Bihar Board Class 11 Physics Solutions Chapter 7 कणों के निकाय तथा घूर्णी गति

Bihar Board Class 11 Physics Solutions Chapter 7 कणों के निकाय तथा घूर्णी गति Textbook Questions and Answers, Additional Important Questions, Notes.

BSEB Bihar Board Class 11 Physics Solutions Chapter 7 कणों के निकाय तथा घूर्णी गति

Bihar Board Class 11 Physics कणों के निकाय तथा घूर्णी गति Text Book Questions and Answers

अभ्यास के प्रश्न एवं उनके उत्तर

प्रश्न 7.1
एक समान द्रव्यमान घनत्व के निम्नलिखित पिंडों में प्रत्येक के द्रव्यमान केंद्र की अवस्थिति लिखिए:
(a) गोला
(b) सिलिंडर
(c) छल्ला तथा
(d) घन। क्या किसी पिंड का द्रव्यमान केंद्र आवश्यक रूप से उस पिंड के भीतर स्थित होता है?
उत्तर:
(a) गोला
(b) सिलिंडर
(c) छल्ला व
(d) घन, चारों का द्रव्यमान केन्द्र उनका ज्यामितीय केन्द्र होता है। नहीं, जहाँ कोई पदार्थ नहीं है। जैसे वलय, खोखले सिलिंडर व खोखले गोले में द्रव्यमान केन्द्र पिंड के बाहर भी हो सकता है।

Bihar Board Class 11 Physics Solutions Chapter 7 कणों के निकाय तथा घूर्णी गति

प्रश्न 7.2
HCL अणु में दो परमाणुओं के नाभिकों के बीच पृथकन लगभग 1.27 Å (1Å = 10-10 m) है। इस अणु के द्रव्यमान केंद्र की लगभग अवस्थिति ज्ञात कीजिए।यह ज्ञात है कि क्लोरीन का परमाणु हाइड्रोजन के परमाणु की तुलना में 35.5 गुना भारी होता है तथा किसी परमाणु का समस्त द्रव्यमान उसके नाभिक पर केंद्रित होता है।
उत्तर:
माना द्रव्यमान केन्द्र H परमाणु से x दूरी पर है। माना हाइड्रोजन परमाणु का द्रव्यमान, m1 = m
Bihar Board Class 11 Physics Chapter 7 कणों के निकाय तथा घूर्णी गति
तथा क्लोरीन परमाणु का द्रव्यमान m2 = 35.5 m
माना द्रव्यमान केन्द्र (मूलबिन्दु) के सापेक्ष H व Cl \(\vec{r}_{1}\) व \(\vec{r}_{2}\) दूरी पर है।
Bihar Board Class 11 Physics Chapter 7 कणों के निकाय तथा घूर्णी गति
या m1\(\vec{r}_{1}\) + m2\(\vec{r}_{2}\) = 0 यहाँ
\(\vec{r}_{1}\) = – x\(\hat { i } \) व \(\vec{r}_{2}\) = (1.27 – x)\(\hat { i } \)
∴ m(-x\(\hat { i } \)) + 35.5m (1.27 – x) \(\hat { i } \) = 0
∴ m(-x\(\hat { i } \)) + 35.5m (1.27 – x)\(\hat { i } \) = 0
∴ x = \(\frac{35.5×1.27}{36.5}\)
= 1.235 = 1.2 Å
अर्थात् द्रव्यमान केन्द्र H – परमाणु से 1.24 Å की दूरी पर Cl परमाणु की ओर है।

प्रश्न 7.3
कोई बच्चा किसी चिकने क्षैतिज फर्श पर एकसमान चाल v से गतिमान किसी लंबी ट्राली के एक सिरे पर बैठा है। यदि बच्चा खड़ा होकर ट्राली पर किसी भी प्रकार से दौड़ने लगता है, तब निकाय (ट्राली + बच्चा) के द्रव्यमान केंद्र की चाल क्या है?
उत्तर:
प्रश्नानुसार, ट्राली एक चिकने क्षैतिज फर्श पर गति कर रही है। इसलिए फर्श के चिकना होने के कारण निकाय पर क्षैतिज दिशा में कोई बाह्य बल नहीं लगता है। परन्तु जब बच्चा दौड़ता है तब बच्चे द्वारा ट्राली पर व ट्राली द्वारा बच्चे पर लगाए गए दोनों ही बल आन्तरिक बल होते हैं।
∴ \(\vec{F}\)ext = 0
संवेग संरक्षण के नियमानुसार M\(\vec{V}\)cm = नियतांक
∴ \(\vec{V}\)cm = नियतांक
अतः द्रव्यमान केन्द्र की स्थित चाल होगी।

Bihar Board Class 11 Physics Solutions Chapter 7 कणों के निकाय तथा घूर्णी गति

प्रश्न 7.4
दर्शाइये कि a एवं b के बीच बने त्रिभुज का क्षेत्रफल a × b के परिमाण का आधा है।
उत्तर:
माना ∆AOB की संलग्न भुजाओं के सदिश \(\vec{a}\) व \(\vec{b}\)
∴ \(\vec{O}\)A – \(\vec{b}\), \(\vec{O}\)B + \(\vec{a}\) या OA = b, OB = a
माना \(\bar{a}\) तथा \(\bar{b}\) के बीच कोण θ है।

Bihar Board Class 11 Physics Chapter 7 कणों के निकाय तथा घूर्णी गति
तथा माना त्रिभुज की ऊँचाई h है।
∴ h = AC
समकोण ∆OCA में,
sin θ = \(\frac{AC}{OA}\)
या AC = OA sin θ
या h = b sin θ …………… (i)
हम जानते हैं कि त्रिभुज AOB का क्षेत्रफल
= \(\frac{1}{2}\) × आधार × ऊँचाई
= \(\frac{1}{2}\) × OB × AC = \(\frac{1}{2}\) × a × h
= \(\frac{1}{2}\) × a × b sin θ
= \(\frac{1}{2}\) ab sin θ ………………. (ii)
पुनः सदिश गुणन के नियम से
\(\vec{a}\) × \(\vec{b}\) = ab sin θ \(\hat { n } \)
या |\(\vec{a}\) × \(\vec{b}\)| = |ab sin θ \(\hat { n } \)]
= ab sin θ [∵|\(\hat { n } \)| = 1] …………….. (iii)
∆AOB का क्षेत्रफल
= \(\frac{1}{2}\) |\(\vec{a}\) × \(\vec{b}\)|
= \(\frac{1}{2}\) \(\vec{a}\) × \(\vec{b}\) का परिमाण।

Bihar Board Class 11 Physics Solutions Chapter 7 कणों के निकाय तथा घूर्णी गति

प्रश्न 7.5
दर्शाइये कि a (bx c) का परिमाण तीन सदिशों a, b एवं c से बने समान्तर षट्फलक के आयतन के बराबर है।
उत्तर:
माना OABCDEFG एक समान्तर षट्फलक है जिसकी भुजाएँ क्रमश: OA, OC व OE हैं।
माना कि \(\vec{O}\)A = \(\vec{b}\), \(\vec{O}\)C = व \(\vec{O}\)E = \(\vec{a}\)
यहाँ \(\bar{a}\) व समान्तर चतुर्भुज OABC की संलग्न भुजाएँ हैं।
∴ \(\vec{S}\) = \(\vec{b}\) × \(\vec{c}\) = s\(\hat { n } \)
जहाँ \(\hat { n } \), \(\vec{S}\) के अनुदिश एकांक सदिश है जो कि भुजाओं \(\vec{b}\) व \(\vec{c}\) कोण तल के लम्बवत् है, व S तल OABC का क्षेत्रफल है। माना \(\vec{a}\), \(\vec{s}\) से θ कोण पर है।
Bihar Board Class 11 Physics Chapter 7 कणों के निकाय तथा घूर्णी गति
∴ \(\vec{a}\) (\(\vec{b}\) × \(\vec{c}\)) = \(\vec{a}\).\(\vec{s}\) = \(\vec{a}\).\(\hat { n } \)S
= a cos θ.S
= hS ……….. (i)
जहाँ h = a cos θ = \(\vec{a}\) के शीर्ष द्वारा समचतुर्भुज OABC पर डाला गया लम्ब EE’ \(\bar{a}\) की ऊँचाई।
पुनः माना V = समषट्फलक OABC = DEFG का आयतन है।
∴ V = तल OABC का क्षेत्रफल × OABC तल पर E से अभिलम्ब
= S × h
समी० (i) व (ii) से,
v = \(\vec{a}\).(\(\vec{b}\) × \(\vec{c}\)) इति सिद्धम्

