Bihar Board Class 10 Maths Solutions Chapter 6 त्रिभुज Ex 6.3 Text Book Questions and Answers.
BSEB Bihar Board Class 10 Maths Solutions Chapter 6 त्रिभुज Ex 6.3
Bihar Board Class 10 Maths त्रिभुज Ex 6.3
प्रश्न 1.
बताइए कि आकृति में दिए त्रिभुजों के युग्मों में से कौन-कौन से युग्म समरूप हैं। उस समरूपता कसौटी को लिखिए जिसका प्रयोग आपने उत्तर देने में किया है तथा साथ ही समरूप त्रिभुजों को सांकेतिक रूप में व्यक्त कीजिए।

हल
(i) आकृति में दिए गए दोनों त्रिभुजों में,
∠A = 60°, ∠B = 80°, ∠C = 40° तथा ∠P = 60°, ∠Q = 80°, ∠R = 40°
∠A = ∠P, ∠B = ∠Q, ∠C = ∠R
अतः दो त्रिभुजों की समरूपता की कसौटी AAA से,
∆ABC ~ ∆PQR
(ii) आकृति में दिए गए दोनों त्रिभुजों में,
AB = 2, BC = 2.5, CA = 3.0
तथा PQ = 6, QR = 4, RP = 5

अत: दो त्रिभुजों की समरूपता की कसौटी SSS से,
∆ABC ~ ∆QRP
![]()
(iii) निम्न आकृति में दिए गए दोनों त्रिभुजों में,
LM = 2.7, MP = 2, PL = 3
तथा DE = 4, EF = 5, FD = 6

या दोनों त्रिभुजों की भुजाएँ समानुपात में नहीं हैं।
अतः दोनों त्रिभुज समरूप नहीं हैं।
(iv) दिए गए दोनों त्रिभुजों में,
∠M = 70°, NM = 2.5, ML = 5 तथा ∠Q = 70°, PQ = 6, QR = 10

अतः दोनों त्रिभुज समरूप नहीं हैं।
![]()
(v) दिए गए दोनों त्रिभुजों में,
∠A = 80°, AB = 2.5, AC = अनिश्चित तथा ∠F = 80°, FD = 5, FE = 6
स्पष्ट है कि ∠A व ∠F को अन्तर्विष्ट करने वाली भुजाएँ AB और FD तथा AC और FE आनुपातिक नहीं हैं।
अतः दोनों त्रिभुज समरूप नहीं हैं।
(vi) ∆DEF में, ∠D = 70°, ∠E = 80°
∴ ∠F = 180° – (70° + 80°) = 30°
और ∆PQR में ∠Q = 80°, ∠R = 30°
∴ ∠P = 180° – (80° + 30°) = 70°
तब, ∆DEF और ∆PQR की तुलना करने पर,
∠D = ∠P, ∠E = ∠Q, ∠F = ∠R,
अत: दो त्रिभुजों की समरूपता की उप-कसौटी AA से,
∆DEF ~ ∆PQR
![]()
प्रश्न 2.
आकृति में, ∆ODC ~ ∆OBA, ∠BOC = 125° और ∠CDO = 70° है। ∠DOC, ∠DCO और ∠OAB ज्ञात कीजिए।

हल
दी गई आकृति में, DB एक ऋजु रेखा है और उससे OC, बिन्दु O पर मिलती है जिससे ∠DOC और ∠BOC एक रैखिक युग्म के कोण हैं।
∠DOC + ∠BOC = 180°
∠DOC + 125° = 180° (∵ ∠BOC = 125°)
∠DOC = 180° – 125° = 55°
तब, ∆DOC में,
∠CDO + ∠DOC + ∠DCO = 180°
70° + 55° + ∠DCO = 180° (∵ ∠CDO = 70°)
∠DCO = 180° – (70° + 55°)
∠DCO = 55°
∵ ∆ODC ~ ∆OBA
∴ ∠DCO = ∠OAB
∠OAB = 55° (∵ ∠DCO = 55°)
अत: ∠DOC = 55°, ∠DCO = 55°, ∠OAB = 55°
![]()
प्रश्न 3.
समलम्ब ABCD जिसमें AB || DC है, के विकर्ण AC और BD परस्पर O पर प्रतिच्छेद करते हैं। दो त्रिभुजों की समरूपता कसौटी का प्रयोग करते हुए, दर्शाइए कि \(\frac{O A}{O C}=\frac{O B}{O D}\) है।

