Bihar Board Class 12 Chemistry Solutions Chapter 1 ठोस अवस्था Textbook Questions and Answers, Additional Important Questions, Notes.
BSEB Bihar Board Class 12 Chemistry Solutions Chapter 1 ठोस अवस्था
Bihar Board Class 12 Chemistry ठोस अवस्था Text Book Questions and Answers
पाठ्यनिहित प्रश्न एवं उनके उत्तर
प्रश्न 1.1
ठोस कठोर क्यों होते हैं?
उत्तर:
ठोसों में अवयवी परमाणुओं अथवा अणुओं अथवा आयनों की स्थितियाँ नियत होती हैं अर्थात् ये गति के लिए स्वतन्त्र नहीं होते हैं। ये केवल अपनी माध्य स्थितियों के चारों ओर दोलन करते हैं। इसका कारण इनके मध्य उपस्थित प्रबल अन्तरपरमाणवीय अथवा अन्तरअणुक अथवा अन्तरआयनिक बलों की उपस्थिति है। इससे ठोसों की कठोरता स्पष्ट होती है।
प्रश्न 1.2
ठोसों का आयतन निश्चित क्यों होता है?
उत्तर:
ठोसों में अवयवी कण अपनी माध्य स्थितियों पर प्रबल संसंजक आकर्षण बलों द्वारा बँधे रहते हैं। नियत ताप पर अन्तरकणीय दूरियाँ अपरिवर्तित रहती हैं जिससे ठोसों का आयतन निश्चित होता है।
![]()
प्रश्न 1.3
निम्नलिखित को अक्रिस्टलीय तथा क्रिस्टलीय ठोसों में वर्गीकृत कीजिए –
पॉलियूरिथेन, नैफ्थेलीन, बेन्जोइक अम्ल, टेफ्लॉन, पोटैशियम नाइट्रेट, सेलोफेन, पॉलिवाइनिल क्लोराइड, रेशा काँच, ताँबा।
उत्तर:
अक्रिस्टलीय ठोस:
पॉलियूरिथेन, टेफ्लॉन, सेलोफेन, पॉलिवाइनिल क्लोराइड, रेशा काँच।
क्रिस्टलीय ठोस:
नैफ्थेलीन, बेन्जोइक अम्ल, पोटैशियम नाइट्रेट तथा ताँबा।
प्रश्न 1.4
काँच को अतिशीतित द्रव क्यों माना जाता है?
उत्तर:
काँच एक अक्रिस्टलीय ठोस है। द्रवों के समान इसमें प्रवाह की प्रवृत्ति होती है, यद्यपि यह बहुत मन्द होता है। अत: इसे आभासी ठोस (pseudo solid) अथवा अतिशीतित द्रव (super-cooled liquid) कहा जाता है। इस तथ्य के प्रमाणस्वरूप पुरानी इमारतों की खिड़कियाँ और दरवाजों में जड़े शीशे निरअपवाद रूप से शीर्ष की अपेक्षा अधस्तल में किंचित मोटे पाए जाते हैं। यह इसलिए होता है; क्योंकि काँच अत्यधिक मन्दता से नीचे प्रवाहित होकर अधस्तल भाग को किंचित मोटा कर देता है।
![]()
प्रश्न 1.5
एक ठोस के अपवर्तनांक का सभी दिशाओं में समान मान प्रेक्षित होता है। इस ठोस की प्रकृति पर टिप्पणी कीजिए। क्या यह विदलन गुण प्रदर्शित करेगा?
उत्तर:
ठोस के अपवर्तनांक का सभी दिशाओं में समान मान प्रेक्षित होता है। इसका अर्थ है कि यह समदैशिक (isotropic) है तथा इसलिए यह अक्रिस्टलीय (amorphous) है। अक्रिस्टलीय ठोस होने के कारण तेज धार वाले औजार से काटने पर, यह अनियमित सतहों वाले दो टुकड़ों में कट जाएगा। दूसरे शब्दों में यह स्पष्ट विदलन गुण प्रदर्शित नहीं करेगा।
प्रश्न 1.6
उपस्थित अन्तराआण्विक बलों की प्रकृति के आधार पर निम्नलिखित ठोसों को विभिन्न संवर्गों में वर्गीकृत कीजिए –
पोटैशियम सल्फेट, टिन, बेन्जीन, यूरिया, अमोनिया, जल, जिंक सल्फाइड, ग्रेफाइट, रूबीडियम, आर्गन, सिलिकन कार्बाइड।
उत्तर:
आण्विक ठोस:
बेन्जीन, यूरिया, अमोनिया, जल तथा आर्गन।
आयनिक ठोस:
पोटैशियम सल्फेट तथा जिंक सल्फाइड।
धात्विक ठोस:
रूबीडियम तथा टिन।
सहसंयोजक अथवा नेटवर्क ठोस:
ग्रेफाइट तथा सिलिकन कार्बाइड।
![]()
प्रश्न 1.7
ठोस A, अत्यधिक कठोर तथा ठोस एवं गलित दोनों अवस्थाओं में विद्युतरोधी है और अत्यन्त उच्च ताप पर पिघलता है। यह किस प्रकार का ठोस है?
