BSEB Bihar Board Class 10 Science Solutions Chapter 13 विद्युत धारा का चुम्बकीय प्रभाव
Bihar Board Class 10 Science Solutions Chapter 13 विद्युत धारा का चुम्बकीय प्रभाव Textbook Questions and Answers, Additional Important Questions, Notes.
Bihar Board Class 10 Science विद्युत धारा का चुम्बकीय प्रभाव InText Questions and Answers
अनुच्छेद 13.1 पर आधारित
प्रश्न 1.
चुंबक के निकट लाने पर दिक्सूचक की सुई विक्षेपित क्यों हो जाती है?
उत्तर:
वास्तव में दिक्सूचक की सुई एक छोटा-छड़ चुंबक ही होती है। किसी दिक्सूचक की सुई के दोनों सिरे लगभग उत्तर और दक्षिण दिशाओं की ओर संकेत करते हैं। उत्तर दिशा की ओर संकेत करने वाले सिरे को उत्तरोमुखी ध्रुव अथवा उत्तर ध्रुव कहते हैं। दूसरा सिरा जो दक्षिण दिशा की ओर संकेत करता है उसे दक्षिणोमुखी ध्रुव अथवा दक्षिण ध्रुव कहते हैं। हम जानते हैं कि चुंबकों में सजातीय ध्रुवों में परस्पर प्रतिकर्षण तथा विजातीव ध्रुवों में परस्पर आकर्षण होता है। अतः चुंबक के निकट लाने पर दिक्सूचक की सुई विक्षेपित हो जाती है।
अनुच्छेद 13.1 से 13.2.2 पर आधारित
प्रश्न 1.
किसी छड़ चुंबक के चारों ओर चुंबकीय क्षेत्र रेखाएँ खींचिए।
उत्तर:

प्रश्न 2.
चुंबकीय क्षेत्र रेखाओं के गुणों की सूची बनाइए।
उत्तर:
चुम्बकीय क्षेत्र रेखाओं के कुछ प्रमुख गुण निम्नवत् हैं –
- ये काल्पनिक रेखाएँ चुंबक के उत्तरी ध्रुव से निकलती हैं एवं दक्षिणी ध्रुव पर जाकर समाप्त हो जाती हैं।
- ये क्षेत्र रेखाएँ परस्पर प्रतिच्छेद नहीं करती हैं।
- इन रेखाओं के किसी बिन्दु पर स्पर्श रेखा की दिशा चुंबकीय क्षेत्र की दिशा को दर्शाती है।
प्रश्न 3.
दो चुंबकीय क्षेत्र रेखाएँ एक-दूसरे को प्रतिच्छेद क्यों नहीं करतीं?
उत्तर:
यदि दो चुंबकीय क्षेत्र रेखाएँ परस्पर प्रतिच्छेद करें तो प्रतिच्छेद करने वाले बिन्दु पर चुंबकीय क्षेत्र की दो दिशाएँ होंगी जो संभव नहीं है। अतः ये क्षेत्र रेखाएँ परस्पर प्रतिच्छेद नहीं करती हैं।
अनुच्छेद 13.2.3 और 13.2.4 पर आधारित
प्रश्न 1.
मेज़ के तल में पड़े तार के वृत्ताकार पाश पर विचार कीजिए। मान लीजिए इस पाश में दक्षिणावर्त विद्युत धारा प्रवाहित हो रही है। दक्षिण-हस्त अंगुष्ठ नियम को लागू करके पाश के भीतर तथा बाहर चुंबकीय क्षेत्र की दिशा ज्ञात कीजिए।
उत्तर:
चित्र से स्पष्ट है कि पाश के भीतर चुम्बकीय क्षेत्र की दिशा पाश के तल (मेज के तल) के लम्बवत् नीचे की ओर होगी, जबकि पाश के बाहर चुम्बकीय क्षेत्र की दिशा पाश (मेज) के तल के लम्बवत् ऊपर की ओर होगी।

प्रश्न 2.
किसी दिए गए क्षेत्र में चुंबकीय क्षेत्र एकसमान है। इसे निरूपित करने के लिए आरेख खींचिए।
उत्तर:

प्रश्न 3.
सही विकल्प चुनिए किसी विद्युत धारावाही सीधी लंबी परिनालिका के भीतर चुंबकीय क्षेत्र
(a) शून्य होता है।
(b) इसके सिरे की ओर जाने पर घटता है।
(c) इसके सिरे की ओर जाने पर बढ़ता है।
(d) सभी बिंदुओं पर समान होता है।
उत्तर:
(d) सभी बिंदुओं पर समान होता है।
अनच्छेद 13.3 पर आधारित
प्रश्न 1.
किसी प्रोटॉन का निम्नलिखित में से कौन-सा गुण किसी चुंबकीय क्षेत्र में मुक्त गति करते समय परिवर्तित हो जाता है? ( यहाँ एक से अधिक सही उत्तर हो सकते हैं।)
(a) द्रव्यमान
(b) चाल
(c) वेग
(d) संवेग
उत्तर:
(c) वेग तथा (d) संवेग
![]()
प्रश्न 2.
क्रियाकलाप 13.7 में हमारे विचार से छड़ AB का विस्थापन किस प्रकार प्रभावित होगा यदि –
1. छड़ AB में प्रवाहित विद्युत धारा में वृद्धि हो जाए
2. अधिक प्रा. नाल चुंबक प्रयोग किया जाए; और
3. छड़ AB की लंबाई में वृद्धि कर दी जाए?
उत्तर:
हम जानते हैं कि F = BiL इसलिए,
- छड़ का विस्थापन बढ़ जायेगा; क्योंकि; F ∝ i बल का मान चालक में प्रवाहित धारा के मान के समानुपाती होता है।
- छड़ का विस्थापन बढ़ जायेगा; क्योंकि; F ∝ B बल का मान चुंबकीय क्षेत्र की तीव्रता के समानुपाती होता है।
- छड़ का विस्थापन बढ़ जायेगा; क्योंकि; F ∝ L बल का मान चालक की लंबाई के समानुपाती होता है।
प्रश्न 3.
पश्चिम की ओर प्रक्षेपित कोई धनावेशित कण (अल्फा-कण) किसी चुंबकीय क्षेत्र द्वारा उत्तर की ओर विक्षेपित हो जाता है। चुंबकीय क्षेत्र की दिशा क्या है?
(a) दक्षिण की ओर
(b) पूर्व की ओर
(c) अधोमुखी
(d) उपरिमुखी
उत्तर:
(d) उपरिमुखी।
अनुच्छेद 13.4 पर आधारित
प्रश्न 1.
फ्लेमिंग का वामहस्त नियम लिखिए। (2011, 13, 14, 15, 16)
उत्तर:
यदि हम वामहस्त (बायें हाथ) की तीन चालक पर बल / अंगुलियों – अंगूठा, तर्जनी एवं मध्यमा को एक-दूसरे के लम्बवत् इस प्रकार फैलाएँ कि तर्जनी चुंबकीय क्षेत्र की दिशा एवं मध्यमा चालक में प्रवाहित विद्यत धारा की दिशा को दर्शाए तो चालक पर लगने वाले बल की विद्युत धारा की दिशा में होती है।

