बनाइए और उनके ग्राफीय विधि से हल ज्ञात कीजिए-
(i) कक्षा X के 10 विद्यार्थियों ने एक गणित की पहेली प्रतियोगिता में भाग लिया। यदि लड़कियों की संख्या लड़कों की संख्या से 4 अधिक हो तो प्रतियोगिता में भाग लिए लड़कों और लड़कियों की संख्या ज्ञात कीजिए।
(ii) 5 पेन्सिलों तथा 7 कलमों का कुल मूल्य ₹ 50 है, जबकि 7 पेन्सिलों तथा 5 कलमों का कुल मूल्य ₹ 46 है। एक पेन्सिल का मूल्य तथा एक कलम का मूल्य ज्ञात कीजिए।
हल
(i) माना लड़कियों की संख्या x तथा लड़कों की संख्या y है।
कुल संख्या = (x + y)
परन्तु प्रश्नानुसार कुल विद्यार्थियों की संख्या 10 है।
x + y = 10
लड़कियों की संख्या x, लड़कों की संख्या y से 4 अधिक है।
x = y + 4 ⇒ x – y = 4
अतः दिए गए कथनों का बीजगणितीय रूप समीकरण युग्म
x + y = 10 …….. (1)
x – y = 4 …….. (2)
ज्यामितीय निरूपण:
क्रिया-विधि :
1. दिए हुए समीकरण युग्म का पहला समीकरण x + y = 10
2. माना x = 3, तब x का मान समीकरण x + y = 10 में रखने पर,
3 + y = 10 ⇒ y = 10 – 3 ⇒ y = 7
3. तब समीकरण x + y = 10 के आलेख पर एक बिन्दु A = (3, 7) है।
4. पुन: माना x = 8, तब x का मान समीकरण x + y = 10 में रखने पर,
8 + y = 10 ⇒ y = 10 – 8 ⇒ y = 2
5. तब समीकरण x + y = 10 के आलेख पर एक बिन्दु B = (8, 2) है।
6. ग्राफ पेपर पर बिन्दुओं A (3, 7) तथा B(8, 2) को आलेखित (plotting) कीजिए और दिए गए समीकरण का आलेख AB खींचिए।
7. दिए हुए समीकरण युग्म का दूसरा समीकरण x – y = 4
8. माना x = 2, तब x का मान समीकरण x – y = 4 में रखने पर,
2 – y = 4 ⇒ -y = 4 – 2 ⇒ y = -2
9. तब समीकरण x – y = 4 के आलेख पर एक बिन्दु C = (2, -2) है।
10. पुनः माना x = 4, तब x का मान समीकरण x – y = 4 में रखने पर,
4 – y = 4 ⇒ -y = 4 – 4 ⇒ -y = 0 ⇒ y = 0
11. तब समीकरण x – y = 4 के आलेख पर एक बिन्दु D = (4, 0) है।
12. ग्राफ पेपर पर बिन्दु C = (2, -2) तथा D = (4, 0) को आलेखित कर दिए हुए समीकरण का आलेख CD खींचिए।
13. ऋजु रेखाओं AB तथा CD का प्रतिच्छेद बिन्दु P (h, K) ज्ञात कीजिए। बिन्दु P के निर्देशांक P(7, 3) आलेख से ज्ञात कीजिए।
14. दिए हुए समीकरण-युग्म का एक अद्वितीय सार्व हल x = 7, y = 3 है।
अत: लड़कियों की संख्या = 7 तथा लड़कों की संख्या = 3
Bihar Board Class 10 Maths Solutions Chapter 3 दो चरों वाले रैखिक समीकरण युग्म Ex 3.2 Q1

