Bihar Board Class 11 Chemistry Solutions Chapter 12 कार्बनिक रसायन : कुछ आधारभूत सिद्धान्त तथा तकनीकें तत्त्व Textbook Questions and Answers, Additional Important Questions, Notes.
BSEB Bihar Board Class 11 Chemistry Solutions Chapter 12 कार्बनिक रसायन : कुछ आधारभूत सिद्धान्त तथा तकनीकें
Bihar Board Class 11 Chemistry कार्बनिक रसायन : कुछ आधारभूत सिद्धान्त तथा तकनीकें Text Book Questions and Answers
अभ्यास के प्रश्न एवं उनके उत्तर
प्रश्न 12.1
निम्नलिखित यौगिकों में प्रत्येक कार्बन की संकरण अवस्था बताइए –
CH2 = C = O, CH3CH = CH2, (CH3)2CO.CH2 = CHCN, C6H6
उत्तर:

![]()
प्रश्न 12.2
निम्नलिखित अणुओं में तथा आबन्ध दर्शाइए –
C6H6, C6H12, CH2, Cl2, CH2 = C = CH2, CH3NO2, HCONHCH3
उत्तर:
C6H6

C6H12


प्रश्न 12.3
निम्नलिखित यौगिकों के आंबध-रेखा-सूत्र लिखिए।
आइसोप्रोपिल ऐल्कोहॉल, 2, 3-डाइमेथिल ब्यूटेनेल, हेप्टेन-4-ओन
उत्तर:
आइसोप्रोपिल ऐल्कोहॉल:

2,3 – डाइथिल व्यूटेनेल:

हेप्टेन-4-ओन:

![]()
प्रश्न 12.4
निम्न यौगिकों के IUPAC नाम लिखिए –

उत्तर:

प्रश्न 12.5
निम्नलिखित यौगिकों में से कौन-सा नाम IUPAC पद्धति के अनुसार सही है?
(क) 2, 2 – डाइएथिलपेन्टेन अथवा 2 – डाइमेथिलपेन्टेन
(ख) 2, 4, 7 – ट्राइमेथिलऑक्टेन अथवा 2, 5, 7 ट्राइमेथिलऑक्टेन
(ग) 2 – क्लोरी – 4 – मेथिलपेन्टेन अथवा 4 – क्लोरो – 2 मेथिलपेन्टेन
(घ) ब्यूट – 3 – आइन – 1 – ऑल अथवा ब्यूट – 4 – ऑल – 1 – आइन
उत्तर:
(क) 2, 2 – डाइएथिलपेन्टेन:

(ख) 2, 4, 7 – ट्राइमेथिल ऑक्टेन:

(ग) 2 – क्लोरो – 4 – मेथिलपेन्टेन:

(घ) ब्यूट – 3 – आइन – 1 – ऑल:
![]()
प्रश्न 12.6
निम्नलिखित दो सजातीय श्रेणियों में से प्रत्येक के प्रथम पाँच सजातों के संरचना-सूत्र लिखिए –
(क) H – COOH
(ख) CH3COCH3
(ग) H – CH = CH2
उत्तर:
(क)

(ख) CH3COCH3

(ग) H – CH = CH2

![]()
प्रश्न 12.7
निम्नलिखित के संघनित और आबन्ध रेखा-सूत्र लिखिए तथा उनमें यदि कोई क्रियात्मक समूह हो तो उसे पहचानिए –
(क) 2, 2, 4 – ट्राइमेथिलपेन्टेन
(ख) 2 – हाइड्रॉक्सी – 1, 2, 3 – प्रोपेनड्राइ – कार्बोक्सिलिक अम्ल
(ग) हेक्सेनडाइएल
उत्तर:
(क) संघनित सूत्र –

आबन्ध रेखा सूत्र –

(ख) संघनित सूत्र –

आबन्ध रेखा सूत्र –

क्रियात्मक समूह –

(ग) संघनित सूत्र –

आबन्ध रेखा सूत्र –

क्रियात्मक समूह –

![]()
प्रश्न 12.8
निम्नलिखित यौगिकों में क्रियात्मक समूह पहचानिए –

उत्तर:

प्रश्न 12.9
निम्नलिखित में से कौन अधिक स्थायी है तथा क्यों? O2NCH2CH2O– और CH3CH2O–
उत्तर:
O2NCH2CH2O– में -1 प्रभाव वाला -NO2 समूह ऋणायन पर ऋण-आवेश घटा देता है जिससे यह स्थाई हो जाता है दूसरी ओर CH3CH2O– में +1 प्रभाव होता है और ऋणायन पर ऋण-आवेश बढ़ा देता है जिससे यह अस्थाई हो जाता है।
प्रश्न 12.10
निकाय से आबन्धित होने पर ऐल्किल समूह इलेक्ट्रॉन दाता की तरह व्यवहार प्रदर्शित क्यों करते हैं? समझाइए।
उत्तर:
ऐल्किल समूह sp3 – संकरण होता है, जबकि π – निकाय से सम्बन्धित होने पर यह sp2 – संकरण में परिवर्तित हो जाता है जो अधिक विद्युत ऋणात्मक होता है। अतः ऐल्किल समूह इलेक्ट्रॉन दाता की तरह व्यवहार प्रदर्शित करता है।
प्रश्न 12.11
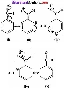
निम्नलिखित यौगिकों की अनुनाद संरचना लिखिए तथा इलेक्ट्रॉनों का विस्थापन मुड़े तीरों की सहायता से दशाइए =
(क) C6H5OH
(ख) C6H5NO2
(ग) CH3CH = CHCHO
(घ) C6H5 – CHO
(डं) CH6CH2+
(च) CH3CH+2
उत्तर:
(क)

(ख)

(ग)

(घ)

(डं)

(च)