प्रश्न 7.6
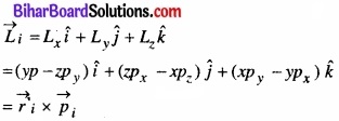
एक कण, जिसके स्थिति सदिश r के x, y, z अक्षों के अनुदिश अवयव क्रमशःx, y, हैं,और रेखीय संवेग सदिश P के अवयव px, Py, Pz हैं, के कोणीय संवेग 1 के अक्षों के अनुदिश अवयव ज्ञात कीजिए। दर्शाइये, कि यदि कण केवल x – y तल में ही गतिमान हो तो कोणीय संवेग का केवल z – अवयव ही होता है।
उत्तर:
माना OX, OY तथा OZ तीन परस्पर लम्बवत् अक्ष हैं। माना x – y तल में स्थिति सदिश \(\vec{O}\)P = \(\vec{r}\) एक बिन्दु P है।
माना रेखीय संवेग \(\vec{P}\) का \(\hat{r}\) से कोण θ है व कोणीय संवेग \(\vec{L}\)। है।
∴ \(\vec{L}\) = \(\hat{r}\) × \(\hat{p}\) …………….. (i)
यह एक संवेग राशि है जिसकी दिशा दाएँ हाथ के नियम से दी जा सकती है। चूँकि \(\hat{r}\) व \(\hat{p}\) तल OXY में हैं।
अतः
\(\vec{r}\) = x\(\hat{i}\) + y\(\hat{j}\) + z\(\hat{k}\)
तथा \(\vec{p}\) = px\(\hat{i}\) + py\(\hat{j}\) + pz\(\hat{k}\) ………….. (ii)
∴ समी० (i) व (ii) से,
\(\vec{L}\) = (x\(\hat{i}\) + y\(\hat{j}\) + z\(\hat{k}\)) × (px\(\hat{i}\) + py\(\hat{j}\) + pz\(\hat{k}\))
Bihar Board Class 11 Physics Chapter 7 कणों के निकाय तथा घूर्णी गति
तुलना करने पर,
Lx = yPz – zpy
Ly = zPx – xPz
Lz = xpy – ypx …….. (iii)
समी० (iii) से, x, y व z – अक्षों के अनुदिश \(\vec{z}\) के अभीष्ट घटक प्राप्त होते हैं।

(b) हम जानते हैं कि xy – तल में गतिमान कण पर लगने वाला बलाघूर्ण
iz = xFy – yFz ………….. (i)
जहाँ \(\hat{i}\)z = xy तल में गतिमान गण z अक्ष के अनुदिश लगने वाले बलाघूर्ण का घटक है।
माना xy – \(\vec{v}\) तल में वेग से गतिमान कण का द्रव्यमान = m
इस वेग के vx, व vy घटक क्रमश: x व y – दिशा में हैं। न्यूटन के गति के दूसरे समी० से,
Fx = \(\frac{d}{dt}\) (Px) = \(\frac{d}{dt}\) (mvx) = m\(\frac{d v_{x}}{d t}\)
तथा Fy = \(\frac{d}{dt}\)(Py) = m.\(\frac{d v_{y}}{d t}\) …………….. (ii)
∴ समी० (i) व (ii) से,
Bihar Board Class 11 Physics Chapter 7 कणों के निकाय तथा घूर्णी गति
∴ समी० (iii) व (iv) से,
Bihar Board Class 11 Physics Chapter 7 कणों के निकाय तथा घूर्णी गति
∴ समी० (v) व (vi) से,
Bihar Board Class 11 Physics Chapter 7 कणों के निकाय तथा घूर्णी गति
अतः समीकरण (vii) से यह निष्कर्ष निकलता है, कि xy – तल में गतिमान कण का कोणीय वेग (\(\vec{L}\)) का केवल एक घटक अर्थात् z – अक्ष के अनुदिश है।

Bihar Board Class 11 Physics Solutions Chapter 7 कणों के निकाय तथा घूर्णी गति

प्रश्न 7.7
दो कण जिनमें से प्रत्येक का द्रव्यमान m एवं चाल v है d दूरी पर, समान्तर रेखाओं के अनुदिश, विपरीत दिशाओं में चल रहे हैं। दर्शाइये कि इस द्विकण निकाय का सदिश कोणीय संवेग समान रहता है, चाहे हम जिस बिन्दु के परितः कोणीय संवेग लें।
उत्तर:
माना दूरी पर दो समान्तर रेखाओं के अनुदिश गतिमान प्रत्येक कण का द्रव्यमान m है।
माना v प्रत्येक कण विपरीत दिशा में चाल है।
माना कि क्षण t व कण P1 व P2, बिन्दुओं O पर हैं। अब इन दोनों कणों द्वारा बनाए गए निकाय का किसी बिन्दु O के परितः कोणीय संवेग ज्ञात करते हैं। माना प्रत्येक कण का कोणीय संवेग \(\vec{L}\)1 व \(\vec{L}\)2 है।
∴ \(\vec{L}\)1 = \(\vec{r}\)1 × m\(\vec{v}\)
माना कि निकाय का कोणीय संवेग \(\vec{L}\) है।
∴ \(\vec{L}\) = \(\vec{L}\)1 – \(\vec{L}\)2
= \(\vec{r}\)1 × m\(\vec{v}\) – \(\vec{r}\)2 × m\(\vec{v}\)
Bihar Board Class 11 Physics Chapter 7 कणों के निकाय तथा घूर्णी गति
अथवा |\(\vec{L}\)| = |\(\vec{L}\)1| – |\(\vec{L}\)2||
= mvr1 sin θ1 – mvr2 sin θ2 ……………. (i)
जहाँ θ1 व θ2, क्रमश: \(\vec{r}\)1, \(\vec{v}\) व \(\vec{r}\)2(-\(\vec{v}\)) के बीच कोण हैं। (चित्र) चूँकि कण की स्थिति समय के सापेक्ष परिवर्तित होती है।
अतः \(\vec{v}\) की दिशा समान रेखा में होगी तथा OM = r1 sin θ1 – r2 sin θ2 = d ……………. (ii)
समी० (i) व (ii) से,
L = mvd
\(\vec{L}\) की दिशा भी \(\vec{r}\) व \(\vec{v}\) के तल के लम्बवत् होती है। जोकि कागज के तल में होगी। यह दिशा समय के साथ अपरिवर्तित रहती है। अर्थात् \(\vec{L}\) परिमाण व दिशा में समान रहता है। अतः यह संरक्षित रहता है।

प्रश्न 7.8
W भार की एक असमांग छड़ को, उपेक्षणीय भार वाली दो डोरियों से चित्र में दर्शाये अनुसार लटका कर विरामावस्था में रखा गया है। डोरियों द्वारा ऊर्ध्वाधर से बने कोण क्रमशः 36.9° एवं 53.1° हैं। छड़ 2 m लम्बाई की है। छड़ के बाएँ सिरे से इसके गुरुत्व केन्द्र की दूरी d ज्ञात कीजिए।
Bihar Board Class 11 Physics Chapter 7 कणों के निकाय तथा घूर्णी गति
उत्तर:
माना एक समान छड़ AB का भार W2 है। यह छड़ दो डोरियों OA व O’B से लटकायी गई है। ऊर्ध्वाधर से OA छड़ से 36.9° व O’B छड़ से 53.1° कोण पर है।
<OAA’ = 90° – 36.9°
= 53.1°
इसी प्रकार, <O’ BB’ = 36.9°
Bihar Board Class 11 Physics Chapter 7 कणों के निकाय तथा घूर्णी गति
AB – 2M, AC = d मीटर
माना डोरी OA व O’B में तनाव क्रमशः T1 व T2 है। यहाँ वियोजित घटक चित्रानुसार होंगे।
चूँकि छड़ विराम में है, अत: A’B’ अक्ष के अनुदिश व लम्बवत् लगने वाले बलों का सदिश योग शून्य है। अतः
– T1 cos 53.1° + T2 cos 36.9° = 0 ……………. (i)
तथा T1 sin 53.1° + T2 sin 36.9° – W = 0 ………………. (ii)
A के परित: बलाघूर्ण लेने पर व बलाघूर्णों के योग का शून्य रखने पर –
– (T2 sin 36.9°) × 2 + Wd = 0
या T2 = \(\frac{Wd}{2 sin 36.9°}\) …………… (iii)
∴ समी० (ii) व (iii) से,
T1 sin 53.1° = W – T2 36.9°
= W – \(\frac{Wd}{2}\)
∴ T1 = \(\frac{Wd}{sin 53.1°}\) (1 – \(\frac{d}{2}\)) …………….. (iv)
∴ समी० (i), (iii) व (iv) से,
T1 cos 53.1° = T2 cos36.9°
Bihar Board Class 11 Physics Chapter 7 कणों के निकाय तथा घूर्णी गति
या 0.5d + 0.8870d = 1
या d = \(\frac{1}{1.3870}\)d = 1
या d = \(\frac{1}{1.3870}\) = 0.721
m = 72.1 सेमी

Bihar Board Class 11 Physics Solutions Chapter 7 कणों के निकाय तथा घूर्णी गति

प्रश्न 7.9
एक कार का भाग 1800 kg है। इसकी अगली और पिछली धुरियों के बीच की दूरी 1.8 m है। इसका गुरुत्व केन्द्र, अगली धुरी से 1.05 m पीछे है। समतल धरती द्वारा इसके प्रत्येक अगले और पिछले पहियों पर लगने वाले बल की गणना कीजिए।
उत्तर:
माना आगे के पहिए का द्रव्यमान = m ग्राम
∴ (900 – m) kg = प्रत्येक पहिए का द्रव्यमान
Bihar Board Class 11 Physics Chapter 7 कणों के निकाय तथा घूर्णी गति
∴ m × 1.05 =(900 – m) × 0.75
या 1.8m = 900 × 0.75
या m = 375 kg
∴ 900 – m = 525 kg
आगे के प्रत्येक पहिये का भार,
W1 = mg = 375 × 9.8
= 3675 न्यूटन
पीछे के प्रत्येक पहिये का भार,
W2 = 525 × 9.8
= 5145 न्यूटन
पृथ्वी द्वारा पहिये पर आरोपित बल = पृथ्वी की प्रतिक्रिया
W2 = 3675 न्यूटन
इसी प्रकार, प्रत्येक पीछे के पहिये पर पृथ्वी द्वारा आरोपित बल = पृथ्वी की प्रतिक्रिया
W2 = 5145 न्यूटन