(ii) मान लीजिए कि एक पेन्सिल का मूल्य ₹ x है तथा 1 कलम का मूल्य ₹ y है।
5 पेन्सिलों और 7 कलमों का मूल्य = ₹ 50
5x + 7y = 50
इसी प्रकार, 7 पेन्सिलों और 5 कलमों का मूल्य = ₹ 46
7x + 5y = 46
अत: दिए गए कथनों का बीजगणितीय रूप समीकरण युग्म
5x + 7y = 50 ….. (1)
7x + 5y = 46 …… (2)
ज्यामितीय निरूपण :
क्रिया-विधि :
1. दिए हुए समीकरण युग्म का पहला समीकरण 5x + 7y = 50
2. माना x = 10, तब x का मान समीकरण 5x + 7y = 50 में रखने पर,
5 × 10 + 7y = 50
⇒ 50 + 7y = 50
⇒ 7y = 50 – 50
⇒ 7y = 0
⇒ y = 0
3. तब समीकरण 5x + 7y = 50 के आलेख पर एक बिन्दु A = (10, 0) है।
4. पुन: माना x = -4, तब x का मान समीकरण 5x + 7y = 50 में रखने पर,
(5 × -4) + 7y = 50
⇒ -20 + 7y = 50
⇒ 7y = 50 + 20
⇒ 7y = 70
⇒ y = 10
5. तब समीकरण 5x + 7y = 50 के आलेख पर एक बिन्दु B = (-4, 10) है।
6. ग्राफ पेपर पर बिन्दुओं A = (10, 0) तथा B = (-4, 10) को आलेखित (plotting) कीजिए और दिए गए समीकरण का आलेख AB खींचिए।
7. दिए हुए समीकरण युग्म का दूसरा समीकरण 7x + 5y = 46
8. माना x = 8, तब x का मान समीकरण 7x + 5y = 46 में रखने पर,
7 × 8 + 5y = 46
⇒ 56 + 5y = 46
⇒ 5y = -10
⇒ y = -2
9. तब समीकरण 7x + 5y = 46 के आलेख पर एक बिन्दु C = (8, -2) है।
10. पुनः माना x = -2, तब x का मान समीकरण 7x + 5y = 46 में रखने पर,
(7 × -2) + 5y = 46
⇒ -14 + 5y = 46
⇒ 5y = 46 + 14
⇒ 5y = 60
⇒ y = 12
11. तब समीकरण 7x + 5y = 46 के आलेख पर एक बिन्दु D = (-2, 12) है।
12. ग्राफ पेपर पर बिन्दु C = (8, -2) तथा D = (-2, 12) को आलेखित कर दिए हुए समीकरण का आलेख CD खींचिए।
13. ऋजु रेखाओं AB तथा CD का प्रतिच्छेद बिन्दु P (h, k) ज्ञात कीजिए। बिन्दु P के निर्देशांक आलेख से ज्ञात कीजिए। P(3, 5)
Bihar Board Class 10 Maths Solutions Chapter 3 दो चरों वाले रैखिक समीकरण युग्म Ex 3.2 Q1.1
14. दिए हुए समीकरण युग्म का एक अद्वितीय सार्व हल x = 3, y = 5 है।
अतः एक पेन्सिल का मूल्य ₹ 3 और एक कलम का मूल्य ₹ 5 है।

Bihar Board Class 10 Maths Solutions Chapter 3 दो चरों वाले रैखिक समीकरण युग्म Ex 3.2