उत्तर:
चूँकि यह गलित अवस्था में भी विद्युत का चालन नहीं करता है, अतः यह सहसंयोजक अथवा नेटवर्क ठोस है।
प्रश्न 1.8
आयनिक ठोस गलित अवस्था में विद्युत चालक होते हैं परन्तु ठोस अवस्था में नहीं, व्याख्या कीजिए।
उत्तर:
गलित अवस्था में अथवा जल में घोलने पर ठोस के वियोजन से आयन मुक्त हो जाते हैं, जिससे विद्युत-चालन सम्भव हो जाता है। ठोस अवस्था में आयन गमन के लिए मुक्त नहीं होते और परस्पर विद्युत स्थैतिक आकर्षण बल द्वारा बंधे रहते हैं। अतः ये ठोस अवस्था में विद्युतरोधी होते हैं।
प्रश्न 1.9
किस प्रकार के ठोस विद्युत चालक, आघातवर्ध्य और तन्य होते हैं?
उत्तर:
धात्विक ठोस विद्युत चालक, आघातवर्ध्य तथा तन्य होते हैं।
![]()
प्रश्न 1.10
‘जालक बिन्दु’ से आप क्या समझते हैं?
उत्तर:
जालक बिन्दु ठोस के एक अवयवी कण को प्रदर्शित करता है, जो एक परमाणु, अणु अथवा आयन हो सकता है।
प्रश्न 1.11
एकक कोष्ठिका को अभिलक्षणित करने वाले पैरामीटरों के नाम बताइए।
उत्तर:
एकक कोष्ठिका को अभिलक्षणित करने वाले पैरामीटरों के नाम निम्नलिखित हैं –
- इसके तीनों किनारों की विमाएं a, b और c के द्वारा जो परस्पर लम्बवत् हो भी सकते हैं अथवा नहीं भी अभिलक्षणित किया जा सकता है।
- किनारों (कोरों) के मध्य को α (b और c के मध्य), β (a और c के मध्य) और γ (a और b द्वारा अभिलक्षणित किया जा सकता है। इस प्रकार एकक कोष्ठिका छ: पैर मीटरों a, b, α, β और द्वारा अभिलक्षणित होती है।
प्रश्न 1.12
निम्नलिखित में विभेद कोना –
- षट्कोणीय और एकनताक्ष एकक कोष्ठिका
- फलक-केन्द्रित और अंत्य-केन्द्रित एकक कोष्ठिका।
उत्तर:
1. षट्कोणीय और एकनताक्ष एकक कोष्ठिका (Hexagonal and Monoclinic Unit Cell)

2. फलक-केन्द्रित और अंत्य-केन्द्रित एकक कोष्ठिका (Face – centred and End – centred Unit – Cell)

![]()
प्रश्न 1.3
स्पष्ट कीजिए कि एक घनीय एकक कोष्ठिका के –
- कोने और
- अन्तः केन्द्र पर उपस्थित परमाणु का कितना भाग सन्निकट कोष्ठिका से सहविभाजित होता है?
उत्तर:
1. एक घनीय एकक कोष्ठिका के कोने का प्रत्येक परमाणु आठ निकटवर्ती एकक कोष्ठिकाओं के मध्य सहविभाजित होता है। चार एकक कोष्ठिकाएँ समान परत में और चार एकक कोष्ठिकाएं ऊपरी अथवा निचली परत की होती हैं। अतः एक परमाणु का वाँ भाग एक विशिष्ट एकक कोष्ठिका से सम्बन्धित रहता है।
2. अन्तः केन्द्र पर उपस्थित परमाणु उस एकक कोष्ठिका से सम्बन्धित होता है। यह किसी सन्निकट कोष्ठिका से सहविभाजित नहीं होता है।
प्रश्न 1.14
एक अणु की वर्ग निविड संकुलित परत में द्विविमीय उप सहसंयोजन संख्या क्या है?
उत्तर:
एक अणु की वर्ग निविड संकुलित परत में प्रत्येक परमाणु चार निकटवर्ती परमाणुओं के सम्पर्क में रहने के कारण इसकी उपसहसंयोजन संख्या 4 है।
![]()
प्रश्न 1.15
एक यौगिक षट्कोणीय निविड संकुलित संरचना बनाता है। इसके 0.5 मोल में कुल रिक्तियों की संख्या कितनी है? उनमें से कितनी रिक्तियाँ चतुष्फलकीय हैं?