![]()
प्रश्न 12.12
इलेक्ट्रॉनस्नेही तथा नाभिकस्नेही क्या हैं? उदाहरण सहित समझाइए।
उत्तर:
नाभिकस्नेही और इलेक्ट्रॉनस्नेही (Nucleophiles and Electrophiles):
इलेक्ट्रॉन-युग्म प्रदान करने वाला अभिकर्मक ‘नाभिकस्नेही’ (nucleophile, Nu:) अर्थात् ‘नाभिक खोजने वाला’ कहलाता है तथा अभिक्रिया ‘नाभिकस्नेही अभिक्रिया’ (nucleophilic reaction) कहलाती है। इलेक्ट्रॉन युग्म ग्रहण करने वाले अभिकर्मक का इलेक्ट्रॉनस्नेही (electrophile E+), अर्थात् ‘इलेक्ट्रॉन चाहने वाला’ कहते हैं और अभिक्रिया ‘इलेक्ट्रॉनस्नेही अभिक्रिया’ (electrophilic reaction) कहलाती है।
ध्रुवीय कार्बनिक अभिक्रियाओं में क्रियाधारक के इलेक्ट्रॉनस्नेही के केन्द्र पर नाभिकस्नेही आक्रमण करता है। यह क्रियाधारक का विशिष्ट परमाणु अथवा इलेक्ट्रॉन न्यून भाग होता है। इसी प्रकार क्रियाधारकों के इलेक्ट्रॉनधनी नाभिकस्नेही केन्द्र पर इलेक्ट्रॉनस्नेही आक्रमण करता है अतः आबन्धन अन्योन्यक्रिया के फलस्वरूप इलेक्ट्रॉनस्नेही से इलेक्ट्रॉन-युग्म प्राप्त करता है।
नाभिकस्नेही से इलेक्ट्रॉनस्नेही की ओर इलेक्ट्रॉनों का संचलन वक्र तीर द्वारा प्रदर्शित किया जाता है। नाभिकस्नेही के उदाहरणों में हाइड्रॉक्साइड (OH–), सायनाइड आयन (CN–) तथा कार्बऋणायन (R3C– ) कुछ आयन सम्मिलित हैं। इसके अतिरिक्त कुछ उदासीन अणु (जैसे –
आदि) भी एकाकी इलेक्ट्रॉन-युग्म की उपस्थिति के कारण नाभिकस्नेही की भाँति कार्य करते हैं।
इलेक्ट्रॉनस्नेही के उदाहरणों में कार्बधनायन (C+H3) और कार्बोनिल समूह (>C = 0) अथवा ऐल्किल हैलाइड (R3C – X, X = हैलोजन परमाणु) वाले उदासीन अणु सम्मिलित हैं। कार्बधनायन का कार्बन केवल षष्टक होने के कारण इलेक्ट्रॉन-न्यून होता है तथा नाभिकस्नेही से इलेक्ट्रॉन-युग्म, ग्रहण कर सकता है। ऐल्किल हैलाइड का कार्बन आबन्ध ध्रुवता के कारण इलेक्ट्रॉनस्नेही-केन्द्र बन जाता है। जिस पर नाभिकस्नेही आक्रमण कर सकता है।
प्रश्न 12.13
निम्नलिखित समीकरणों में रेखांकित किए गए अभिकर्मकों को नाभिकस्नेही तथा इलेक्ट्रॉनस्नेही में वर्गीकृत कीजिए –

उत्तर:
(क) OH– नाभिकस्नेही है।
(ख) CN– नाभिकस्नेही है।
(ग) CH3CO+ इलेक्ट्रॉनस्नेही है।
प्रश्न 12.14
निम्नलिखित अभिक्रियाओं को वर्गीकृत कीजिए –

उत्तर:
(क) नाभिकस्नेही प्रतिस्थापन अभिक्रिया।
(ख) इलेक्ट्रॉनस्नेही संकलन अभिक्रिया।
(ग) विलोपन अभिक्रिया।
(घ) नाभिकस्नेही प्रतिस्थापन अभिक्रिया।
![]()
प्रश्न 12.15
निम्नलिखित युग्मों में सदस्य-संरचनाओं के मध्य कैसा सम्बन्ध है? क्या ये संरचनाएँ संरचनात्मक या ज्यामितीय समावयव अथवा अनुनाद संरचनाएँ हैं –

उत्तर:
(क) ये स्थान समावयव हैं।
(ख) ये ज्यामितीय समावयव हैं।
(ग) ये अनुनादी संरचनाएँ हैं।
प्रश्न 12.16
निम्नलिखित आबन्ध विदलनों के लिए इलेक्ट्रॉन विस्थापन को मुड़े तीरों द्वारा दर्शाइए तथा प्रत्येक विदलन को समांश अथवा विषमांश में वर्गीकृत कीजिए। साथ ही निर्मित सक्रिय मध्यवर्ती उत्पादों में मुक्त-मूलक, कार्बधनायन तथा कार्बऋणायन पहचानिए –

उत्तर:

प्रश्न 12.17
निम्नलिखित कार्बोक्सिलिक अम्लों की अम्लता का सही क्रम कौन-सा इलेक्ट्रॉन-विस्थापन वर्णित करता है? प्रेरणिक तथा इलेक्ट्रोमेरी प्रभावों की व्याख्या कीजिए।
(क) Cl3CCOOH > Cl2CHCOOH > ClCH2 COOH
(ख) CH3CH2COOH > (CH3)2 CHCOOH > (CH3)3 C.COOH
उत्तर:
प्रेरणिक प्रभाव (Inductive Effect):
भिन्न विद्युत-ऋणात्मकता के दो परमाणुओं के मध्य सहसंयोजक आबन्ध में इलेक्ट्रॉन असमान रूप से हसभाजित होते हैं। इलेक्ट्रॉन घनत्व उच्च विद्युत ऋणात्मकता के परमाणु के ओर अधिक होता है। इस कारण सहसंयोजक आबन्ध ध्रुवीय हो जाता है। आबन्ध ध्रुवता के कारण कार्बनिक अणुओं में विभिन्न इलेक्ट्रॉनिक प्रभाव उत्पन्न होते हैं।
उदाहरणार्थ-क्लोरोएथेन (CH3CH2Cl) में C – Cl बन्ध ध्रुवीय है। इसकी ध्रुवता के कारण कार्बन क्रमांक-1 पर आंशिक धनावेश (δ+) तथा क्लोरीन पर आंशिक ऋणावेश (δ–) उत्पन्न हो जाता है। आंशिक आवेशों को दर्शाने के के लिए (डेल्टा) चिह्न प्रयुक्त करते हैं। आबन्ध में इलेक्ट्रॉन-विस्थापन दर्शाने के लिए तीर (→) का उपयोग किया जाता है, जो δ+ से δ– की ओर आमुख होता है।