प्रश्न 2.
विद्युत मोटर का क्या सिद्धांत है?
उत्तर:
विद्युत मोटर का सिद्धान्त जब किसी कुण्डली को चुम्बकीय क्षेत्र में रखकर उसमें धारा प्रवाहित की जाती है तो कुण्डली पर एक बलयुग्म कार्य करने लगता है, जो कुण्डली को उसकी अक्ष पर घुमाने का प्रयास करता है। यदि कुण्डली अपनी अक्ष पर घूमने के लिए स्वतन्त्र हो तो वह घूमने लगती है। यही विद्युत मोटर का सिद्धान्त है।
प्रश्न 3.
विद्युत मोटर में विभक्त वलय की क्या भूमिका है?
उत्तर:
विद्युत मोटर में विभक्त वलय कॉम्यूटेटर का कार्य करता है। धारा की दिशा परिवर्तन के कारण आर्मेचर में लगने वाले बल की दिशा भी परिवर्तित हो जाती है। इस प्रकार कुण्डली पर लगने वाला घूर्णी बल कुण्डली में घूर्णन उत्पन्न करता है।
अनुच्छेद 13.5 पर आधारित
प्रश्न 1.
किसी कुंडली में विद्युत धारा प्रेरित करने के विभिन्न ढंग स्पष्ट कीजिए।
उत्तर:
निम्नलिखित ढंग से किसी कुण्डली में विद्युत धारा उत्पन्न की जा सकती है –
- कुण्डली एवं चुंबक को आपेक्षिक गति में लाकर।
- एक धारावाही कुण्डली एवं एक सामान्य कुण्डली में सापेक्षिक गति उत्पन्न करके।
- दो कुण्डलियों में से किसी एक में धारा के मान को परिवर्तित करके।
अनुच्छेद 13.6 पर आधारित
प्रश्न 1.
विद्युत जनित्र का सिद्धांत लिखिए।
उत्तर:
विद्युत जनित्र का सिद्धान्त जब किसी बन्द कुण्डली को किसी शक्तिशाली चुम्बकीय क्षेत्र में तेजी से घुमाया जाता है तो उसमें से होकर गुजरने वाले चुम्बकीय-फ्लक्स में लगातार परिवर्तन होता रहता है, जिसके कारण कुण्डली में एक विद्युत धारा प्रेरित हो जाती है। कुण्डली को घुमाने में किया गया कार्य ही कुण्डली में विद्युत-ऊर्जा के रूप में परिणत हो जाता है।
![]()
प्रश्न 2.
दिष्ट धारा के कुछ स्रोतों के नाम लिखिए।
उत्तर:
दिष्ट धारा के कुछ मुख्य स्रोत निम्नवत् हैं –
1. विद्युत रासायनिक सेल
2. स्टोरेज सेल
3. dc जनित्र।
प्रश्न 3.
प्रत्यावर्ती विद्युत धारा उत्पन्न करने वाले स्रोतों के नाम लिखिए।
उत्तर:
प्रत्यावर्ती धारा के स्रोतों के नाम निम्नवत् हैं –
- ac जनित्र
- ताप शक्ति विद्युत
- जल विद्युत
- न्यूक्लिअर रियेक्टर।
प्रश्न 4.
सही विकल्प का चयन कीजिए ताँबे के तार की एक आयताकार कुंडली किसी चुंबकीय क्षेत्र में घी गति कर रही है। इस कुंडली में प्रेरित विद्युत धारा की दिशा में कितने परिभ्रमण के पश्चात परिवर्तन होता है?
(a) दो (b) एक (c) आधे (d) चौथाई
उत्तर:
(c) आधे
अनुच्छेद 13.7 पर आधारित
प्रश्न 1.
विद्युत परिपथों तथा साधित्रों में सामान्यतः उपयोग होने वाले दो सुरक्षा उपायों के नाम लिखिए। उत्तर–सामान्यतः उपयोग में आने वाले दो उपायों के नाम निम्नवत् हैं
1. विद्युत फ्यूज।
2. भू-संपर्क तार का उपयोग
प्रश्न 2.
2 kW शक्ति अनुमतांक का एक विद्युत तंदूर किसी घरेलू विद्युत परिपथ (220V) में प्रचालित किया जाता है जिसका विद्युत धारा अनुमतांक 5 A है, इससे आप किस परिणाम की अपेक्षा करते हैं? स्पष्ट कीजिए।
हल:
दिया है, शक्ति P = 2kW
= 2 x 1000W = 2000 W
वोल्टेज, V = 220 V
हम जानते हैं कि, शक्ति, P = V x I या I = \(\frac {P}{V}\)
= \(\frac {2000}{220}\) = 9.09A
अर्थात् विद्युत तंदूर लाइन से 9.09A की धारा लेगा जोकि फ्यूज की क्षमता से अधिक है, अत : फ्यूज का तार गल जायेगा।
![]()
प्रश्न 3.
घरेलू विद्युत परिपथों में अतिभारण से बचाव के लिए क्या सावधानी बरतनी चाहिए?
उत्तर:
एक ही सॉकिट से बहुत ज्यादा विद्युत उपकरणों को संयोजित नहीं करना चाहिए; क्योंकि इससे अतिभारण हो सकता है।
Bihar Board Class 10 Science विद्युत धारा का चुम्बकीय प्रभाव Textbook Questions and Answers
प्रश्न 1.
निम्नलिखित में से कौन किसी लंबे विद्युत धारावाही तार के निकट चुंबकीय क्षेत्र का सही वर्णन करता है?
(a) चुंबकीय क्षेत्र की क्षेत्र रेखाएँ तार के लम्बवत् होती हैं।
(b) चुंबकीय क्षेत्र की क्षेत्र रेखाएँ तार के समांतर होती हैं।
(c) चुंबकीय क्षेत्र की क्षेत्र रेखाएँ अरीय होती हैं जिनका उद्भव तार से होता है।
(d) चुंबकीय क्षेत्र की संकेंद्री क्षेत्र रेखाओं का केंद्र तार होता है।
उत्तर:
(d) चुंबकीय क्षेत्र की संकेंद्री क्षेत्र रेखाओं का केंद्र तार होता है।
प्रश्न 2.
वैद्युत-चुंबकीय प्रेरण की परिघटना –
(a) किसी वस्तु को आवेशित करने की प्रक्रिया है।
(b) किसी कुंडली में विद्युत धारा प्रवाहित होने के कारण चुंबकीय क्षेत्र उत्पन्न करने की प्रक्रिया है।
(c) कुंडली तथा चुंबक के बीच आपेक्षिक गति के कारण कुंडली में प्रेरित विद्युत धारा उत्पन्न करना है।
(d) किसी विद्युत मोटर की कुंडली को घूर्णन कराने की प्रक्रिया है।
उत्तर:
(c) कुंडली तथा चुंबक के बीच आपेक्षिक गति के कारण कुंडली में प्रेरित विद्युत धारा उत्पन्न करना है।
प्रश्न 3.
विद्युत धारा उत्पन्न करने की युक्ति को कहते हैं –
(a) जनित्र
(b) गैल्वेनोमीटर
(c) ऐमीटर
(d) मोटर
उत्तर:
(a) जनित्र
प्रश्न 4.
किसी ac जनित्र तथा dc जनित्र में एक मूलभूत अंतर यह है कि –
(a) ac जनित्र में विद्युत चुंबक होता है जबकि dc जनित्र में स्थायी चुंबक होता है।
(b) dc जनित्र उच्च वोल्टता का जनन करता है।
(c) ac जनित्र उच्च वोल्टता का जनन करता है।
(d) ac जनित्र में सी वलय होते हैं जबकि dc जनित्र में दिक्परिवर्तक होता है।
उत्तर:
(d) ac जनित्र में सी वलय होते हैं जबकि dc जनित्र में दिक्परिवर्तक होता है।
![]()
प्रश्न 5.
लघुपथन के समय परिपथ में विद्युत धारा का मान –
(a) बहुत कम हो जाता है।
(b) परिवर्तित नहीं होता।
(c) बहुत अधिक बढ़ जाता है।
(d) निरंतर परिवर्तित होता है।
उत्तर:
(c) बहुत अधिक बढ़ जाता है।
प्रश्न 6.
निम्नलिखित प्रकथनों में कौन-सा सही है तथा कौन-सा गलत है? इसे प्रकथन के सामने अंकित कीजिए।
(a) विद्युत मोटर यांत्रिक ऊर्जा को विद्युत ऊर्जा में रूपांतरित करता है।
(b) विद्युत जनित्र वैद्युतचुंबकीय प्रेरण के सिद्धांत पर कार्य करता है।
(c) किसी लंबी वृत्ताकार विद्युत धारावाही कुंडली के केंद्र पर चुंबकीय क्षेत्र समांतर सीधी क्षेत्र रेखाएँ होता है।
(d) हरे विद्युतरोधन वाला तार प्रायः विद्युन्मय तार होता है।
उत्तर:
(a) असत्य
(b) सत्य
(c) सत्य
(d) सत्य
प्रश्न 7.
चुंबकीय क्षेत्र को उत्पन्न करने के तीन तरीकों की सूची बनाइए।
उत्तर:
चुंबकीय क्षेत्र को उत्पन्न करने वाले तीन तरीके निम्नवत् हैं –
1. स्थायी चुम्बक
2. विद्युत धारा
3. गतिमान आवेश
प्रश्न 8.
परिनालिका चुंबक की भाँति कैसे व्यवहार करती है? क्या आप किसी छड़ चुंबक की सहायता से किसी विद्युत धारावाही परिनालिका के उत्तर ध्रुव तथा दक्षिण ध्रुव का निर्धारण कर सकते हैं?
उत्तर:
पास-पास लिपटे विद्युतरोधी ताँबे के तार की बेलन की आकृति की अनेक फेरों वाली कुंडली को परिनालिका कहते हैं। धारावाही परिनालिका का एक सिरा दक्षिणी ध्रुव एवं दूसरा सिरा उत्तरी ध्रुव की तरह कार्य करता है। परिनालिका के अंदर चुंबकीय क्षेत्र रेखाएँ परस्पर समानांतर होती हैं।

इसका अर्थ है कि परिनालिका के केन्द्र पर विद्युत क्षेत्र – सबसे अधिक होता है तथा सभी जगह एकसमान होता है। हाँ, परिनालिका के उत्तरी ध्रुव एवं दक्षिणी ध्रुव की पहचान हम छड़ चुम्बक से कर सकते हैं। यदि छड़ चुम्बक का उत्तरी ध्रुव परिनालिका की ओर आकर्षित होता है तो यह सिरा दक्षिणी ध्रुव होता है। इसी प्रकार उत्तरी ध्रुव की भी पहचान की जा सकती है।
प्रश्न 9.
किसी चुंबकीय क्षेत्र में स्थित विद्युत धारावाही चालक पर आरोपित बल कब अधिकतम होता है?
उत्तर:
जब किसी धारावाही चालक को चुंबकीय क्षेत्र में रखा जाता है तो उस पर कार्यरत बल के लिए व्यंजक
F = BIL sinθ
जहाँ B = चुंबकीय क्षेत्र
I = धारा की शक्ति
L = चालक की लंबाई
θ = धारावाही चालक एवं चुंबकीय क्षेत्र की दिशा के बीच का कोण।
अत: F का मान जब θ = 90° होगा तो अधिकतम होगा अर्थात् चालक एवं चुंबकीय क्षेत्र दोनों एक-दूसरे के लंबवत् हैं।
![]()
प्रश्न 10.
मान लीजिए आप किसी चैंबर में अपनी पीठ को किसी एक दीवार से लगाकर बैठे हैं। कोई इलेक्ट्रॉन पुंज आपके पीछे की दीवार से सामने वाली दीवार की ओर क्षैतिजतः गमन करते हुए किसी प्रबल चुंबकीय क्षेत्र द्वारा आपके दाईं ओर विक्षेपित हो जाता है। चुंबकीय क्षेत्र की दिशा क्या है?
उत्तर:
फ्लेमिंग के बाएं हाथ के नियमानुसार, चुम्बकीय क्षेत्र की दिशा ऊर्ध्वाधरतः नीचे की ओर होगी।
प्रश्न 11.
विद्युत मोटर का नामांकित आरेख खींचिए। इसका सिद्धांत तथा कार्यविधि स्पष्ट कीजिए। विद्युत मोटर में विभक्त वलय का क्या महत्त्व है? (2011, 13, 15, 16, 18)
उत्तर:
विद्युत मोटर विद्युत मोटर एक ऐसा साधन है, जो विद्युत-ऊर्जा को यान्त्रिक ऊर्जा में बदलता है। सिद्धान्त जब किसी कुण्डली को चुम्बकीय क्षेत्र में रखकर उसमें धारा प्रवाहित की जाती है तो कुण्डली पर एक बलयुग्म कार्य करने लगता है, जो कुण्डली को उसकी अक्ष पर घुमाने का प्रयास करता है। यदि कुण्डली अपनी अक्ष पर घूमने के लिए स्वतन्त्र हो तो वह घूमने लगती है।