प्रश्न 7.10
(a) किसी गोले का, इसके किसी व्यास के परितः जड़त्व आघूर्ण 2MR2/5है, जहाँ M गोले का द्रव्यमान एवं R इसकी त्रिज्या है। गोले पर खींची गई स्पर्श रेखा के परितः इसका जड़त्व आघूर्ण ज्ञात कीजिए। (b) M द्रव्यमान एवं R त्रिज्या वाली किसी डिस्क का इसके किसी व्यास के परितः जड़त्व आघूर्ण MR2/4 है। डिस्क के लम्बवत् इसकी कोर से गुजरने वाली अक्ष के परितः इस चकती का जड़त्व आघूर्ण ज्ञात कीजिए।
उत्तर:
(a) माना व्यास AB के परित: R त्रिज्या के गोले का जड़त्व आघूर्ण IAB है। जबकि गोले का द्रव्यमान m है।
∴ IAB = \(\frac{2}{5}\) MR2
माना गोले के व्यास AB के समान्तर स्पर्शी CD है।
∴ समान्तर x – अक्षों की प्रमेय से,
स्पर्श रेखा के परितः गोले का जड़त्व आघूर्ण
ICD = IAB + MR2
= \(\frac{2}{5}\) MR2 + MR2
= \(\frac{7}{5}\) MR2
Bihar Board Class 11 Physics Chapter 7 कणों के निकाय तथा घूर्णी गति

(b) माना M द्रव्यमान तथा R त्रिज्या के गोले के दो कास AB व CD हैं। माना चकती के लम्बवत् इसके द्रव्यमान केन्द्र O से गुजरने वाली अक्ष EF है। चकती के लम्बवत् अक्ष DG है जोकि चकती की परिधि पर स्थित बिन्दु D से गुजरती है। अर्थात् DG, EF के समान्तर है। माना चकती का EF अक्ष के परितः जड़त्व आघूर्ण IEF है।
Bihar Board Class 11 Physics Chapter 7 कणों के निकाय तथा घूर्णी गति
∴ लम्बवत् अक्षों की प्रमेय से,
IEE = IAB + ICD
= \(\frac{1}{2} M R^{2}\) + MR2 = \(\frac{3}{2} M R^{2}\)

Bihar Board Class 11 Physics Solutions Chapter 7 कणों के निकाय तथा घूर्णी गति

प्रश्न 7.11
समान द्रव्यमान और त्रिज्या के एक खोखले बेलन और एक ठोस गोले पर समान परिमाण के बल आघूर्ण लगाये गये हैं। बेलन अपनी सामान्य सममित अक्ष के परितः घूम सकता है और गोला अपने केन्द्र से गुजरने वाली किसी अक्ष के परितः एक दिये गये समय के बाद दोनों में कौन अधिक कोणीय चाल प्राप्त कर लेगा?
उत्तर:
माना खोखले बेलन व ठोस गोले के द्रव्यमान व त्रिज्या क्रमश: M व R हैं।
माना खोखले बेलन का सममित के परित: जड़त्व आघूर्ण L1 है तथा ठोस गोले का केन्द्र के परितः जड़त्व आघूर्ण I2 है।
Bihar Board Class 11 Physics Chapter 7 कणों के निकाय तथा घूर्णी गति
माना प्रत्येक पर लगाया गया बलाघूर्ण \(\hat { i } \) है। माना α1 व α2, क्रमश: बेलन व गोले पर कोणीय त्वरण हैं।
Bihar Board Class 11 Physics Chapter 7 कणों के निकाय तथा घूर्णी गति
माना ω1, व ω2 किसी क्षण t पर बेलन व गोले की कोणीय चाल है।
∴ ω1 = ω0 + α1t ………….. (iv)
व ω2 = ω0 + α2t
= ω0 + 2.5 α1t
समी० (iv) व (v) से
ω2 > ω1 अर्थात् गोले की कोणीय चाल बेलन से अधिक होगी।

प्रश्न 7.12
20 kg द्रव्यमान का कोई ठोस सिलिंडर अपने अक्ष के परितः 100 rad s-1 की कोणीय चाल से घूर्णन कर रहा है। सिलिंडर की त्रिज्या 0.25 m है। सिलिंडर के घूर्णन से संबद्ध गतिज ऊर्जा क्या है? सिलिंडर का अपने अक्ष के परितः कोणीय संवेग का परिमाण क्या है?
उत्तर:
दिया है:
m = 20 किग्रा
R = 0.25 मीटर
ω = 100 रेडियन प्रति सेकण्ड
माना बेलन की अक्ष के परितः जड़त्व आघूर्ण I है
तब I = \(\frac{1}{2} M R^{2}\)
= \(\frac{1}{2}\) × 20 × (0.25)2
= 0.625 किग्रा-मीटर2
∴ घूर्णन करते बेलन की गतिज ऊर्जा
K.E. = \(\frac{1}{2}\) Iω2
= \(\frac{1}{2}\) × 0.625 × (100)2
= \(\frac{1}{2}\) × 0.625 × \(\frac{10^{4}}{10^{3}}\) =3125 JKE
हम जानते हैं कि,
Bihar Board Class 11 Physics Chapter 7 कणों के निकाय तथा घूर्णी गति
= 62.5 JS

Bihar Board Class 11 Physics Solutions Chapter 7 कणों के निकाय तथा घूर्णी गति

प्रश्न 7.13
(a) कोई बच्चा किसी घूर्णिका (घूर्णीमंच) पर अपनी दोनों भुजाओं को बाहर की ओर फैलाकर खड़ा है। घूर्णिका को 40 rev/min की कोणीय चाल से घूर्णन कराया जाता है। यदि बच्चा अपने हाथों को वापस सिकोड़ कर अपना जड़त्व आघूर्ण अपने प्रारंभिक जड़त्व आघूर्ण का 2/5 गुना कर लेता है, तो इस स्थिति में उसकी कोणीय चाल क्या होगी? यह मानिए कि घूर्णिका की घूर्णन गति घर्षणरहित है।
(b) यह दर्शाइए कि बच्चे की घूर्णन की नयी गतिज ऊर्जा उसकी आरंभिक घूर्णन की गतिज ऊर्जा से अधिक है। आप गतिज ऊर्जा में हुई इस वृद्धि की व्याख्या किस प्रकार करेंगे?
उत्तर:
(a) माना बच्चे का प्रारम्भिक व अन्तिम जड़त्व आघूर्ण क्रमशः I1 व I2 है।
अतः
∴ I2 = \(\frac{2}{5}\) I1 दिया है।
v1 = 40 rev/min = \(\frac{40}{60}\) rev/min
v2 = ?
∴ ω1 = 2πv1
= \(\frac{2π×40}{60}\) rads-1
= \(\frac{4}{5}\) π रेडियन प्रति सेकण्ड
माना बच्चे को बाहर की ओर हाथ फैलाकर व सिकोड़कर घूर्णीय चाल क्रमश: ω1, व ω2 है।
रेखीय संवेग संरक्षण के नियम से,
I1ω1 = I2ω2
Bihar Board Class 11 Physics Chapter 7 कणों के निकाय तथा घूर्णी गति
∴ घूर्णन आवृत्ति v2
Bihar Board Class 11 Physics Chapter 7 कणों के निकाय तथा घूर्णी गति
= 100 चक्र प्रति मिनट
∴ v2 = 100 चक्र प्रति मिनट

(b) घूर्णन की प्रा० गतिज ऊर्जा
Bihar Board Class 11 Physics Chapter 7 कणों के निकाय तथा घूर्णी गति
स्पष्ट है कि हाथ सिकोड़कर बच्चे की घूर्णन गतिज ऊर्जा, घूर्णन की प्रा० गतिज ऊर्जा से \(\frac{5}{2}\) गुना अधिक है। अन्तिम स्थिति में गतिज ऊर्जा में वृद्धि, बच्चे की आन्तरिक ऊर्जा के कारण होती है।

Bihar Board Class 11 Physics Solutions Chapter 7 कणों के निकाय तथा घूर्णी गति

प्रश्न 7.14
3 kg द्रव्यमान तथा 40 cm त्रिज्या के किसी खोखले सिलिंडर पर कोई नगण्य द्रव्यमान की रस्सी लपेटी गई है। यदि रस्सी को 30 Nबल से खींचा जाए तो सिलिंडर का कोणीय त्वरण क्या होगा? रस्सी का रैखिक त्वरण क्या है? यह मानिए कि इस प्रकरण में कोई फिसलन नहीं है।
उत्तर:
दिया है:
बेलन का द्रव्यमान,
M = 3 kg
बेलन की त्रिज्या R = 0.4 m
स्पर्शरेखीय बल F = 30 N
a = ?
α = ?
माना खोखले बेलन का अक्ष के परितः जड़त्व घूर्णन है।
अतः I = MR2
= 3(0.4)2
= 0.48 kg m2
माना बेलन पर आरोपित बलाघूर्णन t है।
अतः τ = FR = 30 × 0.4 = 12 Nm
∴ α = \(\frac{τ}{1}\) = \(\frac{12}{0.48}\) = 25 rad-2
α = Rα = 0.4 × 25