उत्तर:
निविड संकुलन में परमाणुओं की संख्या
= 0.5 मोल
= 0.5 × 6.022 × 1023
= 3.011 × 1023
∵ अष्टफलकीय रिक्तियों की संख्या = निविड संकुलन में परमाणुओं की संख्या
= 3.011 × 1023
∴ चतुष्फलकीय रिक्तियों की संख्या
= 2 × अष्टफलकीय रिक्तियों की संख्या
= 2 × 3.011 × 1023
= 6.022 × 1023
तथा रिक्तियों की कुल संख्या = अष्टफलकीय रिक्तियों की संख्या + चतुष्फलकीय रिक्तियों की संख्या
= 3.011 × 1023 + 6.022 × 1023
= 9.033 × 1023
![]()
प्रश्न 1.16
एक योगिक दो तत्वों M और N से बना है। तत्व N, ccp संरचना बनाता है और M के परमाणु चतुष्फलकीय रिक्तियों के \(\frac{1}{3}\) भाग को अध्यासित करते हैं। यौगिक का सूत्र क्या है?
उत्तर:
माना ccp में तत्व N के x परमाणु हैं। तब चतुष्फकीय रिक्तियों की संख्या 2n होगी।
∵ तत्व M के परमाणु चतुष्फलकीय रिक्तियों के \(\frac{1}{3}\) भाग को अध्यासित करते हैं।
∴ उपस्थित M परमाणुओं की संख्या = \(\frac{1}{3}\) × 2n = \(\frac{2n}{3}\)
∴ N तथा M का अनुपात = x : \(\frac{2x}{3}\) = 3:2
अत: यौगिक का सूत्र M2 N3 अथवा N3 M2 है।
प्रश्न 1.17
निम्नलिखित में किस जालक में उच्चतम संकुलन क्षमता है?
- सरल घनीय
- अन्तः केन्द्रित घन और
- षट्कोणीय निविड संकुलित जालक।
उत्तर:
जालक में संकुलन क्षमताएँ निम्न प्रकार होती हैं –
सरलघनीय = 52.4%, अंत:केन्द्रित घन = 68%, षट्कोणीय निविड संकुलित = 74%
स्पष्ट है कि षट्कोणीय निविड संकुलित जालक में उच्चतम संकुलन क्षमता होती है।
![]()
प्रश्न 1.18
एक तत्व का मोलर द्रव्यमान 2.7 × 10-2 kg mol-1 है, यह 405 pm लम्बाई की भुजा वाली घनीय एकक कोष्ठिका बनाता है। यदि उसका घनत्व 2.7 × 103 kg-3 है तो घनीय एकक कोष्ठिका की प्रकृति क्या है?
हल:
घनत्व,

यहाँ, M (तत्व का मोलर द्रव्यमान)
= 2.7 × 10-2 kg mol-1 a (भुजा की लम्बाई)
= 405 pm = 405 × 10-12
m = 4.05 × 10-10 m
(घनत्व) = 2.7 × 103 kg m-3
NA (आवोगाद्रो संख्या) = 6.022 × 1023 mol-1
इन मानों को उपर्युक्त व्यंजक में प्रतिस्थापित करने पर,

अतः प्रति एकक कोष्ठिका तत्व के 4 परमाणु उपस्थित हैं। अतः घनीय एकक कोष्ठिका फलक-केन्द्रित (fcc) अथवा घनीय निविड संकुलित (ccp) होनी चाहिए।
प्रश्न 1.19
जब एक ठोस को गर्म किया जाता है तो किस प्रकार का दोष उत्पन्न हो सकता है? इससे कौन-से भौतिक गुण प्रभावित होते हैं और किस प्रकार?
उत्तर:
जब एक ठोस को गर्म किया जाता है तो रिक्तिका दोष उत्पन्न हो जाता है। इसका कारण यह है कि गर्म करने पर कुछ जालक स्थल रिक्त हो जाते हैं। चूँकि कुछ परमाणु अथवा आयन क्रिस्टल को पूर्णतया त्याग देते हैं, अतः इस दोष के कारण पदार्थ का घनत्व कम हो जाता है।
![]()
प्रश्न 1.20
निम्नलिखित किस प्रकार का स्टॉइकियोमीट्री दोष दर्शाते हैं?