कार्य-विधि जब बैटरी से कुण्डली में विद्युत-धारा प्रवाहित करते हैं तो फ्लेमिंग के बाएँ हाथ के नियम से, कुण्डली की भुजाओं AB तथा CD पर बराबर, परन्तु विपरीत दिशा में दो बल कार्य करने लगते हैं। ये बल एक बल-युग्म बनाते हैं, जिसके कारण कुण्डली दक्षिणावर्त दिशा में घूमने लगती है। कुण्डली के साथ उसके सिरों पर लगे विभक्त वलय भी घूमने लगते हैं। इन विभक्त वलयों की सहायता से धारा की दिशा इस प्रकार रखी जाती है कि कुण्डली पर बल लगातार एक ही दिशा में कार्य करे अर्थात् कुण्डली एक दिशा में घूमती रहे।
विभक्त वलय का महत्त्व विभक्त वलय का कार्य कुण्डली में प्रवाहित धारा की दिशा को बदलना है। जब कुण्डली आधा चक्कर पूर्ण कर लेती है तो विभक्त वलयों का ब्रुशों से सम्पर्क समाप्त हो जाता है और विपरीत ब्रुशों से सम्पर्क जुड़ जाता है। इसके फलस्वरूप कुण्डली में धारा की दिशा सदैव इस प्रकार बनी रहती है कि कुण्डली एक ही दिशा में घूमती रहे।
![]()
प्रश्न 12.
ऐसी कुछ युक्तियों के नाम लिखिए जिनमें विद्युत मोटर उपयोग किए जाते हैं।
उत्तर:
- कूलर
- पंखा;
- एअर कंडीशनर;
- पंप आदि में विद्युत मोटर का उपयोग किया जाता है।
प्रश्न 13.
कोई विद्युतरोधी ताँबे के तार की कुंडली किसी गैल्वेनोमीटर से संयोजित है। क्या होगा यदि कोई छड़ चुंबक –
- कुंडली में धकेला जाता है।
- कुंडली के भीतर से बाहर खींचा जाता है।
- कुंडली के भीतर स्थिर रखा जाता है।
उत्तर:
- कुण्डली में एक प्रेरित धारा उत्पन्न होगी तथा गैल्वेनोमीटर विक्षेप प्रदर्शित करेगा।
- कुण्डली में एक प्रेरित धारा उत्पन्न होगी तथा गैल्वेनोमीटर विक्षेप प्रदर्शित करेगा, परन्तु विक्षेप की दिशा पहले की विपरीत होगी।
- कुण्डली में कोई प्रेरित धारा उत्पन्न नहीं होगी इसलिए गैल्वेनोमीटर विक्षेप प्रदर्शित नहीं करेगा।
प्रश्न 14.
दो वृत्ताकार कुंडली A तथा B एक-दूसरे के निकट स्थित हैं। यदि कंडली A में विद्युत धारा में कोई परिवर्तन करें तो क्या कुंडली B में कोई विद्युत धारा प्रेरित होगी? कारण लिखिए।
उत्तर:
हाँ, प्रेरित धारा उत्पन्न होगी। कुंडली A में धारा परिवर्तन के कारण A से होकर गुजरने वाली चुंबकीय क्षेत्र रेखाओं की संख्या में परिवर्तन होने के कारण B में धारा प्रेरित होती है।
प्रश्न 15.
निम्नलिखित की दिशा को निर्धारित करने वाला नियम लिखिए –
1. किसी विद्युत धारावाही सीधे चालक के चारों ओर उत्पन्न चुंबकीय क्षेत्र
2. किसी चुंबकीय क्षेत्र में, क्षेत्र के लंबवत् स्थित, विद्युत धारावाही सीधे चालक पर आरोपित बल तथा
3. किसी चुंबकीय क्षेत्र में किसी कुंडली के घूर्णन करने पर उस कुंडली में उत्पन्न प्रेरित विद्युत धारा।
उत्तर:
1. किसी धारावाही चालक के चारों ओर दक्षिण हस्त चुंबकीय क्षेत्र की दिशा को मैक्सवेल के दक्षिण-हस्त नियम से ज्ञात किया जाता है। इस नियम के अनुसार यदि धारावाही चालक चुम्बकीय को दाहिने हाथ में इस प्रकार पकड़ें कि अंगूठा क्षेत्र चालक में प्रवाहित धारा की दिशा को निर्देशित करे तो चालक को पकड़ने वाली अंगुलियों की दिशा चुंबकीय क्षेत्र की दिशा होती है।

2. चुंबकीय क्षेत्र में धारावाही चालक पर बल की दिशा फ्लेमिंग के वामहस्त नियम से ज्ञात की चालक पर बल जाती है। चुम्बकीय क्षेत्र इस नियम के अनुसार यदि बाएँ हाथ की प्रथम तीन अंगुलियों को एक-दूसरे के लंबवत् इस प्रकार रखा जाए कि तर्जनी चुंबकीय क्षेत्र की दिशा में एवं मध्यमा धारा की दिशा में हो तो अँगूठे की दिशा चालक पर आरोपित बल की दिशा को दर्शाता है।

3. चुंबकीय क्षेत्र में गतिशील चालक में उत्पन्न प्रेरित धारा की दिशा ज्ञात करने के लिए फ्लेमिंग के दाहिने चुम्बकीय क्षेत्र चालक की गति हस्त के नियम को उपयोग किया जाता है। इस नियम के अनुसार यदि दाएँ हस्त की प्रथम तीन अंगुलियों को एक-दूसरे के लम्बवत् इस प्रकार रखें कि तर्जनी चुंबकीय क्षेत्र की दिशा एवं अँगूठा चालक में गति की दिशा को दर्शाता है तो चालक में प्रेरित 0 धारा की दिशा मध्यमा द्वारा सूचित होती है।

प्रश्न 16.
नामांकित आरेख खींचकर किसी विद्युत जनित्र का मूल सिद्धांत तथा कार्यविधि स्पष्ट कीजिए। इसमें ब्रशों का क्या कार्य है? । (2009, 12, 13, 14, 15, 16, 17, 18)
उत्तर:
विद्युत जनित्र (अथवा डायनमो) वह यन्त्र है जो यान्त्रिक ऊर्जा को विद्युत ऊर्जा में बदलता है। विद्युत जनित्र विद्युत चुम्बकीय प्रेरण के सिद्धान्त पर आधारित है। ये दो प्रकार के होते हैं –
1. प्रत्यावर्ती धारा जनित्र
2. दिष्ट धारा जनित्र।
दोनों का सिद्धान्त एक ही है।
सिद्धान्त जब किसी बन्द कुण्डली को चुम्बकीय क्षेत्र में तेजी से घुमाया जाता है, तो उसमें से गुजरने वाली चुम्बकीय फ्लक्स रेखाओं में निरन्तर परिवर्तन होता रहता है, जिसके कारण कुण्डली में एक प्रेरित विद्युत वाहक बल उत्पन्न हो जाता है और बाह्य परिपथ व कुण्डली में प्रेरित विद्युत धारा बहने लगती है। अत: कुण्डली को घुमाने में व्यय यान्त्रिक ऊर्जा विद्युत ऊर्जा में परिवर्तित हो जाती है।
रचना (Construction) प्रत्यावर्ती धारा जनित्र (प्रत्यावर्ती धारा डायनमो) में चित्र में दिखाए अनुसार तीन मुख्य भाग होते हैं –

1. क्षेत्र चुम्बक (Field magnet) इसमें N, S ध्रुव खण्डों वाला एक शक्तिशाली चुम्बक होता है; जिससे N, S के बीच में शक्तिशाली चुम्बकीय क्षेत्र उत्पन्न किया जा सके। इस चुम्बकीय क्षेत्र में कुण्डली (coil) को घुमाया जाता है।
2. कुण्डली (Coil) यह ताँबे के पृथक्कित तारों की एक कुण्डली ABCD होती है; जिसे आर्मेचर (armature) कहते हैं। कुण्डली को मुलायम लोहे के क्रोड पर लपेटा जाता है। इसे ध्रुवों के बीच क्षैतिज अक्ष के परितः जल के टरबाइन या डीजल या पेट्रोल इंजन द्वारा घुमाया जाता है।
3. सी वलय तथा बुश (Slip rings and bushes) ये ताँबे के बने दो छल्ले या सी वलय (slip rings) होते हैं, जिनका सम्बन्ध एक ओर तो कुण्डली ABCD से आए ताँबे के तारों से होता है तथा दूसरी ओर कार्बन के दो बुशों X, Y से होता है। इन बुशों का सम्बन्ध बाह्य परिपथ जिसमें धारा भेजनी है, से कर देते हैं। चित्र में बाह्य परिपथ एक बल्ब के द्वारा दिखाया गया है।
![]()
क्रिया-विधि –
1. चित्र में दिखाए अनुसार कुण्डली चुम्बकीय क्षेत्र के समान्तर है, अर्थात् इस समय उत्पन्न प्रेरित वि०वा० बल तथा धारा शून्य होगी।
2. जैसे-जैसे कुण्डली दक्षिणावर्त दिशा में घूमती है, उनमें से होकर गुजरने वाली चुम्बकीय बल रेखाओं या फ्लक्स का मान बढ़ता जाता है तथा प्रेरित विद्युत वाहक बल तथा प्रेरित धारा उत्पन्न होती है, जिसकी दिशा फ्लेमिंग के दायें हाथ वाले नियम से ज्ञात की जा सकती है। बाह्य परिपथ में इसकी दिशा X से Y की ओर होगी। जब कुण्डली उसी दिशा में घूमते हुए ऊर्ध्वाधर (भुजा AB ऊपर तथा CD नीचे) हो जाती है, तो प्रेरित वि० वा० बल तथा धारा अधिकतम होती है। कुण्डली इस बीच 0° से 90° घूमी है।
3. कुण्डली के और अधिक घूमने पर कुण्डली से गुजरने वाले चुम्बकीय फ्लक्स का मान कम होता जाता है तथा कुण्डली के क्षैतिज होने पर (भुजा CD के स्थान पर AB तथा AB के स्थान पर CD) प्रेरित वि०वा० बल तथा विद्युत धारा धीरे-धीरे कम होकर शून्य हो जाती है। कुण्डली इस बीच 90° से 180° के बीच घूमी है।
4. कुण्डली को और घुमाने पर उसमें से गुजरने वाले चुम्बकीय फ्लक्स का मान फिर से बढ़ना शुरू होता है, परन्तु इस समय यदि धारा की दिशा फ्लेमिंग के दायें हाथ से ज्ञात की जाए, तो वह दिशा (ii) की तुलना में विपरीत दिशा में होगी तथा बाह्य परिपथ में Y से X की ओर प्रवाहित होगी। कुण्डली के ऊर्ध्वाधर (भुजा CD ऊपर तथा AB नीचे) होने पर प्रेरित वि०वा० बल तथा विद्युतधारा अधिकतम होगी। इस बीच कुण्डली 180° से 270° के बीच घूमी है।
5. यदि कुण्डली को और घुमाया जाए, जिससे कि वह दशा (i) की स्थिति में हो तो प्रेरित वि०वा० बल तथा प्रेरित विद्युत धारा का मान कुण्डली के क्षैतिज होने पर शून्य होगा। यदि कुण्डली में प्रेरित वि०वा० बल और कुण्डली के घूर्णीय कोण में एक ग्राफ खींचा जाए, तो वह निम्न चित्र के अनुसार होगा।