प्रश्न 7.15
किसी घूर्णक (रोटर) की 200 rads-1 की एकसमान कोणीय चाल बनाए रखने के लिए एक इंजन द्वारा 180 Nm का बल आघूर्ण प्रेषित करना आवश्यक होता है। इंजन के लिए आवश्यक शक्ति ज्ञात कीजिए। (नोट : घर्षण की अनुपस्थिति में एकसमान कोणीय वेग होने में यह समाविष्ट है कि बल का आघूर्ण शून्य है। व्यवहार में लगाए गए बल आघूर्ण की आवश्यकता घर्षणी बल आघूर्ण को निरस्त करने के लिए होती है।) यह मानिए कि इंजन की दक्षता 100% है।
उत्तर:
दिया है:
ω = 200 रेडियन प्रति सेकण्ड
τ = 180 न्यूटन मीटर
P = ?
सम्बन्ध P = τw से,
P = 180 × 200
= 36000 वॉट
= 36 किलो वॉट

Bihar Board Class 11 Physics Solutions Chapter 7 कणों के निकाय तथा घूर्णी गति

प्रश्न 7.16
R त्रिज्या वाली समांग डिस्क से R/2 त्रिज्या का एक वृत्ताकार भाग काट कर निकाल दिया गया है। इस प्रकार बने वृत्ताकार सुराख का केन्द्र मूल डिस्क के केन्द्र से R/2 दूरी पर है। अवशिष्ट डिस्क के गुरुत्व केन्द्र की स्थिति ज्ञात कीजिए।
उत्तर:
प्रारम्भिक चकती की त्रिज्या = R
काटकर अलग की गई चकती की त्रिज्या = \(\frac{R}{2}\)
माना A व a चकतियों के क्षे० हैं।
अतः A = πR2
तथा a = π(\(\frac{R}{2}\))2 = \(\frac{\pi R^{2}}{4}\)
Bihar Board Class 11 Physics Chapter 7 कणों के निकाय तथा घूर्णी गति
यहाँ O प्रारम्भिक चकती का केन्द्र है।
तथा O1 अलग किए गए गोल भाग का केन्द्र है।
व O2 बचे हुए भाग का केन्द्र है।
p = डिस्क का प्रति एकांक क्षेत्रफल द्रव्यमान है।
माना m1 व m वास्तविक चकती व अलग किए गए चकती के द्रव्यमान है।
अतः m1 = ρA = πR2ρ
तथा m = ρa = \(\frac{\pi R^{2}}{4}\)ρ
माना शेष बचे भाग का द्रव्यमान m है।
अतः m2 = m1 – m
Bihar Board Class 11 Physics Chapter 7 कणों के निकाय तथा घूर्णी गति
माना मूल बिन्दु O है।
माना Rcm बचे भाग का द्रव्यमान केन्द्र है।
Bihar Board Class 11 Physics Chapter 7 कणों के निकाय तथा घूर्णी गति
ऋणात्मक चिह्न यह व्यक्त करता है कि बचे भाग का द्रव्यमान केन्द्र O से बाईं ओर है जोकि कटे भाग के केन्द्र के विपरीत ओर है।

प्रश्न 7.17
एक मीटर छड़ के केन्द्र के नीचे क्षुर – धार रखने पर वह इस पर संतुलित हो जाती है जब दो सिक्के, जिनमें प्रत्येक का द्रव्यमान 5g है, 12.0 cm के चिह्न पर एक के ऊपर एक रखे जाते हैं तो छड़ 45.0 cm चिह्न पर संतुलित हो जाती है। मीटर छड़ का द्रव्यमान क्या है?
उत्तर:
माना m ग्राम = द्रव्यमान/छड़ की ल० सेमी
माना m मीटर का कुल द्रव्यमान व m = 100 ग्राम है।
जब मीटर केन्द्र पर सन्तुलित होता है, तब प्रत्येक भाग का द्रव्यमान = 50 मी/ग्राम
Bihar Board Class 11 Physics Chapter 7 कणों के निकाय तथा घूर्णी गति
माना 12 सेमी चिह्न पर रखे दो सिक्कों का द्रव्यमान m2 है।
m2 = 5 × 2 = 10 ग्राम
द्रव्यमान केन्द्र = 45 सेमी के चिह्न पर (बिन्दु A)
चूँकि छड़ी सन्तुलन में है। अतः बिन्दु A के परित: अलग-अलग द्रव्यमानों का आघूर्ण समान है।
Bihar Board Class 11 Physics Chapter 7 कणों के निकाय तथा घूर्णी गति
या (3025 – 1089 – 936)
m = 330 × 2 = 660
या 1000m = 660
या m = 0.66 ग्राम
M = 100m = 100 × 0.66 = 66 ग्राम

Bihar Board Class 11 Physics Solutions Chapter 7 कणों के निकाय तथा घूर्णी गति

प्रश्न 7.18
एक ठोस गोला, भिन्न नति के दो आनत तलों पर एक ही ऊँचाई से लुढ़कने दिया जाता है।
(a) क्या वह दोनों बार समान चाल से तली में पहुँचेगा?
(b) क्या उसको एक तल पर लुढ़कने में दूसरे से अधिक समय लगेगा?
(c) यदि हाँ, तो किस पर और क्यों?
उत्तर:
माना तल – 1 पर निम्न बिन्दु से शिखर तक चली दूरी व झुकाव क्रमशः l2 व θ1 है।
Bihar Board Class 11 Physics Chapter 7 कणों के निकाय तथा घूर्णी गति
तथा तल – 2 पर निम्न बिन्दु से शिखर तक चली दूरी व झुकाव क्रमश: l2 व θ2 है।
स्पष्ट है कि θ1 > θ2
∴ sin θ1 > sin θ2
या \(\frac{\sin \theta_{1}}{\sin \theta_{2}}>1\) > 1 …………….. (i)
प्रत्येक झुके तल की ऊँचाई,
λ = 14 l1 sinθ 1 = l2 sin θ2 (a) है।
तल के शिखर पर, गोले में केवल स्थितिज ऊर्जा होगी। i.e., PE = mgh
जहाँ m = गोले का द्रव्यमान है।
जब गोला शिखर से निम्न बिन्दु तक लुढ़कता है, तो स्थितिज ऊर्जा, रैखिक गतिज ऊर्जा (\(\frac{1}{2}\) Iω2) में परिवर्तित हो जाती है। जहाँ I गोले का जड़त्वाघूर्ण है। माना तल के निम्न बिन्दु पर रेखीय वेग v व कोणीय चाल के ω है।
माना v1 व v2 क्रमशः दोनों तलों (1 व 2) पर निम्न बिन्दु पर रेखीय वेग है।
अत:
Bihar Board Class 11 Physics Chapter 7 कणों के निकाय तथा घूर्णी गति
जहाँ K घूर्णन त्रिज्या है।
समी० (ii) व (iii) से स्पष्ट है कि प्रत्येक स्थिति में गोला निम्न बिन्दु पर समान वेग से लौटता है।

(b) हाँ, यह तल – 1 पर तल – 2 से अधिक समय लेगा। यह समय कम झुकाव वाले तल के लिए अधिक होगा।
व्याख्या: माना तल – 1 व तल – 2 पर फिसलने में लिया गया समय क्रमशः t1 व t2 है।
ठोस गोले के लिए,
Bihar Board Class 11 Physics Chapter 7 कणों के निकाय तथा घूर्णी गति
हम जानते हैं कि, झुके तल पर वस्तु का त्वरण निम्न है –
Bihar Board Class 11 Physics Chapter 7 कणों के निकाय तथा घूर्णी गति
जहाँ θ = झुकाव
माना झुके तल – 1 व 2 पर गोले के त्वरण क्रमशः a1 व a2 है।
Bihar Board Class 11 Physics Chapter 7 कणों के निकाय तथा घूर्णी गति
पुनः माना तल 1 व 2 पर फिसलने का समय क्रमश: t1 व t2 2 है। अतः
सूत्र S = ut + \(\frac{1}{2}\)at2 से,
Bihar Board Class 11 Physics Chapter 7 कणों के निकाय तथा घूर्णी गति
समी० (iv) को भाग देने पर
Bihar Board Class 11 Physics Chapter 7 कणों के निकाय तथा घूर्णी गति
समी० (vi) व (vii) से,
\(\frac{t_{1}}{t_{2}}\) < 1 t1 < t2
समय t, झुकाव कोण θ पर निर्भर करता है। अतः झुकाव कोण जितना कम होगा, गोला लुढ़कने में उतना ही अधिक समय लेगा।

Bihar Board Class 11 Physics Solutions Chapter 7 कणों के निकाय तथा घूर्णी गति

प्रश्न 7.19
2 m त्रिज्या के एक वलय (छल्ले) का भार 100 kg है। यह एक क्षैतिज फर्श पर इस प्रकार लोटनिक गति करता है कि इसके द्रव्यमान केन्द्र की चाल 20 cm/s हो। इसको रोकने के लिए कितना कार्य करना होगा?
उत्तर:
दिया है:
r = 2 मीटर
m = 100 किग्रा
द्रव्यमान केन्द्र का वेग,
y = 20 cms-1
= 0.20 मीटर/सेकण्ड
रोकने में व्यय कार्य = ?
माना वलय का कोणीय वेग ω है।
अतः ω = \(\frac{v}{r}\) = \(\frac{0.20}{2}\) = 0.10 सेकण्ड/से०
माना वलय का केन्द्र से गुजरती व तल के लम्बवत् अक्ष के परितः जड़त्वाघूर्णन I है।
1 = mr2
= 100 × (2)2
= 400 kgm2
वलय की सम्पूर्ण गतिज ऊर्जा =वलय की घूर्णन गतिज ऊर्जा + वलय की रेखीय गतिज ऊर्जा
या
Bihar Board Class 11 Physics Chapter 7 कणों के निकाय तथा घूर्णी गति
= 2 + 2 + 4J
∴ कार्य ऊर्जा प्रमेय से,
रोकने में व्यय कार्य = वलय की सम्पूर्ण KE
= 4 जूल