हल
दिया है : ABCD एक समलम्ब है जिसमें AB || CD तथा उसके विकर्ण AC और BD बिन्दु O पर काटते हैं।
सिद्ध करना है : \(\frac{O A}{O C}=\frac{O B}{O D}\)
उपपत्ति : AB || CD और AC तिर्यक रेखा है।
∠OAB = ∠OCD (एकान्तर कोण युग्म)
और ∠AOB = ∠COD (शीर्षाभिमुख कोण)
अब, ∆AOB और ∆OCD में,
∠AOB = ∠COD
तथा ∠OAB = ∠OCD (ऊपर सिद्ध किया)
∴ त्रिभुजों की समरूपता के उप-गुणधर्म AA से,
∆AOB ~ ∆OCD
\(\frac{O A}{O C}=\frac{O B}{O D}\) (भुजाओं की आनुपातिकता से)
इति सिद्धम्
प्रश्न 4.
दी गई आकृति में, \(\frac{Q R}{Q S}=\frac{Q T}{P R}\) तथा ∠1 = ∠2 है। दर्शाइए कि ∆PQS ~ ∆TQR है।

हल
दिया है : दी गई आकृति में,
\(\frac{Q R}{Q S}=\frac{Q T}{P R}\) तथा ∠1 = ∠2 है।
सिद्ध करना है : ∆PQS ~ ∆TQR
उपपत्ति : ∆PQR में,
∠1 = ∠2
∠PQR = ∠PRQ
भुजा QP = भुजा PR …….(1)
अब, \(\frac{Q R}{Q S}=\frac{Q T}{P R}\) (दिया है)
\(\frac{Q R}{Q S}=\frac{Q T}{Q P}\) [समीकरण (1) से]
तब, ∆PQS और ∆TQR में,
∠Q उभयनिष्ठ है और इस कोण को अंतर्विष्ट करने वाली भुजाएँ (QP व QT) तथा (QS व QR) आनुपातिक हैं।
अत: दो त्रिभुजों की समरूपता की कसौटी SAS से,
∆PQS ~ ∆TQR
इति सिद्धम्
![]()
प्रश्न 5.
∆PQR की भुजाओं PR और QR पर क्रमशः बिन्दु S और T इस प्रकार स्थित हैं कि ∠P = ∠RTS है। दर्शाइए कि ∆RPQ ~ ∆RTS है।

हल
दिया है : दी गई आकृति में, ∠P = ∠RTS
सिद्ध करना है : ∆RPQ ~ ∆RTS
उपपत्ति : ∆RPQ तथा ∆RTS में,
∠P = ∠RTS (दिया है)
तथा ∠R = ∠SRT
तब, त्रिभुजों की समरूपता के उप-गुणधर्म AA से,
∆RPQ ~ ∆RTS
इति सिद्धम्।
प्रश्न 6.
दी गई आकृति में, यदि ∆ABE ≅ ∆ACD है तो दर्शाइए कि ∆ADE ~ ∆ABC है।

हल
दिया है : दी गई आकृति में, ∆ABE और ∆ACD सर्वांगसम हैं।
सिद्ध करना है : ∆ADE ~ ∆ABC
उपपत्ति : ∆ABE ≅ ∆ACD (दिया है)
भुजा AB = भुजा AC
और भुजा AE = भुजा AD
अब, ∆ADE और ∆ABC की तुलना करने पर,
AB = AC और AE = AD
\(\frac{A D}{A B}=\frac{A E}{A C}\) अर्थात् ∆ADE और ∆ABC की भुजाएँ (AD व AB) तथा (AE व AC) आनुपातिक हैं और ये दोनों ही भुजा-युग्म प्रत्येक त्रिभुज के लिए ∠A को अन्तर्विष्ट करते हैं।
दो त्रिभुजों की समरूपता के गुणधर्म (कसौटी) SAS से,
∆ADE ~ ∆ABC
इति सिद्धम्
![]()
प्रश्न 7.
दी गई आकृति में, ∆ABC के शीर्ष लम्ब AD और CE परस्पर बिन्दु P पर प्रतिच्छेद करते हैं। दर्शाइए कि-
(i) ∆AEP ~ ∆CDP
(ii) ∆ABD ~ ∆CBE
(iii) ∆AEP ~ ∆ADB
(iv) ∆PDC ~ ∆BEC