प्रश्न 2.
अनुपातों \(\frac{a_{1}}{a_{2}}\), \(\frac{b_{1}}{b_{2}}\) और \(\frac{c_{1}}{c_{2}}\) की तुलना कर ज्ञात कीजिए कि निम्न समीकरण युग्म द्वारा निरूपित रेखाएँ एक बिन्दु पर प्रतिच्छेद करती हैं, समान्तर अथवा सम्पाती है।
(i) 5x – 4y + 8 = 0
7x + 6y – 9 = 0
(ii) 9x + 3y + 12 = 0
18x + 6y + 24 = 0
(iii) 6x – 3y + 10 = 0
2x – y + 9 = 0
हल
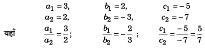
(i) दिया गया रैखिक समीकरण युग्म
5x – 4y + 8 = 0 ……..(1)
7x + 6y – 9 = 0 ……..(2)
उक्त समीकरण युग्म की तुलना व्यापक रैखिक समीकरण युग्म a1x + b1y + c1 = 0 तथा a2x + b2y + c2 = 0 से करने पर,
Bihar Board Class 10 Maths Solutions Chapter 3 दो चरों वाले रैखिक समीकरण युग्म Ex 3.2 Q2
\(\frac{a_{1}}{a_{2}} \neq \frac{b_{1}}{b_{2}}\); अत: समीकरण युग्म द्वारा निरूपित रेखाएँ एक बिन्दु पर प्रतिच्छेद करती हैं।

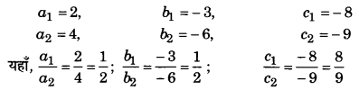
(ii) दिया गया रैखिक समीकरण युग्म
9x + 3y + 12 = 0 ……(1)
18x + 6y + 24 = 0 ……(2)
उक्त समीकरण युग्म की तुलना व्यापक रैखिक समीकरण युग्म a1x + b1y + c1 = 0 तथा a2x + b2y + c2 = 0 से करने पर,
Bihar Board Class 10 Maths Solutions Chapter 3 दो चरों वाले रैखिक समीकरण युग्म Ex 3.2 Q2.1
\(\frac{a_{1}}{a_{2}}=\frac{b_{1}}{b_{2}}=\frac{c_{1}}{c_{2}}\); अत: समीकरण युग्म द्वारा निरूपित रेखाएँ सम्पाती हैं।

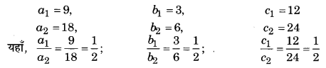
(iii) दिया गया रैखिक समीकरण युग्म
6x – 3y + 10 = 0 ……(1)
2x – y + 9 = 0 …….(2)
उक्त समीकरण युग्म की तुलना व्यापक रैखिक समीकरण युग्म a1x + b1y + c1 = 0 तथा a2x + b2y + c2 = 0 से करने पर,
Bihar Board Class 10 Maths Solutions Chapter 3 दो चरों वाले रैखिक समीकरण युग्म Ex 3.2 Q2.2
अत: समीकरण युग्म द्वारा निरूपित ऋजु रेखाएँ समान्तर हैं।

Bihar Board Class 10 Maths Solutions Chapter 3 दो चरों वाले रैखिक समीकरण युग्म Ex 3.2

प्रश्न 3.
अनुपातों \(\frac{a_{1}}{a_{2}}\), \(\frac{b_{1}}{b_{2}}\) और \(\frac{c_{1}}{c_{2}}\) की तुलना कर ज्ञात कीजिए कि निम्न रैखिक समीकरणों के युग्म संगत हैं या असंगत-
(i) 3x + 2y = 5; 2x – 3y = 7
(ii) 2x – 3y = 8; 4x – 6y = 9
(iii) \(\frac{3}{2}\)x + \(\frac{5}{3}\)y = 7; 9x – 10y = 14
(iv) 5x – 3y = 11; -10x + 6y = -22
(v) \(\frac{4}{3}\) x + 2y = 8; 2x + 3y = 12
हल
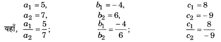
(i) दिया गया समीकरण युग्म
3x + 2y = 5 या 3x + 2y – 5 = 0 ……(1)
2x – 3y = 7 या 2x – 3y – 7 = 0 ……(2)
समीकरण युग्म की तुलना रैखिक समीकरण युग्म a1x + b1y + c1 = 0 तथा a2x + b2y + c2 = 0 से करने पर,
Bihar Board Class 10 Maths Solutions Chapter 3 दो चरों वाले रैखिक समीकरण युग्म Ex 3.2 Q3
\(\frac{a_{1}}{a_{2}} \neq \frac{b_{1}}{b_{2}}\); रैखिक समीकरण युग्म का एक अद्वितीय हल है
अत: दिया हुआ रैखिक समीकरणों का युग्म संगत है।