कुण्डली का एक पूरा चक्कर लगाने पर विद्युत वाहक बल दो बार अधिकतम तथा दो बार शून्य होता है। कुण्डली के प्रत्येक घूर्णन में यह क्रिया दोहराई जाती है। इस प्रकार उत्पन्न धारा को प्रत्यावर्ती धारा (Alternating Current or A.C.) कहते हैं।
प्रश्न 17.
किसी विद्युत परिपथ में लघुपथन कब होता है?
उत्तर:
जब घरेलू विद्युत परिपथ में विद्युतमन्य तार एवं उदासीन तार एक-दूसरे के संपर्क में आ जाते हैं तो परिपथ में धारा का मान बहुत अधिक हो जाता है। इस घटना को ही लघुपथन कहते हैं।
प्रश्न 18.
भूसंपर्क तार का क्या कार्य है? धातु के आवरण वाले विद्युत साधित्रों को भूसंपर्कित करना क्यों आवश्यक है?
उत्तर:
किसी विद्युत उपकरण के धात्विक भाग को तार की मदद से पृथ्वी के संपर्क करने वाले तार को भू-संपर्क तार कहते हैं। यह तार सुरक्षा यंत्र के रूप में विद्युत परिपथ में उपयोग में लाया जाता है। यदि किसी भी प्रकार से उपकरण में विद्युत धारा आ जाती है तो यह पृथ्वी को स्थानांतरित हो जाती है जिसके फलस्वरूप कोई दुर्घटना होने से बच जाती है।
Bihar Board Class 10 Science विद्युत धारा का चुम्बकीय प्रभाव Additional Important Questions and Answers
बहुविकल्पीय प्रश्न
प्रश्न 1.
एक गतिमान आवेशित कण उत्पन्न करता है – (2013, 14, 16)
(a) केवल चुम्बकीय क्षेत्र
(b) केवल विद्युत क्षेत्र
(c) चुम्बकीय व विद्युत क्षेत्र दोनों
(d) इनमें से कोई नहीं
उत्तर:
(c) चुम्बकीय व विद्युत क्षेत्र दोनों
प्रश्न 2.
चुम्बकीय क्षेत्र की तीव्रता का मात्रक है – (2012, 13)
(a) न्यूटन/ऐम्पियर-मी2
(b) न्यूटन/ऐम्पियर-मी (टेस्ला)
(c) न्यूटन-ऐम्पियर-मी
(d) न्यूटन/ऐम्पियर-मी
उत्तर:
(b) न्यूटन/ऐम्पियर-मी (टेस्ला)
प्रश्न 3.
कौन-सा चुम्बकीय क्षेत्र का मात्रक नहीं है? (2012, 17, 18)
(a) वेबर/मीटर2
(b) टेस्ला
(c) गौस
(d) न्यूटन/ऐम्पियर
उत्तर:
(d) न्यूटन/ऐम्पियर2
![]()
प्रश्न 4.
‘वेबर’ किस राशि का मात्रक है? (2018)
(a) चुम्बकीय क्षेत्र की तीव्रता
(b) चुम्बकीय फ्लक्स
(c) चुम्बकीय फ्लस्क घनत्व
(d) विद्युत क्षेत्र की तीव्रता
उत्तर:
(b) चुम्बकीय फ्लक्स
प्रश्न 5.
1 टेस्ला बराबर होता है – (2015)
(a) 1 वेबर/मी2
(b) 1 गॉस
(c) 10-4 वेबर/मीटर
(d) 10-4 गॉस
उत्तर:
(a) 1 वेबर/मी2
प्रश्न 6.
चुम्बकीय क्षेत्र में गतिमान आवेश पर लगने वाले बल की दिशा ज्ञात की जाती है – (2012, 13)
(a) दाहिने हाथ के अंगठे के नियम से
(b) फ्लेमिंग के दाएँ हाथ के नियम से
(c) फ्लेमिंग के बायें हाथ के नियम से
(d) ऐम्पियर के नियम से
उत्तर:
(c) फ्लेमिंग के बायें हाथ के नियम से
प्रश्न 7.
एक इलेक्ट्रॉन वेग से एकसमान चुम्बकीय क्षेत्र B के लम्बवत् गति कर रहा है। इलेक्ट्रॉन पर लगने वाला बल होगा – (2011, 13)
(a) ev / B
(b) evB
(c) eB / υ
(d) vB / e
उत्तर:
(b) evB
प्रश्न 8.
किसी धारावाही चालक में बहने वाली धारा। और लम्बाई। को लम्बवत् B तीव्रता वाले चुम्बकीय क्षेत्र में रखा गया है। उस पर लगने वाला बल है (2014, 17)
(a) i /Bl
(b) B/ il
(c) iBl
(d) l/Bi
उत्तर:
(c) iBl
![]()
प्रश्न 9.
B,A और Φ क्रमशः चुम्बकीय क्षेत्र की तीव्रता, क्षेत्रफल व फ्लक्स के संकेत हैं। इनके बीच सम्बन्ध है – (2016)
(a) Φ = B .A
(b) B = Φ ·A
(c) A = B Φ
(d) ABΦ = 1
उत्तर:
(a) Φ = B.A
प्रश्न 10.
विद्युत मोटर परिवर्तित करता है।
(a) विद्युत ऊर्जा को ध्वनि ऊर्जा में
(b) विद्युत ऊर्जा को यान्त्रिक ऊर्जा में।
(c) यान्त्रिक ऊर्जा को विद्युत ऊर्जा में
(d) रासायनिक ऊर्जा को यान्त्रिक ऊर्जा में
उत्तर:
(b) विद्युत ऊर्जा को यान्त्रिक ऊर्जा में
प्रश्न 11.
विद्युत चुम्बकीय प्रेरण में एक कुण्डली में प्रेरित विद्युत वाहक बल अनुक्रमानुपाती होता है –
(a) चुम्बकीय फ्लक्स के
(b) परिपथ के प्रतिरोध के
(c) चुम्बकीय फ्लक्स में परिवर्तन के
(d) चुम्बकीय फ्लक्स में परिवर्तन की दर के
उत्तर:
(d) चुम्बकीय फ्लक्स में परिवर्तन की दर के
प्रश्न 12.
विद्युत धारा उत्पन्न करने की युक्ति है – (2016)
(a) जनित्र
(b) गैल्वेनोमीटर
(c) अमीटर
(d) मोटर
उत्तर:
(a) जनित्र
प्रश्न 13.
डायनमो उत्पन्न करता है – (2016)
(a) आवेश
(b) विद्युत वाहक बल
(c) विद्युत क्षेत्र
(d) चुम्बकीय क्षेत्र
उत्तर:
(b) विद्युत वाहक बल
![]()
प्रश्न 14.
डायनमो परिवर्तित करता है – (2018)
(a) रासायनिक ऊर्जा को विद्युत ऊर्जा में
(b) ध्वनि ऊर्जा को चुम्बकीय ऊर्जा में
(c) यांत्रिक ऊर्जा को विद्युत ऊर्जा में
(d) यांत्रिक ऊर्जा को प्रकाश ऊर्जा में
उत्तर:
(c) यांत्रिक ऊर्जा को विद्युत ऊर्जा में
अतिलघु उत्तरीय प्रश्न
प्रश्न 1.
धारा की दिशा बदलने पर परिनालिका की ध्रुवता पर क्या प्रभाव पड़ता है?
उत्तर:
ध्रुवता भी बदल जाती है।
प्रश्न 2.
चुम्बकीय क्षेत्र की तीव्रता का मात्रक S.I. पद्धति में बताइए। (2011, 16)
उत्तर:
वेबर/मीटर।
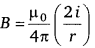
प्रश्न 3.
अनन्त लम्बाई के सीधे धारावाही चालक के कारण उत्पन्न चुम्बकीय क्षेत्र की तीव्रता का सूत्र लिखिए। (2012, 14)
उत्तर:
![]()
जहाँ एक नियतांक है μ0 जिसे वायु या निर्वात की चुम्बकशीलता कहते हैं।
प्रश्न 4.
एकसमान चुम्बकीय क्षेत्र में स्थित धारावाही चालक पर लगने वाले बल का सूत्र लिखिए। (2013, 17)
उत्तर:
Bil sin θ; जबकि θ चालक की चुम्बकीय क्षेत्र से दिशा है।
![]()
प्रश्न 5.
चुम्बकीय क्षेत्र में गतिमान आवेशित कण पर कार्यकारी बल का सूत्र लिखिए। (2014)
उत्तर:
यदि कोई गतिमान आवेशित कण जिसका आवेश q है चुम्बकीय क्षेत्र B की दिशा से कोण θ पर। वेग से गतिमान है तो इस पर लगने वाला बल
F = Bq υ sin θ
प्रश्न 6.
दायें हाथ के अंगूठे का नियम क्या है? (2012, 13)
उत्तर:
यदि हम दायें हाथ में वैद्युत धारा ले जाने वाला तार इस प्रकार पकड़ें कि अँगुलियाँ तार पर लिपटी हों व अँगूठा वैद्युत धारा की दिशा में हो तो लिपटी हुई, अँगुलियों की दिशा चुम्बकीय बल रेखाओं की दिशा होगी।