- ZnS
- AgBr
उत्तर:
- चूँकि ZnS के आयनों के आकार में बहुत अधिक अन्तर है, अत: यह फ्रेंकेल दोष दर्शाता है।
- AgBr फ्रेंकेल तथा शॉट्की दोनों प्रकार के दोष दर्शाता
प्रश्न 1.21
समझाइए कि एक उच्च संयोजी धनायन को अशुद्धि की तरह मिलाने पर आयनिक ठोस में रिक्तिकाएँ किस प्रकार प्रविष्ट होती हैं?
उत्तर:
जब एक उच्च संयोजी धनायन को आयनिक ठोस में अशुद्धि की तरह मिलाया जाता है तो वास्तविक धनायन का कुछ स्थल उच्च संयोजी धनायन द्वारा अध्यासित हो जाता है। प्रत्येक उच्च संयोजी धनायन दो या अधिक वास्तविक धनायनों को प्रतिस्थापित करके एक वास्तविक धनायन के स्थल को अध्यासित कर लेता है तथा अन्य स्थल रिक्त ही रहते हैं।
अध्यासित धनायनी रिक्तिकाएँ = [उच्च संयोजी धनायनों की संख्या × वास्तविक धनायन तथा उच्च संयोजी धनायन की संयोजकताओं का अन्तर]
प्रश्न 1.22
जिन आयनिक ठोसों में धातु आधिक्य दोष के कारण ऋणायनिक रिक्तिका होती हैं; वे रंगीन होते हैं। इसे उपयुक्त उदाहरण की सहायता से समझाइए।
उत्तर:
धातु आधिक्य दोष के कारण ऋणायनिक रिक्तिका वाले आयनक ठोसों में जब धातु परमाणु सतह पर जम जाते हैं, वे आयनन के पश्चात् क्रिस्टल में विसरित हो जाते हैं। धातु आयन धनायनी रिक्तिका को अध्यासित कर लेता है, जबकि इलेक्ट्रॉन ऋणायनिक रिक्तिका को अध्यासित करता है।
ये इलेक्ट्रॉन दृश्य श्वेत प्रकाश से उचित तरंगदैर्घ्य अवशोषित करके उत्तेजित हो जाते हैं तथा उच्च ऊर्जा स्तर पर पहुँच जाते हैं, परिणामस्वरूप रंगीन दिखाई देते हैं। उदाहरणार्थ –
जिंक आक्साइड कमरे के ताप पर सफेद रंग का होता है। गर्म करने पर इसमें से आक्सीजन निकलती है तथा यह पीले रंग का हो जाता है।

अब क्रिस्टल में जिंक आयनों का आधिक्य होता है तथा इसका सूत्र Zn1+x O बन जाता है। आधिक्य में उपस्थित Zn2+ आयन अन्तराकाशी स्थलों में और इलेक्ट्रॉन निकटवर्ती अन्तराकाशी स्थलों में चले जाते हैं। ये इलेक्ट्रॉन ही श्वेत प्रकाश अवशोषित करके जिंक आक्साइड को पीला रंग प्रदान करते हैं।
![]()
प्रश्न 1.23
वर्ग 14 के तत्व को n-प्रकार के अर्द्धचालक में उपयुक्त अशुद्धि द्वारा अपमिश्रित करके रूपान्तरित करना है। यह अशुद्धि किस वर्ग से सम्बन्धित होनी चाहिए?
उत्तर:
वर्ग 14 के तत्व को n-प्रकार के अर्द्ध-चालक में रूपान्तरित करने के लिए वर्ग 15 के तत्व के साथ अपमिश्रित करना चाहिए क्योंकि n – प्रकार के अर्द्ध-चालक से ऋणावेशित इलेक्ट्रॉनों के आधिक्य की उपस्थिति के कारण होने वाला चालन होता है।
प्रश्न 1.24
किस प्रकार के पदार्थों से अच्छे स्थायी चुम्बक बनाए जा सकते हैं, लोह-चुम्बकीय अथवा फेरीचुम्बकीय? अपने उत्तर का औचित्य बताइए।
उत्तर:
लोह-चुम्बकीय पदार्थों से अच्छे स्थायी चुम्बक बनाए जा सकते हैं। इसका कारण यह है कि ठोस अवस्था में लोह-चुम्बकीय पदार्थों के धातु आयन छोटे खण्डों में एक साथ समूहित हो जाते हैं, इन्हें डोमेन (Domain) कहा जाता है। इस प्रकार प्रत्येक डोमेन एक छोटे चुम्बक की तरह व्यवहार करता है।
लोह-चुम्बकीय पदार्थ के अचुम्बकीय टुकड़े में डोमेन अनियमित रूप से अभिविन्यसित होते हैं और उनका चुम्बकीय आघूर्ण निरस्त हो जाता है। पदार्थ को चुम्बकीय क्षेत्र में रखने पर सभी डोमेन चुम्बकीय क्षेत्र की दिशा में अभिविन्यसित हो जाते हैं और प्रबल चुम्बकीय प्रभाव उत्पन्न होता है। चुम्बकीय क्षेत्र को हटा लेने पर भी डोमेनों का क्रम बना रहता है और लौह-चुम्बकीय पदार्थ स्थायी चुम्बक बन जाते हैं।