(ii) दिया गया समीकरण युग्म
2x – 3y = 8 या 2x – 3y – 8 = 0 ……. (1)
4x – 6y = 9 या 4x – 6y – 9 = 0 …….. (2)
समीकरण युग्म की तुलना रैखिक समीकरण युग्म a1x + b1y + c1 = 0 तथा a2x + b2y + c2 = 0 से करने पर,
Bihar Board Class 10 Maths Solutions Chapter 3 दो चरों वाले रैखिक समीकरण युग्म Ex 3.2 Q3.1
\(\frac{a_{1}}{a_{2}}=\frac{b_{1}}{b_{2}} \neq \frac{c_{1}}{c_{2}}\); दिए गए समीकरण युग्म का कोई हल नहीं है।
अत: दिया गया रैखिक समीकरणों का युग्म असंगत है।

(iii) दिया गया समीकरण युग्म
\(\frac{3}{2} x+\frac{5}{3} y=7 \quad \Rightarrow \quad \frac{3}{2} x+\frac{5}{3} y-7=0\) …… (1)
9x – 10y = 14 ⇒ 9x – 10y – 14 = 0 ……..(2)
समीकरण युग्म की तुलना रैखिक समीकरण युग्म a1x + b1y + c1 = 0 तथा a2x + b2y + c2 = 0 से करने पर,
a1 = \(\frac{3}{2}\), b1 = \(\frac{5}{3}\), c1 = -7
a2 = 9, b2 = -10, c2 = -14
Bihar Board Class 10 Maths Solutions Chapter 3 दो चरों वाले रैखिक समीकरण युग्म Ex 3.2 Q3.2
\(\frac{a_{1}}{a_{2}} \neq \frac{b_{1}}{b_{2}}\); समीकरण युग्म का एक अद्वितीय हल है।
अत: दिया गया रैखिक समीकरणों का युग्म संगत है।

(iv) दिया गया समीकरण युग्म
5x – 3y = 11 ⇒ 5x – 3y – 11 = 0 ……(1)
-10x + 6y = -22 ⇒ -10x + 6y + 22 = 0 …..(2)
समीकरण युग्म की तुलना रैखिक समीकरण युग्म a1x + b1y + c1 = 0 तथा a2x + b2y + c2 = 0 से करने पर,
Bihar Board Class 10 Maths Solutions Chapter 3 दो चरों वाले रैखिक समीकरण युग्म Ex 3.2 Q3.3
समीकरण युग्म सम्पाती रेखाएँ निरूपित करेगा और समीकरण युग्म के अपरिमित रूप से अनेक हल होंगे।
अतः दिया गया समीकरणों का युग्म संगत है।

(v) दिया हुआ समीकरण युग्म :
\(\frac{4}{3}\) x + 2y = 8 ⇒ \(\frac{4}{3}\)x + 2y – 8 = 0 ……. (1)
2x + 3y = 12 ⇒ 2x + 3y – 12 = 0 …(2)
समीकरण युग्म की तुलना रैखिक समीकरण युग्म a1x + b1y + c1 = 0 तथा a2x + b2y + c2 = 0 से करने पर,
Bihar Board Class 10 Maths Solutions Chapter 3 दो चरों वाले रैखिक समीकरण युग्म Ex 3.2 Q3.4
अत: दिया गया समीकरणों का युग्म संगत है।

Bihar Board Class 10 Maths Solutions Chapter 3 दो चरों वाले रैखिक समीकरण युग्म Ex 3.2