प्रश्न 7.
चुम्बकीय फ्लक्स का क्या मात्रक है? (2015, 16, 17)
उत्तर:
वेबर या –
![]()
प्रश्न 8.
यदि 100 चक्करों की एक तार की कुण्डली से गुजरने वाले चुम्बकीय फ्लक्स में 2 सेकण्ड में 15 वेबर की वृद्धि होती है, तो कुण्डली में उत्पन्न विद्युत वाहक बल क्या होगा? (2013, 14, 15, 16)
हल:
दिया है, N = 100, Δt = 2 सेकण्ड, ΔΦ = 15 वेबर, e = ?
∴ कुण्डली में उत्पन्न वि० वा० बल e = N \(\frac{\Delta \phi}{\Delta t}\)
= \(\frac{100 \times 15}{2}\)
उत्तर:
= 750 वोल्ट
![]()
प्रश्न 9.
प्रेरित विद्युत वाहक बल को परिभाषित कीजिए। (2014)
उत्तर:
जब किसी बन्द विद्युत परिपथ से बद्ध चुम्बकीय फ्लक्स में परिवर्तन होता है तो उस परिपथ में एक विद्युत वाहक बल उत्पन्न हो जाता है और परिपथ में धारा बहने लगती है यह धारा केवल तभी तक बहती है जब तक कि चुम्बकीय फ्लक्स में परिवर्तन होता रहता है। इस उत्पन्न विद्युत वाहक बल को प्रेरित विद्युत वाहक बल कहते हैं।
प्रश्न 10.
लेन्ज का नियम क्या है ? (2009)
उत्तर:
लेन्ज के नियम के अनुसार, प्रेरित विद्युत वाहक बल सदैव उस कारण का विरोध करता है, जिसके द्वारा बल स्वयं उत्पन्न होता है।
प्रश्न 11.
डायनमो का क्या कार्य है?
उत्तर:
यह यान्त्रिक ऊर्जा को विद्युत ऊर्जा में बदलता है।
प्रश्न 12.
घरों में भेजी जाने वाली ए० सी० (प्रत्यावर्ती धारा) किस वोल्टता तथा किस आवृति की होती है?
या घरों में प्रयुक्त विद्युत धारा की आवृत्ति कितनी होती है ?
उत्तर:
220 वोल्ट तथा 50 हर्ट्स की।
लघु उत्तरीय प्रश्न
प्रश्न 1.
चुम्बकीय बल रेखाओं से क्या तात्पर्य है? चुम्बकीय बल रेखाओं के गुण लिखिए। (2011, 17, 18)
उत्तर:
चुम्बकीय क्षेत्र में बल-रेखाएँ वे काल्पनिक रेखाएँ हैं जो उस स्थान में चुम्बकीय क्षेत्र की दिशा का अविरत प्रदर्शन करती हैं। चुम्बकीय बल-रेखा के किसी भी बिन्दु पर खींची गयी स्पर्श-रेखा उस बिन्दु पर चुम्बकीय क्षेत्र की दिशा को प्रदर्शित करती है। एक समान चुम्बकीय क्षेत्र की बल-रेखाएँ परस्पर समान्तर तथा समदूरस्थ (equidistant) होती हैं। असमान चुम्बकीय क्षेत्र में बल-रेखाओं की सघनता कहीं अधिक व कहीं कम होती है। जिस क्षेत्र में बल-रेखाएँ सघन होती हैं वहाँ चुम्बकीय क्षेत्र की तीव्रता अधिक होती है तथा जिस क्षेत्र में बल-रेखाओं की सघनता कम होती है, वहाँ चुम्बकीय क्षेत्र की तीव्रता कम होती है।
चुम्बकीय बल-रेखाओं के गुण –
- चुम्बकीय बल-रेखाएँ सदैव चुम्बक के उत्तरी ध्रुव से निकलती हैं तथा वक्र बनाती हुई दक्षिणी ध्रुव में प्रवेश करती हैं और चुम्बक के अन्दर से आती हुई पुन: उत्तरी ध्रुव पर वापस आती हैं। इस प्रकार चुम्बकीय बल-रेखाएँ बन्द वक्र के रूप में होती हैं।
- दो बल-रेखाएँ एक-दूसरे को कभी नहीं काटतीं। यदि काटतीं, तो कटान-बिन्दु पर दो स्पर्श-रेखाएँ खींची जा सकती थी अर्थात् उस बिन्दु पर चुम्बकीय क्षेत्र की दो दिशाएँ होती जो कि असम्भव हैं।
- चुम्बक के ध्रुव के समीप जहाँ चुम्बकीय क्षेत्र प्रबल होता है, वहाँ बल-रेखाएँ पास-पास होती हैं। ध्रुव से दूर जाने पर चुम्बकीय क्षेत्र की प्रबलता घटती जाती है तथा बल-रेखाएँ भी परस्पर दूर-दूर होती जाती हैं।
- एकसमान चुम्बकीय क्षेत्र की बल-रेखाएँ परस्पर समान्तर एवं बराबर-बराबर दूरियों पर होती हैं।
प्रश्न 2.
चुम्बकीय क्षेत्र की तीव्रता की परिभाषा लिखिए। चुम्बकीय क्षेत्र की तीव्रता का मात्रक बल तथा धारा के पदों में लिखिए। (2011, 16, 18)
उत्तर:
चुम्बकीय क्षेत्र की तीव्रता किसी चुम्बकीय क्षेत्र की तीव्रता उस बल से व्यक्त की जाती है जो उस स्थान पर चुम्बकीय क्षेत्र के लम्बवत् स्थित एकांक लम्बाई के तार में एकांक प्रबलता की धारा प्रवाहित करने पर तार पर कार्य करता है। हम जानते हैं कि किसी बाह्य चुम्बकीय क्षेत्र से 90° का कोण बनाते हुए धारावाही चालक पर लगने वाला बल
F = Bil या B = \(\frac {F}{i × l}\)
जहाँ F बल, B बाह्य चुम्बकीय क्षेत्र की तीव्रता, i चालक में प्रवाहित धारा तथा। चालक की लम्बाई है।
अत: B का मात्रक =

प्रश्न 3.
बायो सेवर्ट नियम क्या है? (2012, 14, 15, 16)
उत्तर:
बायो सेवर्ट ने प्रयोगों के आधार पर धारावाही चालक से उत्पन्न चुम्बकीय क्षेत्र की तीव्रता का सूत्र प्राप्त किया। इन प्रयोगों के आधार पर धारावाही चालक के एक छोटे खण्ड A द्वारा किसी बिन्दु P पर उत्पन्न चुम्बकीय क्षेत्र B की तीव्रता निम्नलिखित बातों पर निर्भर करती है –
- चालक खण्ड की लम्बाई Δl के अनुक्रमानुपाती होती है अर्थात् B ∝ Δl
- चालक खण्ड में प्रवाहित धारा i के अनुक्रमानुपाती होती है अर्थात् B ∝ i
- चालक खण्ड से बिन्दु की दूरी r के वर्ग के व्युत्क्रमानुपाती होती है अर्थात् B ∝ \(\frac{1}{r^{2}}\)
- धारा की दिशा तथा बिन्दु के बीच के कोण के ज्या के अनुक्रमानुपाती होती है अर्थात् B ∝ sin θ

प्रश्न 4.
मैक्सवेल के दक्षिणावर्त पेंच का नियम क्या है? किरणे आरेख है। धारा सहित व्याख्या कीजिए। (2011)
उत्तर:
यदि हम पेंच कसते समय पेंचकस को दायें हाथ में पकड़कर इस प्रकार। घुमायें कि पेंच की नोंक धारा बहने की दिशा में चले तो जिस दिशा में पेंच को घुमाने के लिए अंगूठा घूमता है, वही चुम्बकीय बल-रेखाओं की दिशा होगी। चित्र में एक। तार में विद्युत-धारा नीचे से ऊपर की ओर बह रही है। पेंच की नोंक को ऊपर की ओर चलाने के लिए दाहिने हाथ के अंगूठे को वामावर्त दिशा में (ऊपर से देखने पर) चलाना पड़ेगा। यही चुम्बकीय-बल रेखाओं की दिशा होगी।

प्रश्न 5.
समरूप चुम्बकीय क्षेत्र में धारावाही चालक पर लगने वाला बल किन बातों पर निर्भर करता है? बल की दिशा किस नियम से ज्ञात की जाती है? (2013, 17)
उत्तर:
माना एक एकसमान बाह्य चुम्बकीय क्षेत्र B में। लम्बाई का एक चालक स्थित है जिसमें। धारा प्रवाहित हो रही है (देखें चित्र)। यदि चालक व चुम्बकीय क्षेत्र B की दिशा के बीच ९ कोण बनता है तो चालक पर लगने वाले बल F का मान –
1. छड़ में प्रवाहित धारा (i) के अनुक्रमानुपाती होता है, अर्थात्
F∝ i
2. बाह्य चुम्बकीय क्षेत्र की प्रबलता (B) के अनुक्रमानुपाती होता है, अर्थात्
F ∝ B
3. चालक छड़ की लम्बाई के अनुक्रमानुपाती होता है, अर्थात्
F ∝ l
4. चालक की लम्बाई एवं चुम्बकीय क्षेत्र की दिशा के बीच बनने वाले कोण (θ) की ज्या (अर्थात् sin θ) के अनुक्रमानुपाती होता है, अर्थात्
F ∝ sin θ
बल की दिशा फ्लेमिंग के बायें हस्त (बायें हाथ) के नियम द्वारा ज्ञात की जाती है।