Bihar Board Class 11 Physics Solutions Chapter 7 कणों के निकाय तथा घूर्णी गति

प्रश्न 7.20
ऑक्सीजन अणु का द्रव्यमान 5.30 × 10-26 kg है तथा इसके केन्द्र से होकर गुजरने वाली और इसके दोनों परमाणुओं को मिलाने वाली रेखा के लम्बवत् अक्ष के परितः जड़त्व आघूर्ण 1.94 × 10-46 kg m2 है। मान लीजिए कि गैस के ऐसे अणु की औसत चाल 500 m/s है और इसके घूर्णन की गतिज ऊर्जा, स्थानान्तरण की गतिज ऊर्जा की दो तिहाई है। अणु का औसत कोणीय वेग ज्ञात कीजिए।
उत्तर:
दिया है:
ऑक्सीजन अणु का द्रव्यमान
m = 5.30 × 10-26 किग्रा
ऑक्सीजन अणु का जड़त्वाघूर्णन
I = 1.94 × 10-46 किग्रा – मीटर
अणु का मध्य वेग v = 500 ms-1
औसत कोणीय चाल = ?
प्रश्नानुसार, घूर्णन की गतिज ऊर्जा,
\(\frac{2}{3}\) × रैखिक गतिज ऊर्जा KE
Bihar Board Class 11 Physics Chapter 7 कणों के निकाय तथा घूर्णी गति

प्रश्न 7.21
एक बेलन 30° कोण बनाते आनत तल पर लुढ़कता हुआ ऊपर चढ़ता है। आनत तल की तली में बेलन के द्रव्यमान केन्द्र की चाल 5 m/s है।
(a) आनत तल पर बेलन कितना ऊपर जायेगा?
(b) वापस तली तक लौट आने में इसे कितना समय लगेगा?
उत्तर:
दिया है:
θ = 30°
तलों में बेलन के द्रव्यमान केन्द्र की चाल, u = 5 मीटर/सेकण्ड

(a) आनत तल पर लुढ़कते बेलन का त्वरण = -a
Bihar Board Class 11 Physics Chapter 7 कणों के निकाय तथा घूर्णी गति
माना बेलन ठोस है, तब K2 = \(\frac{R^{2}}{2}\)
Bihar Board Class 11 Physics Chapter 7 कणों के निकाय तथा घूर्णी गति
माना तल पर चली दूरी S है।
∴ v = 0
सूत्र v2 = u2 = 2as से,

(b) माना तली तक आने में बेलन को T समय लगता है।
∴ T = 2t जहाँ t आने या जाने का समय है।
Bihar Board Class 11 Physics Chapter 7 कणों के निकाय तथा घूर्णी गति
s = 3.83 मीटर
दिया है:
प्रा० वेग = 0
∴ सूत्र s = ut + \(\frac{1}{2}\) at2 से,
Bihar Board Class 11 Physics Chapter 7 कणों के निकाय तथा घूर्णी गति

Bihar Board Class 11 Physics Solutions Chapter 7 कणों के निकाय तथा घूर्णी गति

प्रश्न 7.22
जैसा चित्र में दिखाया गया है, एक खड़ी होने वाली सीढ़ी के दो पक्षों BA और CA की लम्बाई 1.6 m है और इनको A पर कब्जा लगा कर जोड़ा गया है। इन्हें ठीक बीच में 0.5 m लम्बी रस्सी DE द्वारा बाँधा गया है। सीढ़ी BA के अनुदिश B से 1.2 m की दूरी पर स्थित बिन्दु F से 40 kg का एक भार लटकाया गया है। यह मानते हुए कि फर्श घर्षण रहित है और सीढ़ी का भार उपेक्षणीय है, रस्सी में तनाव और सीढ़ी पर फर्श द्वारा लगाया गया बल ज्ञात कीजिए। (g = 9.8 m/s2 लीजिए) (संकेत : सीढ़ी के दोनों ओर के संतुलन पर अलगअलग विचार कीजिए)
Bihar Board Class 11 Physics Chapter 7 कणों के निकाय तथा घूर्णी गति
उत्तर:
दिया है:
AB = AC = 1.6 मीटर
DE = 0.5 मीटर
AD = DB = AE = EC = \(\frac{1.6}{2}\) = 0.8 मीटर
BF = 1.2 मीटर
AF = 0.4 मीटर
माना रस्सी में तनाव = T
फर्श द्वारा सीढ़ी पर बिन्दु B व C पर आरोपित बल
= N’B NC = ?
Bihar Board Class 11 Physics Chapter 7 कणों के निकाय तथा घूर्णी गति
W = 40 kg wt = 40 × 9.8 N = 392 N
माना = A’ = DE का मध्य बिन्दु
∴ DA’ = \(\frac{5}{2}\) = 25 m
DF’ = 125 m चित्र में स्पष्ट है कि
NB = Nc = W = 392 N ………… (i)
माना सीढ़ी AB व AC अलग-अलग सन्तुलन में है। A के परितः विभिन्न बलों का आघूर्ण लेने पर
NB × BC’ = W × DF’ + T × AA’ (AB सीढ़ी के लिए)
या NB × AB cos θ
= W × 0.125 + T × 0.8 sin θ ……………. (ii)

इसी सीढ़ी AC के लिए,
या NC × CC’ = T × AA’
या NC × AC cos θ = T × 0.8 sin θ ……………… (iii)

∆DEF’ में,
cos θ = \(\frac{DF’}{DF}\) = \(\frac{0.125}{0.4}\)
= 0.3125 = cos θ 72.8°
∴ θ = 72.8′
∴ sin θ = 0.9553
tan θ = 3.2305
∴ समी० (ii) व (iv) से,
NB × 0.6 × 0.135 = 0.392 × 0.125 + T × 0.8 × 0.9553
या 0.5 NB = 0.764 + 49 …………… (v)
इसी प्रकार,
NC + 1.6 × 0.3125 = T × 0.8 × 0.9553
या 0.5NC = 0.764T
समी० (v) व (vi) से,
NC + 1.6 × 0.3125 = T × 0.8 x 0.9553
या 0.5NC = 0.764T …………… (vi)
समी० (v) व (vi) से,
0.5NB = 0.5NC + 49
या \(\frac{1}{2}\) (NB – NC) = 49
या NB – NC = 98 ………….. (vii)
समी० (i) व (vii) को जोड़ने पर,
2NB = 392 + 98 = 450
∴ NB = 225 N
∴ NC = NB – 98
= 225 – 98 = 147 N ……. (viii)
∴ समी० (vi) व (viii) से,
0.5 × \(\frac{147}{0.764}\) = 96.2 N

Bihar Board Class 11 Physics Solutions Chapter 7 कणों के निकाय तथा घूर्णी गति

प्रश्न 7.23
कोई व्यक्ति एक घूमते हुए प्लेटफॉर्म पर खड़ा है। उसने अपनी दोनों बाहें फैला रखी हैं और उनमें से प्रत्येक में 5 kg भार पकड़ रखा है। प्लेटफॉर्म का कोणीय चाल 30 rev/min है। फिर वह व्यक्ति बाहों को अपने शरीर के पास ले आता है जिससे घूर्णन अक्ष से प्रत्येक भार की दूरी 90 cm से बदल कर 20 cm हो जाती है। प्लेटफॉर्म सहित व्यक्ति के जड़त्व आघूर्ण का मान 7.6 kg m2 ले सकते हैं।
(a) उसका नया कोणीय वेग क्या है? (घर्षण की उपेक्षा कीजिए)
(b) क्या इस प्रक्रिया में गतिज ऊर्जा संरक्षित होती है? यदि नहीं, तो इसमें परिवर्तन का स्त्रोत क्या है?
उत्तर:
दिया है:
प्रत्येक हाथ में द्रव्यमान = 5 किग्रा
r1 = 90 cm = 0.90 मीटर
r2 = 20 cm = 0.20 मीटर
आदमी तथा प्लेटफॉर्म का जड़त्व आघूर्ण,
1 = 7.6 kgm2
माना r1 व r2 दूरी पर जड़त्वाघूर्ण क्रमशः I’1 व I’2 है।
तब सूत्र I = mr2 से,
I’1 = 2m × \(r_{\mathrm{1}}^{2}\)
= 2 × 5 × (0.2)2
= 8.1 kgm2
I’2 = 2m × \(r_{\mathrm{2}}^{2}\)
= 2 × 5 × (0.2)2
= 0.4 kgm2
माना r1 व r2 दूरी पर निकाय (व्यक्ति + भार + प्लेटफॉर्म) का जड़त्वाघूर्ण क्रमशः
I1 व I है।
तब –
I1 = I’1 + I = 8.1 + 7.6 = 15.7 kgm2 तथा
I2 = I’2I
= 0.4 + 7.6 = 8.0 kgm2
v1 = 30 rpm = \(\frac{30}{60}\) = \(\frac{1}{2}\) ps
ω1 = 2πv1 = 2π × \(\frac{1}{2}\) = π rads-1
माना r2 दूरी पर नवीन कोणीय चाल ω2 है।
∴ कोणीय संवेग संरक्षण के नियम से,
या I1ω1 = I2ω2
15.7 × π = 8 × ω2
या ω2 = 15.7 \(\frac{π}{8}\)
= 1.9625 π rads-1
∴ कोणीय आवृत्ति v2 निम्न है –
v2 = \(\frac{\omega_{2}}{2 \pi}\) = \(\frac{1.9625}{2π}\) × π rps
= \(\frac{1.9625}{2}\) × 60 rpm
= 58.875 rpm
= 58.9 rpm
= 59 rpm
नहीं, यहाँ गतिज ऊर्जा संरक्षित नहीं होगी? चूँकि घूर्णनी गति में कोणीय संवेग संरक्षित रहता है। अत: यह आवश्यक नहीं है कि घूर्णनी गतिज ऊर्जा भी संरक्षित रहे जिसे निम्न रूप में समझाया जा सकता है –
Bihar Board Class 11 Physics Chapter 7 कणों के निकाय तथा घूर्णी गति
अर्थात् I के घटने पर घूर्णनी KE बढ़ती है। KE में यह परिवर्तन (i.e., वृद्धि) वस्तु के जड़त्वाचूर्ण को कम करने में व्यक्ति द्वारा किए गए कार्य के व्यय होने के कारण होता है।