प्रश्न 4.
निम्न रैखिक समीकरणों के युग्मों में से कौन-से युग्म संगत/असंगत हैं, यदि संगत हैं तो ग्राफीय विधि से हल ज्ञात कीजिए।
(i) x + y = 5, 2x + 2y = 10
(ii) x – y = 8, 3x – 3y = 16
(iii) 2x + y – 6 = 0, 4x – 2y – 4 = 0
(iv) 2x – 2y – 2 = 0, 4x – 4y – 5 = 0
हल
(i) दिया गया रैखिक समीकरण युग्म
x + y = 5 ⇒ x + y – 5 = 0 ……. (1)
2x + 2y = 10 ⇒ 2x + 2y – 10 = 0 ……(2)
उक्त समीकरण युग्म की तुलना रैखिक समीकरण युग्म a1x + b1y + c1 = 0 तथा a2x + b2y + c2 = 0 से करने पर,
Bihar Board Class 10 Maths Solutions Chapter 3 दो चरों वाले रैखिक समीकरण युग्म Ex 3.2 Q4
अतः समीकरण युग्म संगत है।
समीकरण युग्म द्वारा निरूपित रेखाएँ सम्पाती होंगी क्योंकि दोनों समीकरण एक ही हैं।
अतः रेखा x + y = 5 या x = 5 – y समीकरण युग्म का हल है
जबकि y का मान एक वास्तविक संख्या है।
Bihar Board Class 10 Maths Solutions Chapter 3 दो चरों वाले रैखिक समीकरण युग्म Ex 3.2 Q4.1

(ii) दिया गया रैखिक समीकरण युग्म
x – y = 8 ⇒ x – y – 8 = 0 …(1)
3x – 3y = 16 ⇒ 3x – 3y – 16 = 0 …… (2)
समीकरण युग्म की तुलना रैखिक समीकरण युग्म a1x + b1y + c1 = 0 तथा a2x + b2y + c2 = 0 से करने पर,
a1 = 1, b1 = -1, c1 = -8
a2 = 3, b2 = -3, c2 = -16
Bihar Board Class 10 Maths Solutions Chapter 3 दो चरों वाले रैखिक समीकरण युग्म Ex 3.2 Q4.2
अतः दिया गया समीकरण युग्म असंगत है।

(iii) दिया गया रैखिक समीकरण युग्म
2x + y – 6 = 0 ….(1)
4x – 2y – 4 = 0 …..(2)
उक्त समीकरण युग्म की तुलना रैखिक समीकरण युग्म a1x + b1y + c1 = 0 तथा a2x + b2y + c2 = 0 से करने पर,
Bihar Board Class 10 Maths Solutions Chapter 3 दो चरों वाले रैखिक समीकरण युग्म Ex 3.2 Q4.3
अत: समीकरण युग्म संगत है और उसका एक अद्वितीय हल होगा।
क्रिया-विधि :
1. दिए हुए समीकरण युग्म का पहला समीकरण 2x + y – 6 = 0
2. माना x = 3, तब x का मान समीकरण 2x + y – 6 = 0 में रखने पर,
2 × 3 + y – 6 = 0
⇒ 6 + y – 6 = 0
⇒ y = 0
3. तब समीकरण 2x + y – 6 = 0 के आलेख पर एक बिन्दु A = (3, 0) है।
4. पुन: माना x = 0, तब x का मान समीकरण 2x + y – 6 = 0 में रखने पर,
2 × 0 + y – 6 = 0
⇒ 0 + y – 6 = 0
⇒ y = 6
5. तब समीकरण 2x + y – 6 = 0 के आलेख पर एक बिन्दु B = (0, 6) है।
6. ग्राफ पेपर पर बिन्दुओं A = (3, 0) तथा B = (0, 6) को आलेखित (plotting) कीजिए और दिए गए समीकरण का आलेख AB खींचिए।
7. दिए हुए समीकरण युग्म का दूसरा समीकरण 4x – 2y – 4 = 0
8. माना x = 1, तब x का मान समीकरण 4x – 2y – 4 = 0 में रखने पर,
4 × 1 – 2y – 4 = 0
⇒ 4 – 2y – 4 = 0
⇒ 0 – 2y = 0
⇒ y = 0
9. तब समीकरण 4x – 2y – 4 = 0 के आलेख पर एक बिन्दु C = (1, 0) है।
10. पुन: माना x = 0, तब x का मान समीकरण 4x – 2y – 4 = 0 में रखने पर,
4 × 0 – 2y – 4 = 0
⇒ 0 – 2y – 4 = 0
⇒ -2y = 4
⇒ y = -2
11. तब समीकरण 4x – 2y – 4 = 0 के आलेख पर एक बिन्दु D = (0, -2) है।
12. ग्राफ पेपर पर बिन्दु C = (1, 0) तथा D = (0, -2) को आलेखित कर दिए हुए समीकरण का आलेख CD खींचिए।
Bihar Board Class 10 Maths Solutions Chapter 3 दो चरों वाले रैखिक समीकरण युग्म Ex 3.2 Q4.4
13. ऋजु रेखाओं AB तथा CD का प्रतिच्छेद बिन्दु P(h, k) ज्ञात कीजिए। बिन्दु P के निर्देशांक P (2, 2) आलेख से ज्ञात कीजिए।
14. दिए हुए समीकरण-युग्म का एक अद्वितीय सार्व हल x = 2, y = 2 है।