प्रश्न 6.
किसी चुम्बकीय क्षेत्र में गतिशील आवेशित कण पर लगने वाला बल किन-किन कारकों पर निर्भर करता है? इस बल के लिए आवश्यक सूत्र लिखिए। (2017)
उत्तर:
चुम्बकीय क्षेत्र में गतिशील आवेशित कण पर लगने वाला बल कण के आवेश के परिमाण, चुम्बकीय क्षेत्र के परिमाण, कण के वेग व इसकी गति की दिशा व चुम्बकीय क्षेत्र की दिशा के बीच के कोण पर निर्भर करता है। यदि किसी गतिशील आवेशित कण का आवेश q, वेग। υ है तथा यह B तीव्रता वाले चुम्बकीय क्षेत्र की दिशा से θ कोण बनाते हुए गति करता है तब इस पर लगने वाला बल
F = Bq υ sinθ
![]()
प्रश्न 7.
इलेक्ट्रॉन का आवेश 1.6 x 10-19 कूलॉम है। यह 1000 न्यूटन/ऐम्पियर-मीटर के चुम्बकीय क्षेत्र से 30° के कोण पर 5 x 106 मी/से के वेग से गति कर रहा है। इलेक्ट्रॉन पर आरोपित चुम्बकीय बल की गणना कीजिए। (2011, 13, 14, 16)
हल:
प्रश्नानुसार, q = 1.6 x 10-19 कूलॉम,
B = 1000 न्यूटन/ऐम्पियर-मीटर
θ = 30°, υ = 5 x 106 मी/से, F = ?
सूत्र F = Bq υ sin θ से,
आरोपित चुम्बकीय बल (F) = 1000 x 1.6 x 10-19 x 5 x 106 x sin 30°
= 8.0 x 10-10 x \(\frac {1}{2}\)
उत्तर:
= 4.0 x 10-10 न्यूटन
प्रश्न 8.
1 मीटर लम्बे विद्युत चालक में 2.0 ऐम्पियर की धारा बह रही है। चालक को 2.5 न्यूटन/ऐम्पियर-मीटर तीव्रता वाले चुम्बकीय क्षेत्र में 30° के कोण पर रखा जाता है। चालक पर लगने वाले चुम्बकीय बल की गणना कीजिए। (2009, 11 12, 14, 15, 16, 17, 18)
हल:
प्रश्नानुसार, i = 2.0 ऐम्पियर, l = 1 मीटर,
B = 2.5 न्यूटन/ ऐम्पियर-मीटर, 0 = 30°, F = ?
सूत्र F = Bil sine से,
बल (F) = 2.5 x 2.0 x 1 x sin 30° = 5 x \(\frac {1}{2}\)
उत्तर:
2.5 न्यूटन
प्रश्न 9.
1 मीटर लम्बे तार में कितनी धारा प्रवाहित की जाये कि उसे 1.2 न्यूटन प्रति ऐम्पियर-मीटर के चुम्बकीय क्षेत्र में लम्बवत् रखने से उस पर 0.128 न्यूटन का बल उत्पन्न हो सके? (2012)
हल:
प्रश्नानुसार, F = 0.128 न्यूटन, l = 1 मीटर,
B = 1.2 न्यूटन/ऐम्पियर-मीटर, θ = 90°
सूत्र F = Bil sin θ से,
![]()
उत्तर:
0.11 ऐम्पियर
प्रश्न 10.
1.5 मीटर लम्बे तार में 0.5 ऐम्पियर की धारा बह रही है। यह तार 3.0 न्यूटन/ऐम्पियर-मीटर की तीव्रता वाले समरूप चुम्बकीय क्षेत्र के लम्बवत् रखा जाता है। उस चालक पर लगने वाले बल की गणना कीजिए। (2014, 15, 17, 18)
हल:
प्रश्नानुसार, 1 = 1.5 मीटर, i = 0.5 ऐम्पियर,
B = 3.0 न्यूटन / ऐम्पियर-मीटर, θ = 90°
F = Bil sin θ से, बल F = 3.0 x 0.5 x 1.5 sin 90°
= 2.25 x 1
उत्तर:
= 2.25 न्यूटन
![]()
प्रश्न 11.
चुम्बकीय फ्लक्स से क्या तात्पर्य है? इसका मात्रक बताइए। (2009)
उत्तर:
किसी क्षेत्र के लम्बवत् गुजरने वाली समस्त चुम्बकीय बल – रेखाओं की संख्या को उस क्षेत्र से सम्बद्ध चुम्बकीय फ्लक्स कहते हैं, जिसे से निरूपित किया जाता है। चित्र में चुम्बकीय क्षेत्र के लम्बवत् एक – तल PQRS रखा हुआ है, जिसका क्षेत्रफल A है। यदि चुम्बकीय क्षेत्र की है तीव्रता B हो, तो PORS में से गुजरने वाला सम्पूर्ण चुम्बकीय फ्लक्स Φ = BA यदि PQRS तल चुम्बकीय क्षेत्र से θ कोण बनाए, तो चुम्बकीय फ्लक्स
Φ = BA cos θ

चुम्बकीय फ्लक्स का मात्रक –
M.K.S. पद्धति में का मात्रक = B का मात्रक x A का मात्रक

∴ चुम्बकीय क्षेत्र B का मात्रक न्यूटन/ऐम्पियर-मीटर भी होता है। अतः Φ का एक अन्य मात्रक भी होता है।
Φ का मात्रक = B का मात्रक x A का मात्रक
![]()
= न्यूटन x मीटर/ऐम्पियर
अतः फ्लक्स + का मात्रक वेबर या न्यूटन x मीटर/ऐम्पियर है।
प्रश्न 12.
एक 0.2 मीटर लम्बे तार में 2 ऐम्पियर की धारा प्रवाहित हो रही है। तार के 0.5 मीटर दूर बिन्दु पर चुम्बकीय क्षेत्र की तीव्रता ज्ञात कीजिए। (u = 10-7 न्यूटन/ऐम्पियर)
हल:
चुम्बकीय क्षेत्र की तीव्रता B = img
प्रश्नानुसार, \(\frac{\mu_{0}}{4 \pi}=10^{-7}\) न्यूटन/ऐम्पियर
i = 2 ऐम्पियर, l = 0.2 मीटर, r = 0.5 मीटर, sin 0 = sin 90° = 1
![]()
उत्तर:
= 1.6 x 10-7 न्यूटन/ऐम्पियर-मीटर
प्रश्न 13.
एक लम्बे सीधे तार में 3.0 ऐम्पियर विद्युत धारा प्रवाहित हो रही है। तार से 50 सेमी दूर स्थित बिन्दु पर चुम्बकीय क्षेत्र की तीव्रता (चुम्बकीय फ्लक्स घनत्व) ज्ञात कीजिए। (2009, 11, 12, 15, 16, 17)
हल:
प्रश्नानुसार, i = 3.0 ऐम्पियर, r = 50 सेमी = 0.5 मीटर
∴ चुम्बकीय क्षेत्र की तीव्रता = \(\frac{\mu_{0}}{4 \pi} \frac{2 i}{r}\) (∴ चालक की लम्बाई अनन्त है)
= \(\frac {2i}{r}\) x 10-7 न्यूटन/ऐम्पियर-मीटर (∴ μ0 = 4 x x 10-7 न्यूटन/ऐम्पियर)
= \(\frac{2 \times 3.0}{0.5} \times 10^{-7}\)
उत्तर:
= 12 x 10-7 न्यूटन/ऐम्पियर-मीटर
प्रश्न 14.
50 फेरों वाली एवं 0.5 मीटर क्षेत्रफल वाली तार की एक कुण्डली को 2 x 10-2 न्यूटन/ऐम्पियर-मीटर के समचुम्बकीय क्षेत्र में रखने पर कुण्डली से सम्बद्ध फ्लक्स कितना होगा? यदि कुण्डली का तल क्षेत्र के –
1. लम्बवत् हो
2. अनुदिश हो तथा
3. 30° का कोण बनाता है।
हल:
प्रश्नानुसार,
A = 0.5 मी2, B = 2 x 10-2 न्यूटन/ऐम्पियर-मीटर, N = 50
1. जब कुण्डली का तल क्षेत्र के लम्बवत् है, तो θ = 90°
सूत्र Φ = NBA cos θ, से
Φ = NBA cos 90° = 0 (∴ cos 90° = 0)
2. जब कुण्डली का तल क्षेत्र के अनुदिश है तो θ =0°
∴ Φ = NBA cos θ = 50 x 2 x 10-2 x 0.5 x 1 (∴ cos 0° = 1)
उत्तर:
= 0.5 वेबर
3. कुण्डली का तल क्षेत्र से 30° का कोण बनाता है।
Φ = NBA cos θ = 50 x 2 x 10-2 x 0.5 x cos 30°
= \(0.5 \times \frac{\sqrt{3}}{2}\)
= \(\frac{0.5 \times 1.73}{2}\)
उत्तर:
= 0.43 वेबर
![]()
प्रश्न 15.
1000 फेरों वाली एक वृत्ताकार कुण्डली 0.32 वेबर प्रति मीटर वाले चुम्बकीय क्षेत्र में स्थापित है। इसे 0.2 सेकण्ड के अन्तराल में क्षेत्र से बाहर कर दिया जाता है। कुण्डली से सम्बद्ध चुम्बकीय फ्लक्स में परिवर्तन की गणना कीजिए तथा इससे उत्पन्न विद्युत वाहक बल की भी गणना कीजिए। कुण्डली का क्षेत्रफल 0.09 वर्ग मीटर है। (2015, 16)
हल:
कुण्डली से बद्ध चुम्बकीय फ्लक्स क Φ = NBA
जहाँ B = 0.32 वेबर/मी2 तथा A = 0.09 मी2
= 1000 x 0.32 x 0.09 = 28.8 वेबर
∴ चुम्बकीय फ्लक्स में परिवर्तन = Φ1 – Φ2 = 28.8 – 0 = 28.8 वेबर
(चूँकि कुण्डली चुम्बकीय क्षेत्र से बाहर हो जाती है ∴ Φ2 = 0)
![]()
\(\frac {28.8}{0.2}\)
उत्तर:
= 144 वोल्ट
प्रश्न 16.
वैद्युत मोटर व वैद्युत जनित्र के बीच क्या अन्तर है? (2014, 17)
उत्तर:
विद्युत मोटर इस सिद्धान्त पर कार्य करता है कि चुम्बकीय क्षेत्र में रखी कुण्डली में विद्युत धारा प्रवाहित करने पर कुण्डली पर एक बल-युग्म कार्य करता है; जो कुण्डली को उसकी अक्ष के परित: घुमाने का प्रयास करता है। कुण्डली घूमने के लिए स्वतन्त्र होने के कारण वह घूमने लगती है। मोटर, फ्लेमिंग के वाम-हस्त नियम (Fleming’s left hand rule) पर कार्य करता है। यह विद्युत ऊर्जा को यान्त्रिक ऊर्जा में बदलता है।
विद्युत जनित्र (डायनमो) का सिद्धान्त यह है कि जब किसी बन्द कुण्डली को चुम्बकीय क्षेत्र में तेजी से घुमाया जाता है, तो उसमें से गुजरने वाली फ्लक्स रेखाओं में निरन्तर परिवर्तन होता रहता है, जिसके कारण कुण्डली में एक प्रेरित वि० वा० बल और बाह्य परिपथ व कुण्डली में प्रेरित विद्युत धारा बहती है। जनित्र, फ्लेमिंग के दायें हाथ के नियम (Fleming’s right hand rule) पर कार्य करता है। यह यान्त्रिक ऊर्जा को विद्युत ऊर्जा में बदलता है।
प्रश्न 17.
दिष्टधारा एवं प्रत्यावर्ती धारा में अन्तर स्पष्ट कीजिए। (2017)
उत्तर:
दिष्ट धारा (Direct current) दिष्ट धारा वह वैद्युत धारा है जिसका परिमाण नियत रहता है तथा परिपथ के किसी बिन्दु में को एक ही दिशा में प्रवाहित होती रहती है। प्राथमिक तथा संचायक सेलों द्वारा प्राप्त धारा, दिष्ट धारा ही होती है। प्रत्यावर्ती धारा (Alternating current) प्रत्यावर्ती धारा वह धारा है जिसका परिमाण आवर्त रूप से बदलता रहता है तथा दिशा बार-बार उत्क्रमित होती है रहती है।