कार्बन-1 अपने आंशिक धनावेश के कारण पास के C – C आबन्ध के इलेक्ट्रॉनों को अपनी ओर आकर्षित करने लगता है। फलस्वरूप कार्बन – 2 पर भी कुछ धनावेश (∆+) उत्पन्न हो जाता है। C – 1 स्थित धनावेश की तुलना में ∆+ अपेक्षाकृत कम धनावेश दर्शाता है। दूसरे शब्दों में C – Cl की ध्रुवता के कारण पास के आबन्ध में ध्रुवता उत्पन्न हो जाती है। समीप के σ – आबन्ध के कारण अगले-आबन्ध की ध्रुवीय होने की प्रक्रिया प्रेरणिक प्रभाव (inductive effect) कहलाती है।
यह प्रभाव आगे के आबन्धों में भी जाता है, लेकिन आबन्धों में की संख्या बढ़ने के साथ-साथ यह प्रभाव कम होता जाता है और तीन आबन्धों के बाद लगभग लुप्त हो जाता है। प्रेरणिक प्रभाव का सम्बन्ध प्रतिस्थापी से बन्धित कार्बन परमाणु को इलेक्ट्रॉन प्रदान करने अथवा अपनी ओर आकर्षित कर लेने की योग्यता से है।
इस योग्यता के आधार पर प्रतिस्थापित को हाइड्रोजन के सापेक्ष इलेक्ट्रॉन-आकर्षी (electron-with-drawing) या इलेक्ट्रॉनदाता समूह के रूप में वर्गीकृत किया जाता है। हैलोजने तथा कुछ अन्य समूह; जैसे-नाइट्रो (-NO2), सायनों (-CN), कार्बोनिक (-COOH), एस्टर (-COOR), ऐरिलॉक्सी (-OAr) इलेक्ट्रॉन-आकर्षी समूह हैं; जबकि ऐल्किाल समूह जैसे-मेथिल (-CH3), एथिल (-CH2 -CH3) आदि इलेक्ट्रॉनदातासमूह हैं।
इलेक्ट्रोमेरी अथवा (E प्रभाव) (Electromeric Effect, E-effect):
यह एक अस्थायी प्रभाव है। केवल आक्रमणकारी अभिकारकों की उपस्थिति में यह प्रभाव बहुआबन्ध (द्विआबन्ध अथवा त्रिआबन्ध) वाले कार्बनिक यौगिकों में प्रदर्शित होता है। इस प्रभाव में आक्रमण करने वाले अभिकारक की माँग के कारण बहु-आबन्ध से बन्धित परमाणुओं में एक सहभाजित π – इलेक्ट्रॉन युग्म का पूर्ण विस्थापन होता है। अभिक्रिया की परिधि से आक्रमणकारी अभिकारक को हटाते ही यह प्रभाव शून्य हो जाता है। इसे E द्वारा दर्शाया जाता है, जबकि इलेक्ट्रॉन के संचलन को वक्र तीर द्वारा प्रदर्शित किया जाता है।
स्पष्टः दो प्रकार के इलेक्ट्रोमेरी प्रभाव होते हैं –
1. धनात्मक इलेक्ट्रोमरी प्रभाव (+ E प्रभाव):
इस प्रभाव में बहुआबन्ध के π – इलेक्ट्रॉनों के स्थानान्तरण उस परमाणु पर होता है, जिससे आक्रमणकारी अभिकर्मक बन्धित होता है। उदाहरणार्थ –

2. ऋणात्मक इलेक्ट्रोमेरी-प्रभाव (-E प्रभाव):
इस प्रभाव में बहु-आबन्ध के π – इलेक्ट्रॉनों कर स्थानान्तरण उस परमाणु पर होता है, जिससे आक्रमणकारी अभिकर्मक बन्धित नहीं होता है। इसका उदाहरण निम्नलिखित है –