(iv) दिया गया रैखिक समीकरण युग्म
2x – 2y – 2 = 0 …… (1)
4x – 4y – 5 = 0 ……(2)
समीकरण युग्म की तुलना रैखिक समीकरण युग्म a1x + b1y + c1 = 0 तथा a2x + b2y + c2 = 0 से करने पर,
Bihar Board Class 10 Maths Solutions Chapter 3 दो चरों वाले रैखिक समीकरण युग्म Ex 3.2 Q4.5
अत: दिया गया समीकरणों का युग्म असंगत है।

Bihar Board Class 10 Maths Solutions Chapter 3 दो चरों वाले रैखिक समीकरण युग्म Ex 3.2

प्रश्न 5.
एक आयताकार बाग, जिसकी लम्बाई, चौड़ाई से 4 मीटर अधिक है, का अर्द्धपरिमाप 36 मीटर है। बाग की विमाएँ ज्ञात कीजिए।
हल
माना आयताकार बाग की लम्बाई x मीटर तथा चौड़ाई y मीटर है।
प्रश्नानुसार, लम्बाई x, चौड़ाई y से 4 मीटर अधिक है।
x = y + 4 ⇒ x – y = 4
आयताकार बाग की परिमाप = 2(लम्बाई + चौड़ाई) = 2(x + y) मीटर
आयताकार बाग की अर्द्धपरिमाप = \(\frac {1}{2}\) × परिमाप
= \(\frac {1}{2}\) × 2(x + y)
= (x + y) मीटर
दिया है कि अर्द्धपरिमाप 36 मीटर है।
x + y = 36
अतः रैखिक समीकरण युग्म
x – y = 4 …….. (1)
x + y = 36 ……(2)
ज्यामितीय निरूपण :
क्रिया-विधि :
1. दिए हुए समीकरण युग्म का पहला समीकरण : x – y = 4
2. माना x = 0, तब x का मान समीकरण x – y = 4 में रखने पर,
0 – y = 4 ⇒ y = -4
3. तब समीकरण x – y = 4 के आलेख पर एक बिन्दु A = (0, -4) है।
4. पुनः माना x = 4, तब x का मान समीकरण x – y = 4 में रखने पर,
4 – y = 4
⇒ -y = 4 – 4
⇒ -y = 0
⇒ y = 0
5. तब समीकरण x – y = 4 के आलेख पर एक बिन्दु B = (4, 0) है।
6. ग्राफ पेपर पर बिन्दुओं A (0, -4) तथा B (4, 0) को आलेखित (plotting) कीजिए और दिए गए समीकरण का आलेख AB खींचिए।
7. दिए हुए समीकरण युग्म का दूसरा समीकरण x + y = 36
8. माना x = 10, तब x का मान समीकरण x + y = 36 में रखने पर,
10 + y = 36
⇒ y = 36 – 10
⇒ y = 26
9. तब समीकरण x + y = 36 के आलेख पर एक बिन्दु C = (10, 26) है।
10. पुनः माना x = 30, तब x का मान समीकरण x + y = 36 में रखने पर,
30 + y = 36
⇒ y = 36 – 30
⇒ y = 6
11. तब समीकरण x + y = 36 के आलेख पर एक बिन्दु D = (30, 6) है।
12. ग्राफ पेपर पर बिन्दु C = (10, 26) तथा D = (30, 6) को आलेखित कर दिए हुए समीकरण का आलेख CD खींचिए।
13. ऋजु रेखाओं AB तथा CD का प्रतिच्छेद बिन्दु P (h, k) ज्ञात कीजिए। बिन्दु P के निर्देशांक आलेख. से ज्ञात कीजिए। P(20, 16)
14. दिए हुए समीकरण युग्म का एक अद्वितीय सार्व हल x = 20, y = 16 है।
अत: आयताकार बाग की लम्बाई 20 मीटर तथा चौड़ाई 16 मीटर है।
Bihar Board Class 10 Maths Solutions Chapter 3 दो चरों वाले रैखिक समीकरण युग्म Ex 3.2 Q5