वैद्युत जनित्र अथवा डायनमो द्वारा प्राप्त धारा प्रत्यावर्ती धारा ही होती है। यदि प्रत्यावर्ती धारा के परिमाण व समय के बीच ग्राफ खींचे तो वह एक ज्या-वक्र (sine curve) के रूप में आता है (देखें चित्र)। इस वक्र का भाग विद्युत जनित्र की कुण्डली के एक चक्कर को निरूपित करता है। इससे स्पष्ट है कि कुण्डली के प्रत्येक चक्कर में धारा की दिशा दो बार उत्क्रमित होती है।
दीर्घ उत्तरीय प्रश्न
प्रश्न 1.
चुम्बकीय क्षेत्र में स्थित धारावाही चालक पर लगने वाले बल का सूत्र प्राप्त कीजिए। (2016) या
यदि कोई धारावाही चालक चुम्बकीय क्षेत्र के –
1. समान्तर
2. लम्बवत्
3. 60°
का कोण बनाते हुए रखा जाये तो चालक पर लगने वाले बल का सूत्र लिखिए। (2011, 13, 14, 15)
उत्तर:
यदि। लम्बाई का धारावाही चालक, जिसमें प्रवाहित धारा। है B चुम्बकीय क्षेत्र में, क्षेत्र से e कोण पर रखा हो तो उस पर लगने वाला बल
F = Bil sin θ
1. चालक, बाह्य चुम्बकीय क्षेत्र के समान्तर हो इस स्थिति में θ का मान शून्य होने के कारण sin θ का मान शून्य होगा। अतः चालक पर लगने वाला बल शून्य (न्यूनतम) होगा।
2. चालक, बाह्य चुम्बकीय क्षेत्र के लम्बवत् हो इस स्थिति में θ का मान 90° होने के कारण sin θ का मान 1 (अधिकतम) होगा। अत: चालक पर लगने वाला बल,
F = Bil sin θ या F = Bil sin 90° या F = Bil x 1 या F = Bil
अतः इस दशा में लगने वाला बल अधिकतम होगा।
3. चालक बाह्य चुम्बकीय क्षेत्र से 60° का कोण बनाता हो इस स्थिति में θ का मान 60° होने के कारण sin θ का मान \(\frac{\sqrt{3}}{2}\) होगा। अत: चालक पर लगने वाला बल, F = Bil sin θ या F = Bil sin 60° या F = Bil x \(\frac{\sqrt{3}}{2}\) या F = \(\frac{\sqrt{3}}{2}\) Bil
प्रश्न 2.
एक इलेक्ट्रॉन 1200 न्यूटन प्रति ऐम्पियर-मीटर के चुम्बकीय क्षेत्र में 2 x 104 मीटर प्रति सेकण्ड के वेग से प्रवेश करता है। इलेक्ट्रॉन पर लगने वाले बल के परिमाण की गणना कीजिए, यदि वह –
1. क्षेत्र के लम्बवत्
2. क्षेत्र के समान्तर
3. क्षेत्र से 30° का कोण बनाते हुए प्रवेश करे (2016, 18)
(इलेक्ट्रॉन का आवेश = 1.6 x 10-19 कूलॉम)
हल:
चुम्बकीय क्षेत्र B में υ वेग से गतिमान आवेशित कण पर लगने वाला बल = q uB sin θ
जहाँ q कण का आवेश तथा θ चुम्बकीय क्षेत्र B व आवेशित कण के वेग के बीच कोण है।
यहाँ q =1.6 x 10-19 कूलाम, y =2 x 104 मी/सेकण्ड, B = 1200 न्यूटन/ऐम्पियर-मीटर
1. यदि θ = 90° (क्षेत्र के लम्बवत्)
तो अभीष्ट बल F =1.9 x 10-19 x 2 x 104x 1200 x sin 90°
= 4560 x 10-15 x 1 (∴ sin 90° = 1)
= 4.56 x 10-12 न्यूटन
2. यदि θ = 0° (क्षेत्र के समान्तर)
तो अभीष्ट बल F = q vB sinθ = 0 (∴ sin θ = 0)
3. यदि θ = 30°
तो अभीष्ट बल F = 1.9 x 10-19 x 2 x 104 x 1200 . sin 30°
= 4.56 x 10-12 x \(\frac {1}{2}\) न्यूटन
उत्तर:
= 2.28 x 10-12 न्यूटन
![]()
प्रश्न 3.
एक इलेक्ट्रॉन जिसका द्रव्यमान 9x 10-31 किग्रा व आवेश – 1.6 x 10-19 कूलॉम है, x-अक्ष के समान्तर 3 x 106 मी/से के वेग से गति करता हुआ z – अक्ष के समान्तर कार्यरत 0.3 वेबर/मीटर के चुम्बकीय क्षेत्र में प्रवेश करता है। उस पर कार्य करने वाले बल, त्वरण एवं त्वरण की दिशा ज्ञात कीजिए
(2013, 17)

हल:
दिया है,
q = 1.6 x 10-19 कूलॉम,
υ = 3x 106 मी/से,
B = 0.3 वेबर/मी2
F = ?
तथा θ = 90°
लारेंज बल के सूत्र F = B qυ sin θ से,
इलेक्ट्रॉन पर बल F = 0.3 x 1.6 x 10-19 x 3 x 106 x sin 90°
1.44 x 10-13 न्यूटन। (∴ sin 90° = 1)
तथा बल की दिशा इलेक्ट्रॉन की गति की दिशा तथा चुम्बकीय क्षेत्र दोनों की दिशा के लम्बवत् Y – अक्ष की दिशा में होगी। पुन: F = 1.44 x 10-13 न्यूटन, m = 9 x 10-31 किग्रा
∴ सूत्र F =ma से,
उत्पन्न त्वरण = \(\frac {F}{m}\)
= \(\frac{1.44 \times 10^{-13}}{9 \times 10^{-31}}\)
उत्तर:
= 1.6 x 1017 मी/से2
प्रश्न 4.
विद्युत चुम्बकीय प्रेरण से क्या तात्पर्य है? प्रयोग द्वारा इसे कैसे प्रदर्शित करेंगे? (2014, 16, 17)
उत्तर:
जब किसी बन्द विद्युत परिपथ से बद्ध चुम्बकीय फ्लक्स में परिवर्तन होता है, तो उस परिपथ में एक विद्युत वाहक बल उत्पन्न हो जाता है और परिपथ में धारा बहने लगती है। यह धारा केवल तभी तक बहती है; जब तक कि चुम्बकीय फ्लक्स में परिवर्तन होता रहता है। इस क्रिया को वैद्युत चुम्बकीय प्रेरण, उत्पन्न विद्युत वाहक बल को प्रेरित विद्युत वाहक बल तथा उत्पन्न धारा को प्रेरित विद्युत धारा कहते हैं।
चुम्बकीय प्रेरण सम्बन्धी फैराडे का प्रयोग विद्युत चुम्बकीय प्रेरण को निम्नलिखित प्रयोग द्वारा दिखाया जा सकता है प्रयोग पृथक्कित ताँबे के तार की गत्ते के खोखले बेलन पर एक कुण्डली बनाकर धागमापी से जोड़ देते हैं। यदि किसी चुम्बक का उत्तरी ध्रुव कुण्डली की ओर को तेजी से ले जाया जाता है, तो धारामापी में क्षणिक विक्षेप होता है |चित्र (a)]। जब इस चुम्बक को वापस कुण्डली से दूर हटाते हैं; तब भी धारामापी में क्षणिक विक्षेप होता है, परन्तु वह पिछले विक्षेप से विपरीत दिशा में होता है [चित्र (b)]।
![]()
यदि इसी कुण्डली की ओर चुम्बक का दक्षिणी ध्रुव लाया जाए या दूर हटाया जाए, तो भी धारामापी में क्षणिक विक्षेप होता है; परन्तु यह विक्षेप चित्र (a) व (b) वाली दिशा की अपेक्षा विपरीत दिशा में होता है [चित्र (c) तथा (d)] धारामापी में विक्षेप तभी तक होता है; जब तक चुम्बक व कुण्डली में आपेक्षिक गति होती है। दोनों के स्थिर रहने या दोनों के समान वेग से एक दिशा में चलने पर धारामापी में विक्षेप नहीं होता है। चुम्बक को जितनी तेजी से चलाया जाता है धारामापी में विक्षेप उतना ही अधिक होता है तथा यदि कुण्डली में फेरों की संख्या बढ़ा दी जाए, तो धारामापी में विक्षेप बढ़ जाता है।