Bihar Board Class 11 Physics Solutions Chapter 7 कणों के निकाय तथा घूर्णी गति

प्रश्न 7.24
10g द्रव्यमान और 500 m/s चाल वाली बन्दूक की गोली एक दरवाजे के ठीक केन्द्र में टकराकर उसमें अंत:स्थापित हो जाती है। दरवाजा 1.0 m चौड़ा है और इसका द्रव्यमान 12 kg है। इसके एक सिरे पर कब्जे लगे हैं और यह इनसे गुजरती एक ऊर्ध्वाधर अक्ष के परितः लगभग बिना घर्षण के घूम सकता है। गोली के दरवाजे में अंत:स्थापन के ठीक बाद इसका कोणीय वेग ज्ञात कीजिए। (संकेत : एक सिरे से गुजरती ऊर्ध्वाधर अक्ष के परितः दरवाजे का जड़त्व-आघूर्ण ML2/3 है)
उत्तर:
दिया है:
गोली का द्रव्यमान
m = 10g = 0.01
किग्रा गोली का वेग v = 500 मीटर/से०
दरवाजे की चौ० b = 1.0 मीटर
दरवाजे का द्र० M = 12 किग्रा
कोणीय चाल = ?
ऊर्जा संरक्षण के नियम से,
\(\frac{1}{2}\) mv2 = \(\frac{1}{2}\) Iω2
माना कब्जे वाली भुजा के परितः जड़त्वाघूर्ण है।
∴ I = \(\frac{1}{3}\) (M + m) (\(\frac{b}{2}\))2
(∵ द्रव्यमान केन्द्र से दूरी = \(\frac{b}{2}\) तथा गोली दरवाजे में है।)
\(\frac{1}{2}\) mv2 = \(\frac{1}{3}\) (M + m) (\(\frac{b}{2}\))2
\(\frac{1}{2}\) mv2 = \(\frac{1}{2}\) × \(\frac{1}{3}\) (M + m) \(\frac{b^{2}}{4}\) ω2
Bihar Board Class 11 Physics Chapter 7 कणों के निकाय तथा घूर्णी गति
= 49.98 रेडियन/सेकण्ड

प्रश्न 7.25
दो चक्रिकाएँ जिनके अपने-अपने अक्षों (चक्रिका के अभिलंबवत् तथा चक्रिका के केंद्र से गुजरने वाले) के परितः जड़त्व आघूर्ण I1 तथा I2 हैं और जो तथा ω1 तथा ω2 कोणीय चालों से घूर्णन कर रही है, को उनके घूर्णन अक्ष संपाती करके आमने-सामने लाया जाता है?
(a) इस दो चक्रिका निकाय की कोणीय चाल क्या है?
(b) यह दर्शाइए कि इस संयोजित निकाय की गतिज ऊर्जा दोनों चक्रिकाओं की आरंभिक गतिज ऊर्जाओं के योग से कम है। ऊर्जा में हुई इस हानि की आप कैसे व्याख्या करेंगे? ω1 ≠ ω2 लीजिए।
उत्तर:
माना I1 व I2 जड़त्व आघूर्ण वाली चकतियों की कोणीय चाल क्रमशः ω1 व ω2 है। सम्पर्क में लाने पर दोनों चकतियों के निकाय का जड़त्व आघूर्ण I1 + I2 होगा।
माना ω = पूरे निकाय की कोणीय चाल है।

(a) ∵ दोनों चकतियों के कुल प्रा० कोणीय संवेग,
L1 = I1 ω1 + I2ω2
संयुक्त निकाय का कुल अन्तिम कोणीय संवेग,
L2 = L1
या (I1 + I2)ω = I1ω1 + I2ω1
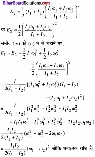
Bihar Board Class 11 Physics Chapter 7 कणों के निकाय तथा घूर्णी गति

(b) दोनों चकतियों की प्रा० गतिज ऊर्जा
Bihar Board Class 11 Physics Chapter 7 कणों के निकाय तथा घूर्णी गति
संयुक्त निकाय की अन्तिम KE.
E2 = \(\frac{1}{2}\) (I1 + I22 ………….. (iii)
Bihar Board Class 11 Physics Chapter 7 कणों के निकाय तथा घूर्णी गति
समी० (i) व (ii) से,
Bihar Board Class 11 Physics Chapter 7 कणों के निकाय तथा घूर्णी गति
जोकि धनात्मक राशि है।
अतः E1 – E2 > 0 या E1 > E2
या E2 > E1 अर्थात् पूरे निकाय की घूर्णनी गतिज ऊर्जा दोनों चकतियों की प्रारम्भिक ऊर्जाओं के योग से कम है। अतः दो चकतियों को सम्पर्क में लाने पर, गतिज ऊर्जा में कमी आती है। यह कमी दोनों चक्रिकाओं की सम्पर्कित सतहों के बीच घर्षण के बल के कारण होती है।

Bihar Board Class 11 Physics Solutions Chapter 7 कणों के निकाय तथा घूर्णी गति

प्रश्न 7.26
(a) लम्बवत् अक्षों के प्रमेय की उपपत्ति करें। संकेत (x, y) तल के लम्बवत् मूल बिन्दु से गुजरती अक्ष से किसी बिन्दु x – y की दूरी का वर्ग (x2 + y2) है
(b) समांतर अक्षों के प्रमेय की उपपत्ति करें(संकेत : यदि द्रव्यमान केन्द्र को मूल बिन्दु ले लिया जाये तो Σmiri = 0)
उत्तर:
(a) समकोणिक (लम्ब) अक्षों की प्रमेयकिसी समतल पटल को उसके तल में ली गई दो परस्पर लम्बवत् अक्षों OX तथा OY के परित: जड़त्व आघूर्णों का योग इन अक्षों के कटान बिन्दु O में को जाने वाली तथा पटल के तल के लम्बवत् अक्ष OZ के परित: जड़त्व आघूर्ण के बराबर होता है। पटल का अक्ष OZ के परितः जड़त्व आघूर्ण Iz = Iz + Iy
जहाँ Iz तथा Iy पटल का क्रमश: अक्ष OX तथा OY के परितः जड़त्व आघूर्ण है।

सिद्ध करना:
माना एक पटल है जिसके तल में दो परस्पर लम्बवत् अक्षं OX तथा OY ली गई हैं अक्ष OZ पटल के तल के अभिलम्बवत् है तथा OX व OY के कटान बिन्दु०से गुजरती है। माना अक्ष OZ से r दूरी पर m द्रव्यमान का एक कण P है। इस कण का अक्ष OZ के परितः जड़त्व आघूर्ण mr2 होगा। अतः पूरे पटल का अक्ष OZ के परित: जड़त्व आघूर्ण
Iz = Σmr2
लेकिन r2 = x2 + y2
Bihar Board Class 11 Physics Chapter 7 कणों के निकाय तथा घूर्णी गति
जहाँ x व y कण भी क्रमश: अक्षों OY व OX से दूरियाँ हैं।
∴ I2 = Σm(x2 + y2)
= Σmx2 + Σmy2
लेकिन Ix = Σmx2 तथा Iy = Σmy2
अतः Ix = Iz + Iy

(b) समान्तर अक्षों की प्रमेय-किसी पिंड का किसी अक्ष के परितः जड़त्व आघूर्ण (I) उस पिंड के द्रव्यमान केन्द्र में को जाने वाली समान्तर अक्ष के परितः जड़त्व आघूर्ण (Icm) तथा पिंड के द्रव्यमान व दोनों अक्षों के बीच की लम्बवत् दूरी के वर्ग के गुणनफल के योग के बराबर होता है।
I = Icm + Ma2
जहाँ M पिंड का द्रव्यमान है तथा a दोनों अक्षों के बीच लम्बवत् दूरी है।