Bihar Board Class 12 Chemistry ठोस अवस्था Additional Important Questions and Answers
अभ्यास के प्रश्न एवं उनके उत्तर
प्रश्न 1.1
‘अक्रिस्टलीय’ पद को परिभाषित कीजिए। अक्रिस्टलीय ठोसों के कुछ उदाहरण दीजिए।
उत्तर:
अक्रिस्टलीय ठोस (ग्रीक अमोरफोस = आकृति का न होना) असमाकृति से बने होते हैं। इन ठोसों में अवयवी कणों (परमाणुओं, अणुओं अथवा आयनों) की व्यवस्था केवल लघु परासी व्यवस्था होती है। ऐसी व्यवस्था में नियमित और आवर्ती पैटर्न केवल अल्प दूरियों तक देखा जाता है। ऐसे मार्ग बिखरे होते हैं और इनके बीच व्यवस्था क्रम अनियमित होते हैं। अक्रिस्टलीय ठोसों की संरचना द्रवों के सदृश होती है। कांच, रबर और प्लास्टिक अक्रिस्टलीय ठोसों के विशिष्ट उदाहरण हैं।
![]()
प्रश्न 1.2
कांच, क्वार्ट्ज जैसे ठोस से किस प्रकार भिन्न है? किन परिस्थितियों में क्वार्ट्स को कांच में रूपान्तरित किया जा सकता है?
उत्तर:
कांच एक अक्रिस्टलीय ठोस है जिसके अवयवी कणों में केवल लघु परासी व्यवस्था होती है और दीर्घ परासी व्यवस्था नहीं होती है। क्वार्ट्स के अवयवी कणों में लघु तथा दीर्घ परासी दोनों व्यवस्थाएं होती हैं। पिघलाने तथा तुरन्त ठण्डा करने पर क्वार्ट्ज कांच में रूपान्तरित किया जा सकता है।
प्रश्न 1.3
निम्नलिखित ठोसों का वर्गीकरण आयनिक, धात्विक, आणविक, सहसंयोजक या अक्रिस्टलीय में कीजिए।
- टेट्रा फॉस्फोरस डेकॉक्साइड (P4O10)
- अमोनियम फॉस्फेट (NH4)3PO4
- SiC
- I2
- P4
- प्लास्टिक
- ग्रेफाइट
- पीतल
- Rb
- LiBr
- Si
उत्तर:
आयनिक ठोस:
(NH4)3, PO4, LiBr
धात्विक ठोस:
पीतल, Rb
आणविक ठोस:
P4O10, I2 P4
सहसंयोजक ठोस:
ग्रेफाइट, SiC, Si
अक्रिस्टलीय:
प्लास्टिक
![]()
प्रश्न 1.4
(i) उप सहसंयोजन संख्या का क्या अर्थ है?
(ii) निम्नलिखित परमाणुओं की उपसहसंयोजन संख्या क्या होती है?
(क) एक घनीय निविड संकुलित संरचना
(ख) एक अन्तः केन्द्रित घनीय संरचना।
उत्तर:
(i) किसी कण के निकटतम गोलों की संख्या को उसकी उपसहसंयोजन संख्या कहते हैं। किसी आयन की उपसहसंयोजन संख्या उसके चारों ओर उपस्थित विपरीत आवेशयुक्त आयनों की संख्या के बराबर होती
(ii)
(क) एक घनीय निविड संकुलित संरचना में परमाणु की उपसहसंयोजन संख्या 12 होती है।
(ख) एक अन्त:केन्द्रित घनीय संरचना में उपसहसंयोजक संख्या 8 होती है।
प्रश्न 1.5
यदि आपको किसी अज्ञात धातु का घनत्व एवं एकक कोष्ठिका की विमाएँ ज्ञात हैं तो क्या आप उसके परमाण्विक द्रव्यमान की गणना कर सकते हैं? स्पष्ट कीजिए।
उत्तर:
एकक कोष्ठिका का घनत्व

किसी अज्ञात धातु का घनत्व एवं एकक कोष्ठिका की विमाएँ ज्ञात होने पर उपर्युक्त सूत्र की सहायता से उसके परमाण्विक द्रव्यमान की गणना की जा सकती है।
![]()
प्रश्न 1.6
‘किसी क्रिस्टल की स्थिरता उसके गलनांक के परिमाण द्वारा प्रकट होती है।’ टिप्पणी कीजिए। किसी आँकड़ा पुस्तक से जल, एथिल ऐल्कोहॉल, डाइएथिल ईथर तथा मेथेन के गलनांक एकत्र कीजिए। इन अणुओं के मध्य अन्तराआण्विक बलों के बारे में आप क्या कह सकते हैं?