हल
दिया है : ∆ABC में AD और CE शीर्षलम्ब हैं जो एक-दूसरे को बिन्दु P पर काटते हैं।
सिद्ध करना है :
(i) ∆AEP ~ ∆CDP
(ii) ∆ABD ~ ∆CBE
(iii) ∆AEP ~ ∆ADB
(iv) ∆PDC ~ ∆BEC
उपपत्ति : ∆ABC में AD और CE शीर्षलम्ब हैं।
AD ⊥ BC तथा CE ⊥ AB
(i) ∆AEP और ∆CDP में,
∠AEP = ∠CDP (प्रत्येक 90° है)
∠APE = ∠CPD (शीर्षाभिमुख कोण)
अत: त्रिभुज की समरूपता के उप-गुणधर्म AA से,
∆AEP ~ ∆CDP
इति सिद्धम्
(ii) ∆ABD और ∆CBE में,
∠ADB = ∠CEB (प्रत्येक 90° है)
∠ABD = ∠CBE (दोनों त्रिभुजों में उभयनिष्ठ है)
अत: त्रिभुजों की समरूपता के उप-गुणधर्म AA से,
∆ABD ~ ∆CBE
इति सिद्धम्
![]()
(iii) ∆AEP और ∆ADB में,
∠AEP = ∠ADB (प्रत्येक 90° है)
∠PAE = ∠DAB (दोनों त्रिभुजों में उभयनिष्ठ हैं)
अतः त्रिभुजों की समरूपता के उप-गुणधर्म AA से,
∆AEP ~ ∆ADB
इति सिद्धम्
(iv) ∆PDC और ∆BEC में,
∠PDC = ∠BEC (प्रत्येक 90° है)
∠DCP = ∠BCE (दोनों त्रिभुजों में उभयनिष्ठ है)
अत: त्रिभुजों की समरूपता के उप-गुणधर्म AA से,
∆PDC ~ ∆BEC
इति सिद्धम्
![]()
प्रश्न 8.
समान्तर चतुर्भुज ABCD की बढ़ाई गई भुजा AD पर स्थित E एक बिन्दु है तथा BE भुजा CD को F पर प्रतिच्छेद करती है। दर्शाइए कि ∆ABE ~ ∆CFB हैं।

हल
दिया है : ABCD एक समान्तर चतुर्भुज है जिसकी भुजा AD को किसी बिन्दु E तक बढ़ाया गया है। रेखाखण्ड BE, भुजा CD को बिन्दु F पर प्रतिच्छेदित करता है।
सिद्ध करना है : ∆ABE ~ ∆CFB
उपपत्ति : ABCD एक समान्तर चतुर्भुज है।
BC || AD ⇒ BC || AE
BC || AE और BE तिर्यक रेखा है।
∠EBC = ∠AEB ⇒ ∠AEB = ∠FBC
अब, ∆ABE और ∆CFB में,
∠A = ∠C (समान्तर चतुर्भुज ABCD के सम्मुख कोण हैं)
∠AEB = ∠FBC (ऊपर सिद्ध किया है)
तब, त्रिभुजों की समरूपता के उप-गुणधर्म AA से,
∆ABE ~ ∆CFB
इति सिद्धम्
प्रश्न 9.
दी गई आकृति में, ABC और AMPदो समकोण त्रिभुज हैं, जिनके कोण B और M समकोण हैं। सिद्ध कीजिए कि-
(i) ∆ABC ~ ∆AMP
(ii) \(\frac{C A}{P A}=\frac{B C}{M P}\)