जब प्रेरणिक तथा इलेक्ट्रोमेरी प्रभाव एक-दूसरे की विपरीत दिशाओं में कार्य करते हैं, तब इलेक्ट्रोमेरिक प्रभाव प्रबल होता है।
(क) Cl3CCOOH > Cl2CHCOOH > ClCH2COOH
यह इलेक्ट्रॉन आकर्षी प्रेरणिक प्रभाव (-I) दर्शाता है।
(ख) CH3CH2COOH > (CH3)2 CHCOOH > (CH3)3 C.COOH
यह इलेक्ट्रॉन दाता प्रेरणिक प्रभाव (+I) दर्शाता है।
![]()
प्रश्न 12.18
प्रत्येक का एक उदाहरण देते हुए निम्नलिखित प्रक्रमों के सिद्धान्तों का संक्षिप्त विवरण दीजिए –
(क) क्रिस्टलन
(ख) आसवन,
(ग) क्रामैटोग्रैफी
उत्तर:
(क) क्रिस्टलन:
यह ठोस कार्बनिक पदार्थों के शोधन की प्रायः प्रयुक्त विधि है। यह विधि कार्बनिक यौगिक तथा अशुद्ध की किसी उपयुक्त विलायक में इसकी विलेयताओं में निहित अन्तर पर आधारित होती है। अशुद्ध यौगिक को किसी ऐसे विलायक में घोलते हैं, जिसमें यौगिक सामान्य ताप पर अल्प-विलेय (sparingly soluble) होता है, परन्तु उच्चतर ताप पर यथेष्ट मात्रा में वह घुल जाता है। तत्पश्चात् विलयन को इतना सान्द्रित करते हैं कि वह लगभग संतृपत (saturate) हो जाए। विलयन को ठण्डा करने पर शुद्ध पदार्थ क्रिस्टलित हो जाता है, जिसे निस्पन्दन द्वारा पृथक् कर लेते हैं।
निस्पन्द (मातृ द्रव) में मुख्य रूप से अशुद्धियाँ तथा यौगिक की अल्प मात्रा रह जाती है। यदि यौगिक किसी एक विलायक में अत्यधिक विलेय तथा किसी अन्य विलायक में अल्प विलेय होता है, तब क्रिस्टलन उचित मात्रा में इन विलायकों को मिश्रित करके किया जाता है। सक्रियित काष्ठ कोयले (activated charcoal) की सहायता से रंगीन अशुद्धियाँ निकाली जाती हैं। यौगिक तथा अशुद्धियों की विलेयताओं में कम अन्तर होने की दशा में बार-बार क्रिस्टलन द्वारा शुद्ध यौगिक प्राप्त किया जाता है।
(ख) आसवन:
इस महत्वपूर्ण विधि की सहायता से (i) वाष्पशील (volatile) द्रवों को अवाष्पशील अशुद्धियों से एवं (ii) ऐसे द्रवों, जिनके क्वथनांकों में पर्याप्त अन्तर हो, को पृथक् कर सकते हैं। ‘भिन्न क्वथनांकों वाले द्रव भिन्न ताप पर वाष्पित होते हैं। वाष्पों को ठण्डा करने से प्राप्त द्रवों को अलग-अलग एकत्र कर लेते हैं। क्लोरोफॉर्म (क्वथनांक 334K) और ऐनिलीन (क्वथनांक 457K) को आसवन विधि द्वारा आसानी से पृथक् कर सकते हैं।
द्रव-मिश्रण को गोल पेंदे वाले फ्लास्क में लेकर हम सावधानीपूर्वक गर्म करते हैं। उबालने पर कम क्वथनांक वाले द्रव की वाष्प पहले बनती है। वाष्प को संघनित्र की सहायता से संघनित करके प्राप्त द्रव को ग्राही में एकत्र कर लेते हैं उच्च क्वथनांक वाले घटक के वाष्प बाद में बनते हैं। इनमें संघनन से प्राप्त द्रव को दूसरे ग्राही में एकत्र कर लेते हैं।
(ग) क्रोमैटोग्रैफी (वर्णलेखन):
‘वर्णलेखन’ (क्रोमैटोग्रैफी) शोधन की एक अत्यन्त महत्त्वपूर्ण तकनीक है, जिसका उपयोग यौगिकों का शोधन करने में, किसी मिश्रण के अवयवों को पृथक् करने तथा यौगिकों की शुद्धता की जाँच करने के लिए विस्तृत रूप से किया जाता है। क्रोमैटोग्रैफी विधि का उपयोग सर्वप्रथम पादपों में पाए जाने वाले रंगीन पदार्थों को पृथक् करने के लिए किया गया था।
‘क्रामैटोग्रैफी’ शब्द ग्रीक शब्द ‘क्रोमा’ (chroma) से बना है, जिसका अर्थ है ‘रंग’। इस तकनीक में सर्वप्रथम यौगिकों के मिश्रण को स्थिर प्रावस्था (stationary phase) पर अधिशोषित कर दिया जाता है। स्थिर प्रावस्था ठोस अथवा द्रव हो सकती है। इसके पश्चात् स्थिर प्रावस्था में से उपयुक्त विलायक, विलायकों के मिश्रण अथवा गैस को धीरे-धीरे प्रवाहित किया जाता है। इस प्रकार मिश्रण के अवयव क्रमश: एक-दूसरे से पृथक् हो जाते हैं। गति करने वाली प्रावस्था को ‘गतिशील प्रावस्था’ (mobile phase) कहते हैं।
अन्तर्ग्रस्त सिद्धान्तों के आधार पर वर्णलेखन को विभिन्न वर्गों में वर्गीकृत किया गया है। इनमें से दो हैं –
1. अधिशोषण-वर्णलेखन (Adsorption chromatography):
यह इस सिद्धान्त पर आधारित है कि किसी विशिष्ट अधिशोषक (adsorbent) पर विभिन्न यौगिक भिन्न अंशों में अधिशोषित होते हैं। साधारणत: ऐल्यूमिना तथा सिलिका जेल अधिशोषक के रूप में प्रयुक्त किए जाते हैं। स्थिर प्रावस्था (अधिशोषक) पर गतिशील प्रावस्था प्रवाहित करने के उपरान्त मिश्रण के अवयव स्थिर प्रावस्था पर अलग-अलग दूरी तय करते हैं। निम्नलिखित दो प्रकार की वर्णलेखन-तकनीकें हैं, जो विभेदी-अधिशोषण सिद्धान्त पर आधारित हैं –
(क) कॉलम-वर्णलेखन, अर्थात् स्तभ-वर्णलेखन (Columan Chrmnatogrophy)
(ख) पतली पर्त वर्णलेखन (Thin Lay of Chromatography)
2. वितरण क्रोमैटोग्रैफी (Partition Chromatography):
वितरण क्रोमैटोग्रैफी स्थिर तथा गतिशील प्रावस्थाओं के मध्य मिश्रण के अवयवों के सतत विभेदी वितरण पर आधारित है। कागज वर्णलेखन (paper chromatography) इसका एक उदाहरण है। इसमें एक विशिष्ट प्रकार के क्रोमैटोग्रैफी कागज का इस्तेमाल किया जाता है। इस कागज में छिद्रों में जल-अणु पाशित रहते हैं, जो स्थिर प्रावस्था का कार्य करते हैं।
![]()
प्रश्न 12.19
ऐसे दो यौगिकों, जिनकी विलेयताएँ विलायक s, में भिन्न हैं,को पृथक करने की विधि की व्याख्या कीजिए।
उत्तर:
ऐसे दो यौगिकों, जिनकी विलेयताएँ विलायक s, में भिन्न हैं, को पृथक् करने के लिए क्रिस्टलन विधि प्रयोग की जाती है। इस विधि में अशुद्ध यौगिक को किसी ऐसे विलायक में घोलते हैं जिसमें यौगिक सामान्य ताप पर अल्प-विलेय उच्च ताप पर विलेय होता है। इसके पश्चात् विलयन को सान्द्रित करते हैं जिससे वह लगभग संतृप्त हो जाए।
अब अल्प-विलेय घटक पहले क्रिस्टलीकृत हो जाएगा तथा अधिक विलेय घटक पुनः गर्म करके ठण्डा करने पर क्रिस्टलीकृत होगा। इसके अतिरिक्त सक्रियित काष्ट कोयले की सहायता से रंगीन अशुद्धियाँ निकाल दी जाती हैं। यौगिक तथा अशुद्धि की विलेयताओं में कम अन्तर होने पर बार-बार क्रिस्टलन करने पर शुद्ध यौगिक प्राप्त किया जाता है।
प्रश्न 12.20
आसवन, निम्न दाब पर आसवन तथा भाप आसवन में क्या अन्तर है? विवेचना कीजिए।
उत्तर:
आसवन (Distillation):
इस विधि को क्वथनांक में अधिक अन्तर वाले द्रवों को पृथक्कृत करने में प्रयोग किया जाता है। निम्न दाब पर आसवन (Distillation under reduced pressure):
इस विधि को उन द्रवों के शोधन में प्रयुक्त किया जाता है जो अपने साधारण क्वथनांक पर या उससे नीचे अपघटित हो जाते हैं।
भाप आसवन (Steam distillation):
यह तकनीक उन पदार्थों के शोधन के लिए प्रयुक्त की जाती है, जो भाप वाष्पशील हों, परन्तु जल में अमिश्रणीय हों इस विधि द्वारा इन पदार्थों को भाप-अवाष्पशील अशुद्धियों से पृथक्कृत किया जा सकता है।
प्रश्न 12.21
लासेग्ने-परीक्षण का रसायन-सिद्धान्त समझाइए।
उत्तर:
किसी कार्बन यौगिक में उपस्थित नाइट्रोजन, सल्फर, हैलोजन तथा फॉस्फोरस की पहचान ‘लासेग्ने-परीक्षण’ (Lassigne’s Test) द्वारा की जाती है। यौगिक को सोडियम धातु के साथ संगलित करने पर ये तत्त्व सहसंयोजी रूप से आयनिक रूप से परिवर्तित हो जाते हैं इनमें निम्नलिखित अभिक्रियाएँ होती हैं –