उत्तर:
गलनांक उच्च होने पर अवयवी कणों को एकसाथ बाँधे रखने वाले बल प्रबल होंगे तथा परिणामस्वरूप स्थायित्व अधिक होगा। आँकड़ा पुस्तक के आधार पर दिए गए पदार्थों के गलनांक निम्नवत् हैं –
जल = 273 K, एथिल ऐल्कोहॉल = 155.7 K,
डाइएथिल ईथर = 156.8 K, मेथेन = 90.5 K
जल तथा एथिल ऐल्कोहॉल में अन्तराआण्विक बल मुख्यत: हाइड्रोजन बन्ध के कारण होते हैं। ऐल्कोहॉल की तुलना में जल का उच्च गलनांक प्रदर्शित करता है; क्योंकि एथिल ऐल्कोहॉल अणुओं में हाइड्रोजन बन्ध जल के समान प्रबल नहीं होता है। डाइएथिल ईथर एक ध्रुवी अणु है। इनमें उपस्थित अन्तराआण्विक बल द्विध्रुव-द्विध्रुव आकर्षण है। मेथेन एक अध्रुवी अणु है। इसमें केवल दुर्बल वान्डर वाल्स बल (लण्डन प्रकीर्णन बल) होते हैं।
![]()
प्रश्न 1.7
निम्नलिखित युगलों के पदों (शब्दों) में कैसे विभेद करोगे?
- षट्कोणीय निविड संकुलन एवं घनीय निविड संकुलन
- क्रिस्टल जालक एवं एकक कोष्ठिका
- चतुष्फलकीय रिक्ति एवं अष्टफलकीय रिक्ति।
उत्तर:
(i) षट्कोणीय निविड संकुलन एवं घनीय निविड संकुलन:
ये त्रिविमीय निविड संकुलित संरचनाएँ द्विबिम- षट्कोणीय निविड संकुलित परतों को एक-दूसरे पर रखकर जनित की जा सकती हैं।
षट्कोणीय निविड संकुलन:
जब तृतीय परत को द्वितीय परत पर रखा जाता है तब उत्पन्न एक सम्भावना के अन्तर्गत द्वितीय परत की चतुष्फलकीय रिक्तियों को तृतीय परत के गोलों द्वारा आच्छादित किया जा सकता है। इस स्थिति में तृतीय परत के गोले प्रथम परत के गोलों के साथ पूर्णत: संरेखित होते हैं।
इस प्रकार गोलों का पैटर्न एकान्तर परतों में पुनरावृत होता है। इस पैटर्न को प्राय: ABAB …. पैटर्न लिखा जाता है। इस संरचना को षट्कोणीय निविड संकुलित (hcp) संरचना कहते हैं। चित्र में इस प्रकार की परमाणुओं की व्याख्या कई धातुओं जैसे मैंग्नीशियम और जिंक में पाई जाती है।



चित्र:
(क) षट्कोणीय घनीय निविड संकुलन का खण्डित दृश्य गोलों की परतों का संकुलन दर्शाते हुए।
(ख) प्रत्येक स्थिति में चार परतें स्तम्भ के रूप में।
(ग) संकुलन की ज्यामिति
घनीय निविड संकुलन:
इसके लिए, तीसरी परत दूसरी परत के ऊपर इस प्रकार रखते हैं कि उसके गोले अष्टफलकीय

चित्र:
(क) परतों की ABCABC …. व्यवस्था जब अष्टफलकीय रिक्तियाँ आच्छादित होती हैं।
(ख) इस व्यवस्था द्वारा निर्मित होने वाली संरचना का अंश जिसके परिणामस्वरूप घनीय निविड संकुलित (ccp) अथवा फलक-केन्द्रित घनीय (fcc) संरचना बनती है। रिक्तियों को आच्छादित करते हों। इस प्रकार से रखने पर तीसरी परत के गोले प्रथम अथवा द्वितीय किसी भी परत के साथ संरक्षित नहीं होते। इस व्यवस्था को ‘C’ प्रकार कहा जाता है। केवल चौथी परत रखने पर उसके गोले प्रथम परत के गोलों के साथ संरेक्षित होते हैं, जैसा चित्र में दिखाया गया है।