हल
दिया है : ∆ABC और ∆AMP दो समकोण त्रिभुज हैं, जिनमें ∠B तथा ∠M समकोण हैं।
सिद्ध करना है :
(i) ∆ABC ~ ∆AMP
(ii) \(\frac{C A}{P A}=\frac{B C}{M P}\)
उपपत्ति :
(i) समकोण ∆ABC तथा समकोण ∆AMP की तुलना करने पर,
∠B = ∠M (∵ प्रत्येक समकोण है)
∠A = ∠A (उभयनिष्ठ है)
तब, दो त्रिभुजों की समरूपता के उप-गुणधर्म AA से,
∆ABC ~ ∆AMP
इति सिद्धम्
(ii) ∆ABC और ∆AMP समरूप हैं।
दोनों त्रिभुजों की संगत भुजाएँ आनुपातिक होंगी।
\(\frac{A B}{A M}=\frac{B C}{M P}=\frac{C A}{P A} \Rightarrow \frac{C A}{P A}=\frac{B C}{M P}\)
इति सिद्धम्
![]()
प्रश्न 10.
CD और GH क्रमशः ∠ACB और ∠EGF के ऐसे समद्विभाजक हैं कि बिन्दु D औरत क्रमशः ∆ABC और ∆FEG की भुजाओं AB और FE पर स्थित हैं। यदि ∆ABC ~ ∆FEG हो तो दर्शाइए कि-
(i) \(\frac{C D}{G H}=\frac{A C}{F G}\)
(ii) ∆DCB ~ ∆HGE
(iii) ∆DCA ~ ∆HGF


हल
दिया है : ∆ABC और ∆EGF में CD, ∠ACB का समद्विभाजक है और GH, ∠EGF का समद्विभाजक है तथा ∆BC ~ ∆FEG
सिद्ध करना है :
(i) \(\frac{C D}{G H}=\frac{A C}{F G}\)
(ii) ∆DCB ~ ∆HGE
(iii) ∆DCA ~ ∆HGF
उपपत्ति:
∆ABC में CD, ∠ACB का समद्विभाजक है।
∠ACD = ∠DCB = \(\frac{1}{2}\) ∠ACB
इसी प्रकार, ∆EGF में GH, ∠FGE का समद्विभाजक है।
∠FGH = ∠HGE = \(\frac{1}{2}\) ∠FGE
∠ACD = ∠FGH तथा ∠DCB = ∠HGE
(∵ ∆ABC ~ ∆FEG जिससे ∠ACB = ∠FGE)
अब, ∆DCA तथा ∆HGF में,
∠ACD = ∠FGH (ऊपर सिद्ध किया है)
और ∠A = ∠F (∵ ∆ABC ~ ∆FEG)
अतः समरूपता के उप-गुणधर्म AA से,
∆DCA ~ ∆HGF
इति सिद्धम् (iii)
तब, ∆DCA और ∆HGF में,
\(\frac{C D}{G H}=\frac{A C}{F G}\)
इति सिद्धम् (i)
अब, ∆DCB और ∆HGE में,
∠DCB = ∠HGE (ऊपर सिद्ध किया है।)
∠B = ∠E (∆ABC ~ ∆FEG)
समरूपता के उप-गुणधर्म AA से,
∆DCB ~ ∆HGE
इति सिद्धम् (ii)
![]()
प्रश्न 11.
दी गई आकृति में, AB = AC वाले, एक समद्विबाहु त्रिभुज ABC की बढ़ाई गई भुजा CB पर स्थित E एक बिन्दु है। यदि AD ⊥ BC और EF ⊥ AC है तो सिद्ध कीजिए कि ∆ABD ~ ∆ECF है।

हल
दिया है : एक समद्विबाहु ∆ABC है जिसमें AB = AC है।
भुजा CB को किसी बिन्दु E तक इस प्रकार बढ़ाया गया है कि EF ⊥ AC और AD ⊥ BC
सिद्ध करना है : ∆ABD ~ ∆ECF
उपपत्ति : ∆ABC में, AB = AC
∠ABD = ∠ACD …..(1)
AD ⊥ BC
∠ADB = ∠ADC = 90° ……(2)
EF ⊥ AC
∠EFC = 90° ……(3)
अब, ∆ABD तथा ∆ECF में,
∠ADB = ∠EFC [समीकरण (2) व (3) से]
∠ABD = ∠ACD [समीकरण (1) से]
परन्तु ∠ACD = ∠ECF (दोनों त्रिभुजों में उभयनिष्ठ है)
∠ABD = ∠ECF
तब, त्रिभुजों की समरूपता के उप-गुणधर्म AA से,
∆ABD ~ ∆ECF
इति सिद्धम्
प्रश्न 12.
एक त्रिभुज ABC की भुजाएँ AB और BC तथा माध्यिका AD एक अन्य त्रिभुज PQR की क्रमशः भुजाओं PQ और QR तथा माध्यिका PM के समानुपाती हैं। दर्शाइए कि ∆ABC ~ ∆PQR है।