C, N, S तथा X कार्बनिक यौगिक में उपस्थित तत्व हैं। सोडियम संगलन से प्राप्त आवशेष को आसुत जल के साथ उबालने पर सोडियम सायनाइड सल्फाइड तथा हैलाइड जल में घुल जाते हैं। इस निष्कर्ष को ‘सोडियम संगलन निष्कर्ष’ (Sodium Fusion Extract) कहते हैं।
प्रश्न 12.22
किसी कार्बनिक यौगिक में नाइट्रोजन के आकलन की –
- ड्यूमा विधि तथा
- कैल्डाल विधि के सिद्धान्त की रूपरेखा प्रस्तुत कीजिए।
उत्तर:
नाइट्रोजन में परिमाणात्मक निर्धारण की निम्नलिखित दो विधियाँ प्रयुक्त की जाती हैं –
1. ड्यूमा विधि (Duma’s Method):
नाइट्रोजनयुक्त कार्बनिक यौगिक क्यूप्रिक ऑक्साइड के साथ गर्म करने पर इसमें उपस्थित कार्बन, हाइड्रोजन, गन्धक तथा नाइट्रोजन क्रमश:

चित्र-ड्यमा विधि। कार्बनिक यौगिक को CO2 गैस की उपस्थिति में Cu(0) ऑक्साइड के साथ गर्म करने पर नाइट्रोजन मोटीमों के मिश्रण को पोटैशियम हाइडॉक्साइड विलयन में से प्रवाहित किया जाता है, जहाँ CO2 अवशोषित हो जाती है तथा नाइट्रोजन का आयतन नाप लिया जाता है।
CO2, H2O, SO2 और नाइट्रोजन के ऑक्साइडों (NO2, NO, N2O) के रूप में ऑक्सीकृत हो जाते हैं। इस गैसीय मिश्रण को रक्त तप्त कॉपर की जाल के ऊपर प्रवाहित करने पर नाइट्रोजन के ऑक्साइडों का नाइट्रोजन में अपचयन हो जाता है।
4Cu + 2NO2 → 4CuO + N2
2Cu + 2NO → 2CuO + N2
Cu + N2O → CuO + N2
इस प्रकार N2, CO2, H2O तथा SO2 युक्त गैसीय मिश्रण को KOH से भरी नाइट्रोमीटर नामक अंशांकित नली से प्रवाहित करने पर जाता है और बची हुई N2 गैस को नाइट्रोमीटर में जल के ऊपर एकत्र कर लिया जाता है। इस नाइट्रोजन का आयतन वायुमण्डल के दाब तथा ताप पर नोट कर लेते हैं। फिर इस आयतन को गैस समीकरण की सहायता से सामान्य ताप व दाब (N.T.P) पर परिवर्तित कर लेते हैं।
मान लिया, m ग्राम कार्बनिक यौगिक में N.T.P पर x मिली नाइट्रोजन प्राप्त होती है।
∵ N.T.P पर 22,400 मिली नाइट्रोजन (N2) की मात्रा = 28 ग्राम (N2 का ग्राम अणुभार)
∴ N.T.P पर x मिली नाइट्रोजन (N2) की मात्रा = \(\frac{28x}{22,400}\) ग्राम
∵ m ग्राम कार्बनिक यौगिक में नाइट्रोजन (N2) की मात्रा = \(\frac{28x}{22,400}\) ग्राम
∴100 ग्राम कार्बनिक यौगिक में नाइट्रोजन (N2) की मात्रा = \(\frac{28x×100}{22,400×m}\) ग्राम

2. कैल्डाल विधि (Kjeldahl’s Method):
यह विधि इस सिद्धान्त पर आधारित है कि जब किसी नाइट्रोजनयुक्त कार्बन यौगिक को पोटैशियम सल्फेट की उपस्थिति में सान्द्र H2SO4 के