सिद्ध करना:
माना एक समतल पटल है जिसका द्रव्यमान केन्द्र C है। माना पटल का पटल के तल में स्थित अक्ष AB के परितः जड़त्व आघूर्ण I है तथा इसके द्रव्यमान केन्द्र C से गुजरने वाली समान्तर अक्ष EF के परितः जड़त्व आघूर्ण Icm है। माना AB तथा EF अक्षों के बीच लम्बवत् दूरी a है। माना EF अक्ष से दूरी पर m द्रव्यमान का एक कण P है। P की AB से दूरी (r + a) होगी। P का AB के परितः जड़त्व आघूर्ण m(r + a)2 होगा। अतः पूरे पटल का AB अक्ष के परितः जड़त्व आघूर्ण
Bihar Board Class 11 Physics Chapter 7 कणों के निकाय तथा घूर्णी गति
I = Σm(r + a)2
= Σm(r2 + a2 + 2ar)
I = Σmr2 + Σma2 + 2aΣmr
अथवा I = Σmr2 + a2Σ + 2aΣmr
लेकिन Icm = Σmr2
तथा a2Σm = a2M
तथा Σmr = 0 क्योंकि किसी पटल के समस्त कणों का पटल के द्रव्यमान केन्द्र में से गुजरने वाली अक्ष के परित: आघूर्णों का योग शून्य होता है। अतः
I = Icm + Ma2

Bihar Board Class 11 Physics Solutions Chapter 7 कणों के निकाय तथा घूर्णी गति

प्रश्न 7.27
सत्र v2 = \(\frac{2 g h}{\left(1+k^{2} / R^{2}\right)}\) को गतिकीय दृष्टि (अर्थात् बलों तथा बल आघूर्णों के विचार) से व्युत्पन्न कीजिए। जहाँ v लोटनिक गति करते पिंड (वलय, डिस्क, बेलन या गोला) का आनत तल की तली में वेग है। आनत तल पर h वह ऊँचाई है जहाँ से पिंड गति प्रारंभ करता है। सममित अक्ष के परितः पिंड की घूर्णन त्रिज्या है और R पिंड की त्रिज्या है।
उत्तर:
माना M व R क्रमश: गोलीय पिंड के द्रव्यमान व त्रिज्या है, यह एक ऐसे आनत तल पर A बिन्दु पर रखा गया है जिसका क्षैतिज से झुकाव θ है। इस पिंड में A बिन्दु पर पूर्णतः स्थितिज ऊर्जा होगी।
∴ E = mgh …….. (i)
Bihar Board Class 11 Physics Chapter 7 कणों के निकाय तथा घूर्णी गति
जब यह पिंड तल पर फिसलना प्रारम्भ करता है, पिंड द्रव्यमान केन्द्र से गुजरने वाली अक्ष (i.e., c) से गुजरता है जो कि तल के समान्तर है। इसके भार व भार के घटक के कारण घूर्णनी गति नहीं होती है कि इसकी क्रिया रेखा C से गुजरती है। इस प्रकार पिंड पर लगने वाला सम्पूर्ण बलाघूर्ण शून्य होगा। घर्षण बलाघूर्ण अर्थात् घूर्णन के कारण बल लगता है।
∴ τ = FR ………….. (ii)
घूर्णन करते पिंड की सम्पूर्ण गतिज ऊर्जा (E) में रैखिक गतिज ऊर्जा (Kt व घूर्णनी गतिज ऊर्जा (Kr) होती है।
i.e., E = Kt + Kr
Bihar Board Class 11 Physics Chapter 7 कणों के निकाय तथा घूर्णी गति
तथा v = Rω = घूर्णन करते पिंड का रैखिक वेग
जहाँ जे कोणीय ω वेग है।
पिंड का जड़त्व आघूर्ण, I = \(\frac{1}{2}\) mK2 जहाँ K = घूर्णन त्रिज्या।
माना पृष्ठ सतह खुरदरी है तथा पिंड बिना फिसले ही घूर्णन करता है। बिन्दु B पर, पिंड में दोनों रैखिक व घूर्णनी गतिज ऊर्जाएँ होती हैं। बिन्दु B पर सम्पूर्ण ऊर्जा समी० (iii) के अनुसार होगी।
ऊर्जा संरक्षण के नियम से,
बिन्दु A पर स्थितिज ऊर्जा = बिन्दु B पर सम्पूर्ण गतिज ऊर्जा
Bihar Board Class 11 Physics Chapter 7 कणों के निकाय तथा घूर्णी गति

प्रश्न 7.28
अपने अक्ष पर ω0 कोणीय चाल से घूर्णन करने वाली किसी चक्रिका को धीरे से (स्थानान्तरीय धक्का दिए बिना) किसी पूर्णतः घर्षणरहित मेज पर रखा जाता है। चक्रिका की त्रिज्या R है। चित्र में दर्शाई चक्रिका के बिन्दुओं A, B तथा C पर रैखिक वेग क्या हैं? क्या यह चक्रिका चित्र में दर्शाई दिशा में लोटनिक गति करेगी?
Bihar Board Class 11 Physics Chapter 7 कणों के निकाय तथा घूर्णी गति
उत्तर:
चक्रिका व मेज के मध्य घर्षण बल शून्य है। इस कारण चक्रिका लोटनिक गति नहीं कर पाएगी व मेज के एक ही बिन्दु B के सम्पर्क में रहते हुए अपनी अक्ष के परित: घूर्णनी गति करती रहेगी।
दिया है:
बिन्दु A की अक्ष से दूरी R है।
अतः बिन्दु A पर रैखिक वेग,
VA = Rω0 (तीर की दिशा में)
तथा बिन्दु B पर रैखिक वेग,
VA = Rω0 (तीर की विपरीत दिशा में)
चूँकि बिन्दु C की अक्ष से दूरी \(\frac{R}{2}\) है
अतः बिन्दु C पर रैखिक वेग vc = \(\frac{R}{2}\) (क्षैतिजत: बाईं ओर से दाईं ओर को)
अर्थात् चक्रिका लोटनिक गति नहीं करेगी।

Bihar Board Class 11 Physics Solutions Chapter 7 कणों के निकाय तथा घूर्णी गति

प्रश्न 7.29
स्पष्ट कीजिए कि चित्र (प्रश्न 7.28) में अंकित दिशा में चक्रिका की लोटनिक गति के लिए घर्षण होना आवश्यक क्यों है?
(a) B पर घर्षण बल की दिशा तथा परिशुद्ध लुढ़कन आरंभ होने से पूर्व घर्षणी बल आघूर्ण की दिशा क्या है?
(b) परिशुद्ध लोटनिक गति आरंभ होने के पश्चात् घर्षण बल क्या है?
उत्तर:
(a) बिन्दु B पर घर्षण बल B के वेग का विरोध करता है। अतः घर्षण बल तीर की दिशा में होगा। घर्षण बल आघूर्ण के कार्य करने की दिशा इस प्रकार है कि वह कोणीय गति का विरोध करता है। ω0 व τ दोनों ही कागज के पृष्ठ के अभिलम्बवत् कार्य करते हैं। इनमें ω0 कागज के पृष्ठ के अंतर्मुखी व र कागज के पृष्ठ के बहिर्मुखी है।
(b) घर्षण बल सम्पर्क – बिन्दु B के वेग को कम कर देता है। जब यह वेग शून्य होता है तो चक्रिका की लोटन गति आदर्श सुनिश्चित हो जाती है। एक बार ऐसा हो जाने पर घर्षण बल का मान शून्य हो जाता है।

प्रश्न 7.30
10 cm त्रिज्या की कोई ठोस चक्रिका तथा इतनी ही त्रिज्या का कोई छल्ला किसी क्षैतिज मेज पर एक ही क्षण 10π rads-1 की कोणीय चाल से रखे जाते हैं। इनमें से कौन पहले लोटनिक गति आरंभ कर देगा। गतिज घर्षण गुणांक µk = 0.2
उत्तर:
दिया है:
छल्ले तथा ठोस चक्रिका की त्रिज्या,
R = 10 सेमी – 0.1 मीटर
µk = 0.2
छल्ले का जड़त्व आघूर्ण = MR2 …………… (i)
ठोस चक्रिका का जड़त्व आघूर्ण = \(\frac{1}{2}\)mR2 …………….. (ii)
प्रा० कोणीय वेग = ω0 = 10π रेडियन/सेकण्ड
घर्षण बल के कारण गति होती है तथा घर्षण के कारण द्रव्यमान केन्द्र त्वरित होता है। छल्ला शून्य प्रारम्भिक वेग से चलता है। प्रारम्भिक कोणीय वेग ω0 में मन्दन घर्षण बलाघूर्ण के कारण होता है।
हम जानते हैं कि F = µkN = ma
या µkmg = ma
या a = µkg ……………. (iii)
तथा बलाघूर्ण τ = -Iα
= FR = µkmgR ……………. (iv)
जहाँ R = चकती या वलय की त्रिज्या
ऋणात्मक चिह्न प्रदर्शित करता है कि मन्दन बलाघूर्ण है।
यहाँ u = 0
∴ v = u + at से
v = at or a = \(\frac{v}{t}\)
समी० (iii) से a = µkg
या \(\frac{v}{t}\) = µkg
या v = µkgt (छल्ले के लिए)
तथा = µkgt’ (चकती के लिए) …………….. (v)
समी० (iv) से
Bihar Board Class 11 Physics Chapter 7 कणों के निकाय तथा घूर्णी गति
माना छल्ले की t समय व चकती की t’ समय बाद कोणीय वेग
∴ सम्बन्ध ω = ω0 + αt से,
Bihar Board Class 11 Physics Chapter 7 कणों के निकाय तथा घूर्णी गति
एकदम फिसलने की शर्त लगाने पर (i.e., V = Rω), छल्ले के लिए
Bihar Board Class 11 Physics Chapter 7 कणों के निकाय तथा घूर्णी गति
तथा चकती के लिए,
Bihar Board Class 11 Physics Chapter 7 कणों के निकाय तथा घूर्णी गति
अतः समी० (xii) व (xiii) से स्पष्ट है कि t’ < t अर्थात् चकती पहले फिसलना प्रारम्भ करेगी।