इस प्रकार के पैटर्न को प्राय: ABCABC … लिखा जाता है। इस संरचना को घनीय निविड संकुलित संरचना (ccp) अथवा फलक केन्द्रित घनीय (fcc) संरचना कहा जाता है। धातु, जैसे-ताँबा तथा चाँदी, इस संरचना में क्रिस्टलीकृत होते हैं। उपर्युक्त दोनों प्रकार के निविड संकुलन अति उच्च क्षमता वाले होते हैं और क्रिस्टल का 74% स्थान सम्पूरित रहता है। इन दोनों में, प्रत्येक गोला बारह गोलों के सम्पर्क में रहता है। इस प्रकार इन दोनों संरचनाओं में उपसहसंयोजन संख्या 12 है।
(ii) क्रिस्टल जालक एवं एकक कोष्ठिका:
क्रिस्टल जालक:
क्रिस्टलीय ठोसों का मुख्य अभिलक्षण अवयवी कणों का नियमित और पुनरावृत्त पैटर्न है। यदि क्रिस्टल में अवयवी कणों की त्रिविमीय व्यवस्था को आरेख के रूप में निरूपित किया जाए, जिसमें प्रत्येक बिन्दु को चित्रित किया गया हो, तो व्यवस्था को क्रिस्टल जालक कहते हैं। इस प्रकार, “दिकस्थान (space) में बिन्दुओं की नियमित त्रिविमीय व्यवस्था को क्रिस्टल जालक कहते हैं।” क्रिस्टल जालक के एक भाग को चित्र में दिखाया गया है। केवल 14 त्रिविमीय जालक सम्भव हैं।

चित्र – क्रिस्टल जालक का एक भाग और उसकी एकक कोष्ठिका।
एकक कोष्ठिका:
एकक कोष्ठिका क्रिस्टल जालक का लघुतम भाग है, इसे जब विभिन्न दिशाओं में पुनरावृत्त किया जाता है तो पूर्ण जालक की उत्पत्ति होती है।
(iii) चतुष्फलकीय रिक्ति एवं अष्टफलकीय रिक्ति:
चतुष्फलकीय रिक्ति:
ये रिक्तियाँ चार गोलों द्वारा घिरी रहती

चित्र – निविड संकुलित गोलों की दो परतों का एक स्तम्भ और उनमें जनित होने वाली रिक्तियाँ
हैं जो एक नियमित चतुष्फलक के शीर्ष पर स्थित होते हैं। इस प्रकार जब भी द्वितीय परत का एक गोला प्रथम परत की रिक्ति के ऊपर होता है, तब एक चतुष्फलकीय रिक्ति बनती है। इन रिक्तियों को चतुष्फलकीय रिक्तियाँ इसलिए कहा जाता है; क्योंकि जब इन चार गोलों के केन्द्रों को मिलाया जाता है तब एक चतुष्फलक बनता है। चित्र में इन्हें “T” से अंकित किया गया है। ऐसी एक रिक्ति को अलग से चित्र में दिखाया गया है।

अष्टफलकीय रिक्ति:
ये रिक्तियाँ सम्पर्क में स्थित तीन गोलों द्वारा संलग्नित रहती हैं। इस प्रकार द्वितीय परत की त्रिकोणीय रिक्तियाँ प्रथम परत की त्रिकोणीय रिक्तियों के ऊपर होती हैं और इनकी त्रिकोणीय आकृतियाँ अतिव्यापित नहीं होती। उनमें से एक में त्रिकोण का शीर्ष ऊर्ध्वमुखी और दूसरे में अधोमुखी होता है। इन रिक्तियों को चित्र में ‘O’ से अंकित किया गया है। ऐसी रिक्तियाँ छह गोलों से घिरी होती हैं। ऐसी एक रिक्ति को अलग से चित्र में दिखाया गया है।
![]()
प्रश्न 1.8
निम्नलिखित जालकों में से प्रत्येक की एकक कोष्ठिका में कितने जालक बिन्दु होते हैं?