Bihar Board Class 10 Maths Solutions Chapter 3 दो चरों वाले रैखिक समीकरण युग्म Ex 3.2

प्रश्न 6.
एक रैखिक समीकरण 2x + 3y – 8 = 0 दी गई है। दो चरों में एक ऐसी और रैखिक समीकरण लिखिए ताकि प्राप्त युग्म का ज्यामितीय निरूपण जैसा कि
(i) प्रतिच्छेद करती रेखाएँ हों।
(ii) समान्तर रेखाएँ हों।
(iii) सम्पाती रेखाएँ हों।
हल
दिए गए रैखिक समीकरण 2x + 3y – 8 = 0 की तुलना समीकरण युग्म a1x + b1y + c1 = 0 से करने पर,
तब, a1 = 2, b1 = 3, c1 = -8
माना अभीष्ट रैखिक समीकरण a2x + b2y + c2 = 0 है।
(i) जब समीकरण युग्म, प्रतिच्छेद करती हुई रेखाएँ निरूपित करता है तो
\(\frac{a_{1}}{a_{2}} \neq \frac{b_{1}}{b_{2}} \quad \Rightarrow \quad \frac{2}{a_{2}} \neq \frac{3}{b_{2}}\)
अर्थात् a2, दो अथवा शून्य नहीं होना चाहिए और b2, तीन अथवा शून्य नहीं होना चाहिए।
तब, अभीष्ट रेखा a2x + b2y + c2 = 0
जबकि a2 ≠ 2 तथा b2 ≠ 3 और (a1 ≠ 0, b1 ≠ 0) और a2, b2, c2 वास्तविक संख्याएँ हैं।

(ii) जब समीकरण युग्म समान्तर रेखाएँ निरूपित करता है तो
Bihar Board Class 10 Maths Solutions Chapter 3 दो चरों वाले रैखिक समीकरण युग्म Ex 3.2 Q6
Bihar Board Class 10 Maths Solutions Chapter 3 दो चरों वाले रैखिक समीकरण युग्म Ex 3.2 Q6.1
अत: अभीष्ट समीकरण 2kx + 3ky – nk = 0 जबकि n ≠ -8 जहाँ k एक आनुपातिक स्थिरांक है।