चित्र-कैल्डाल विधि-नाइट्रोजनयुक्त यौगिक को सान्द्र। सल्फ्यूरिक अम्ल के साथ गर्म करने पर अमोनियम सल्फेट बनता है, जो – NaOH द्वारा अभिकृत करने पर अमोनिया मुक्त करता है। इसे मानक अम्ल के अम्ल आयतन में अवशोषित किया जाता है।
साथ गर्म करते हैं तो उसमें उपस्थित नाइट्रोजन पूर्णरूप से अमोनियम सल्फेट में परिवर्तित हो जाती है। इस प्राप्त अमोनियम सल्फेट को सान्द्र कॉस्टिक सोडा विलयन के साथ गर्म करने पर अमोनिया गैस निकलती हैं, जिसको ज्ञात सान्द्रण वो H2SO4 के निश्चित आयतन में अवशोषित कर लेते हैं। इस अम्ल का मानक NaOH के साथ अनुमापन करके गणना द्वारा अवशोषित हुई अमोनिया की मात्रा ज्ञात की जाती है। फिर नाइट्रोजन के आयतन की गणना कर ली जाती है।
(NH4)2 SO4 + 2NaOH + Na2SO4 + 2H2O + 2NH3
2NH3 + H2SO4 —-> (NH4)2SO4
मान लिया कार्बनिक यौगिक का भार = m
ग्राम प्रयुक्त अम्ल का आयतन = V
मिली प्रयुक्त अम्ल की नार्मलता =N
V मिली N नार्मलता का अम्ल = V
मिली M नार्मलता की अमोनिया 1000 मिली N नार्मलता वाली अमोनिया में 17 ग्राम अमोनिया या 14 ग्राम नाइट्रोजन होगी।
V3 मिली N – NH3 में नाइट्रोजन की मात्रा = 0.014 NV ग्राम
∴ 100 ग्राम कार्बनिक यौगिक में नाइट्रोजन की मात्रा
= \(\frac{0.014NV×100}{m}\)
= \(\frac{1.4 NV}{m}\) ग्राम
नाइट्रोजन की प्रतिशत मात्रा –

![]()
प्रश्न 12.23
किसी यौगिक में हैलोजेन, सल्फर तथा फॉस्फोरस के आकलन के सिद्धान्त की विवेचना कीजिए।
उत्तर:
1. हैलोजेन का आकलन (Estimation of Halogens):
कार्बनिक यौगिक के ज्ञात भार को सधूम HNO3 के कुछ क्रिस्टलों के साथ केरियस नली का ऊपरी सिरा बन्द कर दिया जाता है। केरियस नली को विद्युत भट्टी में रखकर 180° – 200° C पर लगभग 3 – 4 घण्टे गर्म करते हैं।
यौगिक में उपस्थित हैलोजन (Cl, Br, I), सिल्वर हैलाइड के अवक्षेप में बदल जाते हैं। सिल्वर हैलाइड के अवक्षेप को धोकर तथा सुखाकर तौल लेते हैं। इस प्रकार प्राप्त सिल्वर हैलाइड के भार से हैलोजन की प्रतिशत मात्रा निम्नलिखित गणना की सहायता से ज्ञात कर लेते हैं –
अभिक्रियाएँ –


चित्र – केरियस विधि-हैलोजेनयुक्त कार्बनिक यौगिक को सिल्वर नाइट्रेट की उपस्थिति में सधूम नाइट्रिक अम्ल के साथ गर्म किया जाता है।
मान लिया कि m ग्राम पदार्थ से x ग्राम AgCl प्राप्त होता है। (AgCl का अणुभार = 108 + 35.5 = 143.5)
∵ 143.5 ग्राम AgCl में क्लोरीन की मात्रा = 35.5 ग्राम
∴ x ग्राम ABCl में क्लोरीन की मात्रा = \(\frac{35.5}{143.5}\) × x ग्राम
∴ m ग्राम कार्बनिक यौगिक में क्लोरीन की मात्रा = \(\frac{35.5}{143.5}\) × x ग्राम

इसी प्रकार,

2. सल्फर का आकलन (Estimation of Sulphur):
इस सिद्धान्त के अनुसार, सल्फरयुक्त कार्बनिक यौगिक को सान्द्र नाइट्रिक अम्ल के साथ गर्म करने पर यौगिक में उपस्थित समस्त गनधक, सल्फ्यूरिक अम्ल में ऑक्सीकृत हो जाती है। इसमें BaCl2 विलयन मिलाकर इससे BaSO4 अवक्षेपित कर लिया जाता है। इस अवक्षेप को छानकर, धोकर और सुखाकर तौल लेते हैं। इस प्रकार BaSO4 के भार की सहायता से गन्धक की प्रतिशत मात्रा की गणना कर लेते हैं।
अभिक्रियाएँ –

माना, m ग्राम कार्बनिक यौगिक से x ग्राम BaSO4 बनता है।
∵ 233 ग्राम BaSO4 में की मात्रा = 32 ग्राम
∴ x ग्राम BaSO4 में S की मात्रा = \(\frac{32}{233}\) × ग्राम
∵ m प्राम कार्बनिक यौगिक में s की मात्रा = \(\frac{32}{233}\) × \(\frac{x}{m}\) × 100
S की मात्रा(%) = \(\frac{32}{233}\) × \(\frac{x}{m}\) × 100

3. फॉस्फोरस का आकलन (Estimation of Phosphorus):
कार्बनिक यौगिक की एक ज्ञात मात्रा को सधूम नाइट्रिक अम्ल के साथ गर्म करने पर उनमें उपस्थित फॉस्फोरस, फॉस्फोरिक अम्ल में ऑक्सीकृत हो जाता है।
इसे अमोनिया तथा अमोनियम मॉलिब्डेट मिलाकर अमोनियम फॉस्फोटोमॉलिब्डेट, (NH4)3 PO4.12MoO3, के रूप में हम अवक्षेपित कर लेते हैं, अन्यथा फॉस्फोरिक अम्ल में मैग्नीशिया मिश्रण मिलाकर MgNH4PO4 के रूप में अवक्षेपित किया जा सकता है, जिसके ज्वलन से Mg2P2O7 प्राप्त होता है।
माना कि कार्बनिक यौगिक का द्रव्यमान = m ग्राम और
अमोनियम फॉस्फोमॉलिब्डेट = m1 ग्राम
(NH4)PO4.12MoO3 का मोलर द्रव्यमान = 1877 ग्राम है।