हल
दिया है : ∆ABC तथा ∆PQR दो त्रिभुज हैं जिनमें
\(\frac{A B}{P Q}=\frac{B C}{Q R}=\frac{A D}{P M}\)
जबकि AD तथा PM माध्यिकाएँ हैं अर्थात BD = \(\frac{1}{2}\) BC तथा QM = \(\frac{1}{2}\) QR
सिद्ध करना है : ∆ABC और ∆PQR समरूप हैं।

तब, त्रिभुजों की समरूपता की कसौटी SAS से,
अत: ∆ABC और ∆PQR समरूप हैं।
इति सिद्धम्
![]()
प्रश्न 13.
किसी त्रिभुज ABC की भुजा BC पर एक बिन्दु D इस प्रकार स्थित है कि ∠ADC = ∠BAC है। दर्शाइए कि CA2 = CB . CD

हल
दिया है : ∆ABC में BC पर एक बिन्दु D इस प्रकार है कि ∠ADC = ∠BAC
सिद्ध करना है : CA2 = CB . CD
उपपत्ति : ∆CDA और ∆CAB में,
∠ADC = ∠BAC (दिया है)
∠ACD = ∠ACB
∠CAD = ∠ABC (उभयनिष्ठ कोण हैं)
∆CDA ~ ∆CAB (स्वतः समान हैं)
अतः \(\frac{C A}{C D}=\frac{C B}{C A}\)
⇒ CA2 = CB . CD
इति सिद्धम्
प्रश्न 14.
एक त्रिभुज ABC की भुजा AB और AC तथा माध्यिका AD, एक अन्य त्रिभुज PQR की भुजाओं PQ और PR तथा माध्यिका PM के समानुपाती हैं। दर्शाइए कि ∆ABC ~ ∆PQR है।
हल
दिया है : ∆ABC और ∆PQR में BC की माध्यिका AD तथा QR की माध्यिका PM है जिससे
\(\frac{A B}{P Q}=\frac{A C}{P R}=\frac{A D}{P M}\)

∆ABC और ∆PQR की संगत भुजाएँ आनुपातिक हैं।
अत: ∆ABC ~ ∆PQR
इति सिद्धम्
![]()
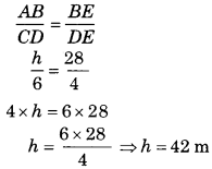
प्रश्न 15.
लम्बाई 6 m वाले एक ऊर्ध्वाधर स्तम्भ की भूमि पर छाया की लम्बाई 4 m है, जबकि उसी समय एक मीनार की छाया की लम्बाई 28 m है। मीनार की ऊँचाई ज्ञात कीजिए।

हल
दिया है : 6 मीटर लम्बे स्तम्भ CD की छाया DE = 4 m प्राप्त होती है। उसी समय एक मीनार AB = h m की छाया BE = 28 m प्राप्त होती है।
ज्ञात करना है : मीनार की ऊँचाई h का मान।
गणना : समरूप ∆CDE और ∆ABE में,

अतः मीनार की ऊँचाई = 42 m
![]()
प्रश्न 16.
AD और PM त्रिभुजों ABC और PQR की क्रमशः माध्यिकाएँ हैं, जबकि ∆ABC ~ ∆PQR है। सिद्ध कीजिए कि \(\frac{A B}{P Q}=\frac{A D}{P M}\) है।

हल
दिया है : ∆ABC और ∆PQR दो समरूप त्रिभुज हैं। AD, त्रिभुज ABC की और PM, त्रिभुज PQR की माध्यिकाएँ हैं।
सिद्ध करना है : \(\frac{A B}{P Q}=\frac{A D}{P M}\)

∠B और ∠Q को अन्तर्विष्ट करने वाली ∆ABD और ∆PQM की संगत भुजाएँ आनुपातिक हैं।
अत: दो त्रिभुजों की समरूपता की कसौटी SAS से,
∆ABD ~ ∆PQM
तब, समरूप त्रिभुजों की संगत भुजाओं के आनुपातिकता के गुणधर्म से,
\(\frac{A B}{P Q}=\frac{A D}{P M}\)
इति सिद्धम्