नोट:
उपर्युक्त चित्रों में चुम्बक के दोनों ध्रुव दिखाने के स्थान पर एक ही ध्रुव दिखाया गया है। इस प्रयोग से स्पष्ट है कि धारामापी वाले परिपथ में सेल न होने पर भी धारामापी में क्षणिक विक्षेप होता है, जिससे विद्युत चुम्बकीय प्रेरण का प्रदर्शन होता है।
प्रश्न 5.
फैराडे के विद्युत चुम्बकीय प्रेरण के नियम लिखिए। प्रेरित विद्युत धारा की दिशा ज्ञात करने के सम्बन्ध में फ्लेमिंग का नियम लिखिए। (2012, 14, 15, 16, 18)
या फैराडे के विद्युत चुम्बकीय प्रेरण के नियमों की व्याख्या कीजिए। प्रेरित धारा की दिशा कैसे ज्ञात की जाती है? (2012, 16, 18)
या फैराड़े के विद्युत चुम्बकीय प्रेरण के नियम बताइए तथा प्रेरित विद्युत वाहक बल का सत्र लिखिए। (2009, 11)
या फ्लेमिंग के दाएँ हाथ का नियम लिखिए। (2015, 16)
उत्तर:
फैराडे के विद्युत चुम्बकीय प्रेरण सम्बन्धी दो नियम निम्नवत हैं –
प्रथम नियम “जब किसी बन्द कुण्डली (coil) में से होकर जाने वाली चुम्बकीय बल रेखाओं (चुम्बकीय फ्लक्स) में परिवर्तन होता है, तो उस कुण्डली में प्रेरित विद्युत वाहक बल उत्पन्न होता है; जो केवल उसी समय तक रहता है, जब तक चुम्बकीय फ्लक्स में परिवर्तन होता रहता है।” द्वितीय नियम “किसी कुण्डली में उत्पन्न प्रेरित विद्युत वाहक बल का परिमाण कुण्डली में होकर जाने वाली बल रेखाओं की संख्या (चुम्बकीय फ्लक्स) के परिवर्तन की दर के अनुक्रमानुपाती होता है।” यदि किसी कुण्डली से गुजरने वाले चुम्बकीय फ्लक्स का मान Φ1 व बहुत कम समयान्तर Δt के बाद उसमें से गुजरने वाले
चुम्बकीय फ्लक्स का मान Φ1 हो, तो
![]()
कुण्डली में फ्लक्स के परिवर्तन की दर = \(\frac{\phi_{2}-\phi_{1}}{\Delta t}\)
अतः प्रेरित विद्युत वाहक बल (e) =\(\frac{\phi_{2}-\phi_{1}}{\Delta t}\)
अथवा e = K \(\frac{\left(\phi_{2}-\phi_{1}\right)}{\Delta t}\)
जहाँ K एक नियतांक है। यदि K = 1 तो, e = \(\frac{\left(\phi_{2}-\phi_{1}\right)}{\Delta t}\) वोल्ट
प्रेरित धारा की दिशा फ्लेमिंग के दायें हाथ के नियम से ज्ञात की जाती है।

फ्लेमिंग के दायें हाथ का नियम यदि किसी चालक को चुम्बकीय क्षेत्र चुम्बकीय क्षेत्र में गति करायें, तो उसमें प्रेरित विद्युत वाहक बल की दिशा 90° उत्पन्न हो जाता है और यदि परिपथ बन्द हो, तो परिपथ में – प्रेरित विद्युत धारा प्रवाहित होने लगती है; जिसकी दिशा को 90° फ्लेमिंग के दाएँ हाथ वाले नियम से ज्ञात किया जा सकता है। प्रेरित धारा ! की दिशा RAM इस नियम के अनुसार, “यदि हम अपने दाएँ हाथ की तर्जनी, मध्यमा अंगुली तथा अँगूठे को एक-दूसरे के लम्बवत् फैलाकर रखें और यदि तर्जनी अंगुली चुम्बकीय क्षेत्र की दिशा, अंगूठा चालक की गति की दिशा में संकेत करे, तो मध्यमा अँगुली प्रेरित विद्युत धारा की दिशा प्रदर्शित करेगी (देखें चित्र)।
प्रश्न 6.
दिष्ट धारा जनित्र की क्रिया-विधि का सचित्र वर्णन करें। इसकी रचना एवं सिद्धान्त का भी उल्लेख करें। (2013, 17)
या दिष्ट धारा जनित्र का सिद्धान्त स्पष्ट कीजिए तथा इसकी संरचना व कार्य-प्रणाली दिष्ट धारा जा का सचित्र वर्णन कीजिए। (2009, 12, 13, 14, 16, 17, 18)
उत्तर:
दिष्ट धारा जनित्र की संरचना इसमें निम्नलिखित तीन भाग होते हैं –
1. क्षेत्र चुम्बक (Field magnets) N-S एक शक्तिशाली चुम्बक के ध्रुव खण्ड (Pole pieces) हैं। इस चुम्बक का कार्य एक शक्तिशाली चुम्बकीय क्षेत्र उत्पन्न करना है, जिसमें कुण्डली घूमती है।

2. आर्मेचर कुण्डली (Armature Coil) यह एक कच्चे लोहे के बेलन पर ताँबे के पृथक्कित तार के बहुत से चक्करों को लपेटकर बनायी जाती है। N-S
3. विभक्त वलय तथा बुश (Split rings and bushes) विभक्त वलय ताँबे के खोखले बेलन को लम्बाई के अनुदिश काटकर बनाए जाते हैं। कुण्डली के ऊपर लिपटे तार का एक सिरा एक विभक्त वलय S1 तथा दूसरा सिरा दूसरे विभक्त वलय S2 से जोड़ दिया जाता है।
S1 व S2 को कार्बन के दो बुश B1 तथा B2 लगातार छूते रहते हैं तथा इसका सम्बन्ध बाह्य परिपथ से रहता है। सिद्धान्त सिद्धान्त के लिए ‘अभ्यास के अन्तर्गत दिए गए प्रश्नोत्तर’ के प्रश्न 16 का उत्तर (सिद्धान्त) देखें।
![]()
कार्य-विधि (Working):
चित्र में ABCD एक कुण्डली है, जो दक्षिणावर्त दिशा में घुमायी जा रही है। कुण्डली के घूर्णन के कारण उससे गुजरने वाले चुम्बकीय फ्लक्स में लगातार परिवर्तन होता रहता है, जिससे कुण्डली में विद्युत चुम्बकीय प्रेरण से प्रेरित विद्युत धारा उत्पन्न होती है। कुण्डली में धारा की दिशा फ्लेमिंग के दाएँ हाथ के नियम से ज्ञात की जा सकती है। कुण्डली चित्र में दिखायी स्थिति (कुण्डली की क्षैतिज स्थिति) से आधा चक्कर पूरा करने तक बाह्य परिपथ में धारा की दिशा B2 से B1की ओर रहती है।
आधा चक्कर पूरा होने पर धारा की दिशा उलट जाती है। उसके बाद कुण्डली के घूर्णन के कारण S1 धनात्मक तथा S2 ऋणात्मक हो जाता है, परन्तु उसी समय S1 का सम्बन्ध B2 से तथा S2 का सम्बन्ध B1 से हो जाता है। अत: B2 धनात्मक तथा B1 ऋणात्मक ही रहते हैं तथा बाहरी परिपथ में धारा B2 से B1 की ओर ही प्रवाहित होती है। इस प्रकार बाह्य परिपथ में कुण्डली के पूरे चक्कर में धारा सदैव एक ही दिशा में बहती रहती है। इस प्रकार डायनमो से प्राप्त धारा के लिए यदि विद्युत वाहक बल तथा कुण्डली के घूर्णन कोण के बीच ग्राफ खींचा जाए, तो वह चित्र की आकृति का होता है।

इस प्रकार के डायनमो से प्राप्त विद्युत वाहक बल तथा प्रेरित धारा समान दिशा की अवश्य होती है, परन्तु उसका मान विभिन्न घूर्णन कोणों पर एक समान नहीं होता है या हम यह भी कह सकते हैं कि धारा या विद्युत वाहक बल का मान समय के साथ बदलता रहता है, स्थिर नहीं रहता। इस दोष को दूर करने के लिए विभिन्न तलों में विभिन्न कुण्डलियाँ बनाते हैं। उनसे प्राप्त विद्युत वाहक बल या धारा का मान समय के साथ बदलता नहीं है, अर्थात् स्थिर विद्युत वाहक बल प्राप्त होता है।