(iii) जब समीकरण युग्म सम्पाती रेखाएँ निरूपित करता है तो
Bihar Board Class 10 Maths Solutions Chapter 3 दो चरों वाले रैखिक समीकरण युग्म Ex 3.2 Q6.2
⇒ a2 = 2k, b2 = 3k और c2 = -8k
अतः अभीष्ट समीकरण 2kx + 3ky – 8k = 0 जहाँ k एक आनुपातिक स्थिरांक है।

Bihar Board Class 10 Maths Solutions Chapter 3 दो चरों वाले रैखिक समीकरण युग्म Ex 3.2

प्रश्न 7.
समीकरणों x – y + 1 = 0 और 3x + 2y – 12 = 0 का ग्राफ खींचिए। X-अक्ष और इन रेखाओं से बने त्रिभुज के शीर्षों के निर्देशांक ज्ञात कीजिए और त्रिभुजाकार पटल को छायांकित कीजिए।
हल
दिया गया रैखिक समीकरण युग्म
x – y + 1 = 0 ……. (1)
3x + 2y – 12 = 0 …….. (2)
समीकरण x – y + 1 = 0 के आलेख के लिए
1. माना x = 0, तब x का मान समीकरण x – y + 1 = 0 में रखने पर,
0 – y + 1 = 0 ⇒ y = 1
2. तब समीकरण x – y + 1 = 0 के आलेख पर एक बिन्दु A = (0, 1) है।
3. पुन: माना x = 4, तब x का मान समीकरण x – y + 1 = 0 में रखने पर,
4 – y + 1 = 0
⇒ 5 – y = 0
⇒ y = 5
4. तब समीकरण x – y + 1 = 0 के आलेख पर एक बिन्दु B = (4, 5) है।
5. ग्राफ पेपर पर बिन्दुओं A (0, 1) तथा B(4, 5) को आलेखित (plotting) कीजिए और दिए गए समीकरण का आलेख AB खींचिए।

Bihar Board Class 10 Maths Solutions Chapter 3 दो चरों वाले रैखिक समीकरण युग्म Ex 3.2

समीकरण 3x + 2y – 12 = 0 के आलेख के लिए
1. माना x = 0, तब x का मान समीकरण 3x + 2y – 12 = 0 में रखने पर,
3 × 0 + 2y – 12 = 0
⇒ 0 + 2y – 12 = 0
⇒ 2y – 12 = 0
⇒ 2y = 12
⇒ y = 6
2. तब समीकरण 3x + 2y – 12 = 0 के आलेख पर एक बिन्दु C = (0, 6) है।
3. पुनः माना x = 6, तब x का मान समीकरण 3x + 2y – 12 = 0 में रखने पर,
3 × 6 + 2y – 12 = 0
⇒ 18 + 2y – 12 = 0
⇒ 6 + 2y = 0
⇒ 2y = -6
⇒ y = -3
4. तब समीकरण 3x + 2y – 12 = 0 के आलेख पर एक बिन्दु D = (6, -3) है।
5. ग्राफ पेपर पर बिन्दु C = (0, 6) तथा D = (6, -3) को आलेखित कर दिए हुए समीकरण का आलेख CD खींचिए।
ऋजु रेखाओं AB तथा CD का प्रतिच्छेद बिन्दु P (h, k) ज्ञात कीजिए। बिन्दु P के निर्देशांक आलेख से ज्ञात कीजिए। P (2, 3)
X-अक्ष से रेखा x – y + 1 = 0 का प्रतिच्छेद बिन्दु Q = (-1, 0)
X-अक्ष से रेखा 3x + 2y – 12 = 0 का प्रतिच्छेद बिन्दु R = (4, 0)
(ग्राफ से पढ़कर)
Bihar Board Class 10 Maths Solutions Chapter 3 दो चरों वाले रैखिक समीकरण युग्म Ex 3.2 Q7
दी गई रेखाओं के समीकरणों और X-अक्ष के प्रतिच्छेदन से ∆PQR बनता है।
∆PQR के निर्देशांक क्रमशः P = (2, 3), Q = (-1, 0) तथा R = (4, 0) हैं।