यदि फॉस्फोरस का Mg2P2O7 के रूप में आकलन किया जाए तो

जहाँ Mg2P2O7 का मोलर द्रव्यमान 222u, लिए गए कार्बनिक पदार्थ का द्रव्यमान m, बने हुए Mg2P2O7 का द्रव्यमान m1 तथा Mg2P2O7 यौगिक में उपस्थित दो फॉस्फोरस परमाणुओं का द्रव्यमान 62 है।
![]()
प्रश्न 12.24
पेपर क्रोमैटोग्रैफी के सिद्धान्त को समझाइए।
उत्तर:
पेपर क्रोमैटोग्रफी:
पेपर या क्रोमैटोग्रैफी वितरण क्रोमैटोग्रैफी पर आधारित है। इसमें एक विशिष्ट प्रकार का कामैटोग्रैफी पेपर प्रयोग किया जाता है। इस पेपर के छिद्रों में जल-अणु पाशित रहते हैं, जो स्थिर प्रावस्था का कार्य करते हैं। क्रोमैटोग्रैफी कागज की एक पट्टी (strip) के आधार पर मिश्रण का बिन्दु लगाकर उसे जार से लटका देते हैं (चित्र में)।

जार में कुछ ऊँचाई तक उपयुक्त विलायक अथवा विलायकों का मिश्रण भरा होता है, जो गतिशील प्रावस्था का कार्य करता है। कोशिका क्रिया के कारण पेपर की पट्टी पर विलायक ऊपर की ओर बढ़ता है तथा बिन्दु पर प्रवाहित होता है। विभिन्न यौगिकों का दो प्रावस्थाओं में वितरण भिन्न-भिन्न होने के कारण वे अलग-अलग दूरियों तक आगे बढ़ते हैं। इस प्रकार विकसित पट्टी को ‘क्रोमैटोग्राम’ (chromatogram) कहते हैं। पतली पर्त की भाँति पेपर की पट्टी पर विभिन्न बिन्दुओं की स्थितियों को या तो पराबैंगनी प्रकाश के नीचे रखकर या उपयुक्त अभिकर्मक के विलयन को छिड़ककर हम देख लेते हैं।
प्रश्न 12.25
‘सोडियम संगलन निष्कर्ष’ में हैलोजेन के परीक्षण के लिए सिल्वर नाइट्रेट मिलाने से पूर्व नाइट्रिक अम्ल क्यों मिलाया जाता है?
उत्तर:
हैलोजेन के परीक्षण में सोडियम निष्कर्ष को सान्द्र HNO3 के साथ इसलिये गर्म करते हैं कि विलयन में उपस्थित NaCN तथा Na2S अघटित हो जाए और हैलोजेन के परीक्षण में बाधा न डालें। अन्यथा AgCN या Ag2S के अवक्षेप बनेंगे।
NaCN + HNO3 → HCN + NaNO3
Na2S + 2HNO3 → H2S + 2NaNO3
प्रश्न 12.26
नाइट्रोजन, सल्फर तथा फॉस्फोरस के परीक्षण के लिए सोडियम के साथ कार्बनिक यौगिक का संगलन क्यों किया जाता है?
उत्तर:
कार्बनिक यौगिकों को सोडियम के साथ संकलित करने पर उसमें उपस्थित तत्त्व (N. S.P आदि) अपने सोडियम लवणों में परिवर्तित हो जाते हैं जो कि आयनिक यौगिक हैं। ये आयनिक लवण अधिक क्रियाशील होते हैं। अतः इनकी उपयुक्त अभिकारक की सहायता से परीक्षा कर सकते हैं।
प्रश्न 12.27
कैल्शियम सल्फेट तथा कपूर के मिश्रण के अवयवों को पृथक् करने के लिए एक उपयुक्त तकनीक बताइए।
उत्तर:
इस मिश्रण के अवयवों को पृथक् करने के लिए ऊर्ध्वपातन तकनीय उपयुक्त है क्योंकि कपूर का ऊर्ध्वपातन हो जाता है और कैल्शियम सल्फेट का नहीं।
प्रश्न 12.28
भाप-आसवन करने पर एक कार्बनिक द्रव अपने क्वथनांक से निम्न ताप पर वाष्पीकृत क्यों हो जाता है?
उत्तर:
वास्तव में भाप-आसवन कम दाब होता है। आसवन फ्लास्क में रखे गये जलवाष्प तथा कार्बनिक द्रव दोनों का कुल वाष्पदाब वायुमण्डलीय दाब के बराबर होना चाहिए। इसका अर्थ यह है कि दोनों अपने सामान्य क्वथनांक पर वाष्पित हो जायेंगे।
![]()
प्रश्न 12.29
क्या CCl4, सिल्वर नाइट्रेट के साथ गर्म करने पर AgCl का श्वेत अवक्षेप देगा? अपने उत्तर को कारण सहित समझाइए।
उत्तर:
CCl4 अध्रुवीय यौगिक है जो जलीय विलयन में आयन नहीं देता है जबकि AgNO3 का आयनन हो जाता है। अतः ये परस्पर क्रिया नहीं करते हैं जिससे AgCl का सफेद अवक्षेप प्राप्त नहीं होगा।
प्रश्न 12.30
किसी कार्बनिक यौगिक में कार्बन का आकलन करते समय उत्पन्न कार्बन डाइऑक्साइड को अवशोषित करने के लिए पोटैशियम हाइड्रॉक्साइड विलयन का उपयोग क्यों किया जाता है?
उत्तर:
ऐसा इसलिए किया जाता है; क्योंकि पोटैशियम हाइड्रॉक्साइड प्रबल क्षार है तथा CO2 का पूर्णतया अवशोषण कर सकता है। इस प्रकार कार्बन डाइऑक्साइड का अवशोषण करके पोटैशियम हाइड्रॉक्साइड विलेय पोटैशियम कार्बोनेट बना लेता है जिसका आकलन किया जा सकता है।
प्रश्न 12.31
सल्फर के लेड ऐसीटेट द्वारा परीक्षण में ‘सोडियम संगलन निष्कर्ष’ को ऐसीटिक अम्ल द्वारा उदासीन किया जाता है, न कि सल्फ्यूरिक अम्ल द्वारा, क्यों?
उत्तर:
ऐसीटिक अम्ल के स्थान पर सल्फ्यूरिक अम्ल के प्रयोग से लेड ऐसीटेटं सल्फ्यूरिक अम्ल से क्रिया करके लेउ सल्फेट (PbSO4) का सफेद अवक्षेप देगा जो सल्फर के परीक्षण में बाधा उत्पन्न करेगा। (CH3COO2)2 Pb + H2SO4 → PbSO4↓+ 2CH3COOH
प्रश्न 12.32
एक कार्बनिक यौगिक में 69% कार्बन, 4.8% हाइड्रोजन तथा शेष ऑक्सीजन है। इस यौगिक के 0.20g के पूर्ण दहन के फलस्वरूप उत्पन्न कार्बन डाइऑक्साइड तथा जल की मात्राओं की गणना कीजिए।
उत्तर:
उत्पन्न कार्बन डाइऑक्साइड की मात्रा की गणना –
यौगिक की मात्रा = 0.20g
कार्बन का प्रतिशत = 69%