Bihar Board Class 11 Physics Solutions Chapter 7 कणों के निकाय तथा घूर्णी गति

प्रश्न 7.31
10 kg द्रव्यमान तथा 15 cm त्रिज्या का कोई सिलिंडर किसी 30° झुकाव के समतल पर परिशुद्धतः लोटनिक गति कर रहा है। स्थैतिक घर्षण गुणांक µs = 0.25
(a) सिलिंडर पर कितना घर्षण बल कार्यरत है?
(b) लोटन की अवधि में घर्षण के विरुद्ध कितना कार्य किया जाता है?
(c) यदि समतल के झुकाव में वृद्धि कर दी जाए तो के किस मान पर सिलिंडर परिशुद्धतः लोटनिक गति करने की बजाय फिसलना आरंभ कर देगा?
उत्तर:
दिया है:
m = 10 kg, R = 0.15 m, θ = 30°, µk = 0.25
(a) बेलन पर लगने वाला घर्षण बल –
F = \(\frac{1}{3}\) mg sin θ
= \(\frac{1}{3}\) × 10 × 9.8 × sin 30° = 16.3 न्यूटन

(b) चूँकि परिशुद्ध लोटनिक गति में, सम्पर्क बिन्दु पर कोई सरकन गति नहीं है। इसलिए घर्षण बल के विरुद्ध कृत कार्य, W = 0 है।

(c) लोटनिक गति के लिए,
\(\frac{F}{R}\) = \(\frac{1}{3}\) tan θ ≤ µs
∴ tan θ = 3µs
= 3 × 0.25 = 0.75
∴ θ = tan-1(0.75)
= 37°

प्रश्न 7.32
नीचे दिए गए प्रत्येक प्रकथन को ध्यानपूर्वक पढ़िए तथा कारण सहित उत्तर दीजिए कि इनमें से कौन-सा सत्य है और कौन-सा असत्य है –

  1. लोटनिक गति करते समय घर्षण बल उसी दिशा में कार्यरत होता है जिस दिशा में पिंड का द्रव्यमान केंद्र गति करता है।
  2. लोटनिक गति करते समय संपर्क बिंदु की तात्क्षणिक चाल शून्य होती है।
  3. लोटनिक गति करते समय संपर्क बिन्दु का तात्क्षणिक त्वरण शून्य होता है।
  4. परिशुद्ध लोटनिक गति के लिए घर्षण के विरुद्ध किया गया कार्य शून्य होता है।
  5. किसी पूर्णतः घर्षणरहित आनत समतल पर नीचे की ओर गति करते पहिए की गति फिसलन गति (लोटनिक गति नहीं) होगी।

उत्तर:

  1. सत्य, चूँकि स्थानान्तरीय गति घर्षण बल के कारण ही उत्पन्न होती है। इसी बल के कारण पिंड का द्रव्यमान आगे की ओर बढ़ता है।
  2. सत्य, चूँकि लोटनिक गति, सम्पर्क बिन्दु पर सी गति के समाप्त होने पर प्रारम्भ होती है। इस प्रकार परिशुद्ध लोटनिक गति में सम्पर्क बिन्दु की तात्क्षणिक चाल शून्य होती है।
  3. असत्य चूँकि घूर्णन गति के कारण, सम्पर्क बिन्दु की गति में अभिकेन्द्र त्वरण अवश्य ही विद्यमान होता है।
  4. सत्य चूँकि परिशुद्ध लोटनिक गति में सम्पर्क बिन्दु पर कोई सरकन नहीं होता है। इस कारण घर्षण बल के विरुद्ध किया गया कार्य शून्य होता है।
  5. सत्य, घर्षण के न होने पर आनत तल पर छोड़े गए पहिए का आनत तल के साथ सम्पर्क बिन्दु विरामावस्था में नहीं रहेगा बल्कि पहिए के भार के अधीन माना तल के अनुदिश फिसलता जाएगा। इस कारण यह गति लोटनिक न होकर विशुद्ध सरकन गति होगी।

Bihar Board Class 11 Physics Solutions Chapter 7 कणों के निकाय तथा घूर्णी गति

प्रश्न 7.33
कणों के किसी निकाय की गति को इसके द्रव्यमान केन्द्र की गति और द्रव्यमान केन्द्र के परितः गति में अलग-अलग करके विचार करना।
दर्शाइये कि –
(a) P = p’i + miV
जहाँ pi (mi द्रव्यमान वाले) i – वें कण का संवेग है, और P’i = miv’i। ध्यान दें कि द्रव्यमान केन्द्र के सापेक्ष i – वें कण का वेग है। द्रव्यमान केन्द्र की परिभाषा का उपयोग करके यह भी सिद्ध कीजिए कि Σp’i = 0
(b) K = K’ + \(\frac{1}{2}\) MV2
K कणों के निकाय की कुल गति ऊर्जा, K’ = निकाय की कुल गतिज ऊर्जा जबकि कणों की गतिज ऊर्जा द्रव्यमान केन्द्र के सापेक्ष ली जाये। MV2/2 संपूर्ण निकाय के (अर्थात् निकाय के द्रव्यमान केन्द्र के) स्थानान्तरण की गतिज ऊर्जा है। इस परिणाम का उपयोग भाग 7.14 में किया गया है।

(c) L = Σ + R × MV
जहाँ L’ = r’i × P’i द्रव्यमान के परितः निकाय का कोणीय संवेग है जिसकी गणना में वेग द्रव्यमान केन्द्र के सापेक्ष मापे गये हैं। याद कीजिए r’i = ri – R; शेष सभी चिह्न अध्याय में प्रयुक्त विभिन्न राशियों के मानक चिह्न हैं। ध्यान दें कि L’ द्रव्यमान केन्द्र के परितः निकाय का कोणीय संवेग एवं MR × V इसके द्रव्यमान केन्द्र का कोणीय संवेग है।

(d) \(\frac{dL’}{dt}\) = Σr’i × \(\frac{dp’}{dt}\)
यह भी दर्शाइये कि
\(\frac{dL’}{dt}\) = τ’ext
(जहाँ τ’ext द्रव्यमान केन्द्र के परितः निकाय पर लगने वाले सभी बाह्य बल आघूर्ण हैं।)
[संकेत : द्रव्यमान केन्द्र की परिभाषा एवं न्यूटन के गति के तृतीय नियम का उपयोग कीजिए। यह मान लीजिए कि किन्हीं दो कणों के बीच के आन्तरिक बल उनको मिलाने वाली रेखा के अनुदिश कार्य करते हैं।]
उत्तर:
(a) माना कि m1m2 … mn, दृढ़ पिंड की रचना करने वाले कणों के द्रव्यमान हैं तथा मूल बिन्दु O (0, 0) के सापेक्ष इन कणों के स्थिति सदिश क्रमश:
\(\vec{r}_{1}\), \(\vec{r}_{2}\) …………. \(\vec{r}_{n}\) हैं।
माना कि मूल बिन्दु के सापेक्ष द्रव्यमान केन्द्र (G) की स्थिति सदिश \(\vec{R}\) व द्रव्यमान केन्द्र के सापेक्ष अलग-अलग कणों की
स्थिति क्रमश: \(\vec{r}_{1}\), \(\vec{r}_{2}\) ………………. \(\vec{r}_{n}\) हैं।
Bihar Board Class 11 Physics Chapter 7 कणों के निकाय तथा घूर्णी गति
t के सापेक्ष दोनों ओर का अवकलन करने पर,
Bihar Board Class 11 Physics Chapter 7 कणों के निकाय तथा घूर्णी गति
Bihar Board Class 11 Physics Chapter 7 कणों के निकाय तथा घूर्णी गति

(d) माना कि कणों के निकाय पर बलाघूर्ण लगाया जाता है।
माना कि कण के लिए \(\vec{L}\) के घटक Lx, Ly व Lz क्रमशः x, y, z व : अक्षों के अनुदिश हैं। माना कि px, py व pz इसके रैखिक संवेग के घटक हैं।
Lz = xpy – yPx
Lx = ypz – zpy
Ly = zpx – xpz
Bihar Board Class 11 Physics Chapter 7 कणों के निकाय तथा घूर्णी गति
किसी कण के कोणीय संवेग की परिवर्तन दर,
Bihar Board Class 11 Physics Chapter 7 कणों के निकाय तथा घूर्णी गति
माना निकाय का सम्पूर्ण कोणीय संवेग \(\vec{L}\) है।
Bihar Board Class 11 Physics Chapter 7 कणों के निकाय तथा घूर्णी गति
हम जानते हैं कि निकाय पर लगने पर सम्पूर्ण बाह्य बलाघूर्ण τ’ext है। अतः
Bihar Board Class 11 Physics Chapter 7 कणों के निकाय तथा घूर्णी गति
[∵ बाह्य बल सदैव युग्म में होता है व निरस्त करते हैं।]
∴ समी० (i) व (ii) से,
\(\frac{d \vec{L}_{i}}{d t}\) = τ’ext