उत्पन्न कार्बन डाइऑक्साइड की मात्रा
= \(\frac{69×44×(0.20)g}{12×100}\) = 0.506g
उत्पन्न जल की मात्रा की गणना –
यौगिक की मात्रा 0.20g
हाइड्रोजन का प्रतिशत = 4 8%

![]()
प्रश्न 12.33
0.50g कार्बनिक यौगिक को कैल्डॉल विधि के अनुसार उपचारित करने पर प्राप्त अमोनिया को 0.5M H2SO4 के 50 mL में अवशोषित किया गया। अवशिष्ट अम्ल के उदासीनीकरण केलिए0.5M NaOH के 50 mL की आवश्यकता हुई। यौगिक में नाइट्रोजन प्रतिशतता की गणना कीजिए।
उत्तर:
अवशिष्ट अम्ल के आयतन की गणना –
NaOH विलयन का आवश्यक आयतन = 50mL
NaOH विलयन की मोलरता = 0.5M
H2SO4 विलयन की मोलरता = 0.5M
अवशिष्ट अम्ल के आयतन की गणना के लिए मोलरता समीकरण का प्रयोग करना होगा।

प्रयुक्त अम्ल के आयतन की गणना –
मिलाए गए अम्ल का आयतन = 50 mL
अवशिष्ट अम्ल का आयतन = 25 mL
प्रयुक्त अम्ल का आयतन = (50 – 25)
= 25 mL
यौगिक की मात्रा = 0.50g
प्रयुक्त अम्ल का आयतन = 25 mL
प्रयुक्त अम्ल की मोलरता = 0.5M

प्रश्न 12.34
केरिअस आकलन में 0.3780g कार्बनिक क्लोरो यौगिक से 0.5740g सिल्वर क्लोराइड प्राप्त हुआ। यौगिक में क्लोरीन की प्रतिशता की गणना कीजिए।
उत्तर:
प्रश्नानुसार, यौगिक की मात्रा = 0.3780g
सिल्वर क्लोराइड की मात्रा = 0.5740g
क्लोरीन की प्रतिशतता

![]()
प्रश्न 12.35
केरिअस विधि द्वारा सल्फर के आकलन में 0468g सल्फरयुक्त कार्बनिक यौगिक से 0.686g बेरियम सल्फेट प्राप्त हुआ। दिए गए कार्बन यौगिक में सल्फर की प्रतिशता की गणना कीजिए।
उत्तर:
प्रश्नानुसार,
बेरियम सल्फेट की मात्रा = 0.668g
सल्फर की प्रतिशतता

प्रश्न 12.36
CH2 = CH – CH2 – CH2 – C = CH, कार्बनिक यौगिक में C2 – C3 आबन्ध किन संकरित कक्षकों के युग्म से निर्मित होता है?
(क) sp – sp2
(ख) sp – sp3
(ग) sp2 – sp3
(घ) sp3 – sp3
उत्तर:
(ग) sp2 – sp3
![]()
प्रश्न 12.37
किसी कार्बनिक यौगिक में लासेग्नेपरीक्षण द्वारा नाइट्रोजन की जाँच में प्रशियन ब्लू रंग निम्नलिखित में से किसके कारण प्राप्त होता है?
(क) Na4 [Fe(CN)6]
(ख) Fe4 [Fe(CN)6]3
(ग) Fe2 [Fe(CN)6]
(घ) Fe3[Fe (CN)6]4
उत्तर:
(ख) Fe4[Fe(CN)6]3
प्रश्न 12.38
निम्नलिखित कार्बधनायनों में से कौन-सा सबसे अधिक स्थायी है?

प्रश्न 12.39
कार्बनिक यौगिकों के पृथक्करण और शोधन की सर्वोत्तम तथा आधुनिकतम तकनीक कौन-सी है?
(क) क्रिस्टलन
(ख) आसवन
(ग) ऊर्ध्वपातन
(घ) क्रोमैटोग्रैफी
उत्तर:
(घ) क्रोमैटोग्रैफी।
![]()
प्रश्न 12.40
CH3CH2I + KOH(aq) → CH3CH2OH + KI अभिक्रिया को नीचे दिए गए प्रकार में वर्गीकृत कीजिए –
(क) इलेक्ट्रॉनस्नेही प्रतिस्थापन
(ख) नाभिकस्नेही प्रतिस्थापन
(ग) विलोपन
(घ) संकलन
उत्तर:
(ख) नाभिकस्नेही प्रतिस्थापन