- फलक – केन्द्रित घनीय
- फलक – केन्द्रित चतुष्कोणीय
- अन्तः केन्द्रता।
उत्तर:
1. फलक:
केन्द्रित घनीय जालक में एकक कोष्ठिका में जालक बिन्दु अथवा अवयवी कणों की संख्या निम्न प्रकार होगी –
8 कोने के परमाणु × \(\frac{1}{8}\) परमाणु प्रति एकक कोष्ठिका
= 8 × \(\frac{1}{8}\) = 1 परमाणु
6 फलक – केन्द्रित परमाणु × \(\frac{1}{2}\) – परमाणु प्रति
एकक कोष्ठिका = 6 × \(\frac{1}{2}\) = 3 परमाणु
अतः प्रति एकक कोष्ठिका जालक बिन्दुओं की कुल संख्या = 1 + 3 = 4
2. फलक – केन्द्रित चतुष्कोणीय जालक की एकक कोष्ठिका में जालक बिन्दुओं की संख्या भी उपर्युक्त के समान होगी।
∴ अभीष्ट जालक बिन्दुओं की संख्या = 4
3. अन्तः केन्द्रित जालक की एकक कोष्ठिका में जालक बिन्दुओं की संख्या निम्न प्रकार होगी –
8 कोने × \(\frac{1}{8}\) प्रति कोना परमाणु = 8 × \(\frac{1}{8}\) = 1 परमाणु
तथा एक अन्त:केन्द्र परमाणु = 1 परमाणु
अतः प्रति एकक जालक बिन्दुओं की संख्या = 1 + 1 = 2 परमाणु
![]()
प्रश्न 1.9
समझाइए –
- धात्विक एवं आयनिक क्रिस्टलों में समानता एवं विभेद का आधार।
- आयनिक ठोस कठोर एवं भंगुर होते हैं।
उत्तर:
1. समानताएँ (Similarities):
(i) आयनिक तथा धात्विक दोनों क्रिस्टलों में स्थिर विद्युत आकर्षण बल विद्यमान होता है। आयनिक क्रिस्टलों में यह विपरीत आवेशयुक्त आयनों के मध्य होता है। धातुओं में यह संयोजी इलेक्ट्रॉनों तथा करनैल (kernels) के मध्य होता है। इसी कारण से दोनों के गलनांक उच्च होते हैं।
2. दोनों स्थितियों में बन्द अदैशिक (non-directional) होता है।
विभेद (Differences):
(i) आयनिक क्रिस्टलों में आयन गति के लिए स्वतन्त्र नहीं होते हैं। अत: ये ठोस अवस्था में विद्युत का चालन नहीं करते। ये ऐसा केवल गलित अवस्था या जलीय विलयन में करते हैं। धातुओं में संयोजी इलेक्ट्रॉन बँधे नहीं होते, अपितु मुक्त रहते हैं। अतः ये ठोस अवस्था में भी विद्युत का चालन करते हैं।
(ii) आयनिक बन्ध स्थिर विद्युत आकर्षण के कारण प्रबल होते हैं। धात्विक बन्ध दुर्बल भी हो सकता है या प्रबल भी; यह संयोजी इलेक्ट्रॉनों की संख्या तथा करनैल के आकार पर निर्भर करता है।
(iii) आयनिक क्रिस्टल कठोर होते हैं; क्योंकि इनमें विपरीत आवेशयुक्त आयनों के मध्य प्रबल स्थिर विद्युत आकर्षण बल उपस्थित होता है। ये भंगुर होते हैं; क्योंकि आयनिक बन्ध अदिशात्मक होता है।
प्रश्न 1.10
निम्नलिखित के लिए धातु के क्रिस्टल में संकुलन क्षमता की गणना कीजिए।
- सरल घनीय
- अन्तः केन्द्रित घनीय
- फलक केन्द्रित घनीय।। (यह मानते हुए कि परमाणु एक-दूसरे के सम्पर्क में हैं।)
उत्तर:
1. सरल घनीय जालक में संकुलन क्षमतासरल घनीय में, परमाणु केवल घन के कोनों पर उपस्थित होते हैं। घन के किनारों (कोरों) पर कण एक-दूसरे के सम्पर्क में होते हैं (चित्र)। इसलिए घन के कोर अथवा भुजा की लम्बाई ‘a’ और प्रत्येक कण का अर्द्धव्यास, निम्नलिखित प्रकार से सम्बन्धित है –
a = 2r
घनीय एकक कोष्ठिका का आयतन = a3 = (2r)3
= 8r3

चित्र-सरल घनीय एकक कोष्ठिका। घन के कोर की दिशा में गोले एक-दूसरे के सम्पर्क में हैं। चूँकि सरल घनीय एकक कोष्ठिका में केवल 1 परमाणु होता है, अतः
अध्यासित दिक्स्थान का आयतन = \(\frac{4}{3}\) πr3

2. अन्तः केन्द्रित घनीय जालक में संकुलन क्षमता:
संलग्न चित्र से यह स्पष्ट है कि केन्द्र पर स्थित परमाणु विकर्ण पर व्यवस्थित अन्य दो परमाणओं के सम्पर्क में हैं।
∆EFD में, b2 = a2 + a2 = 2a2
b = 9\(\sqrt{2}\)
अब ∆AFD में,
c2 = a2 + b2 = a2 + (9\(\sqrt{2}\)) = 3a2
c = \(\sqrt{3a}\)
काय विकर्ण ‘c’ की लम्बाई 4r के बराबर है, जहाँ r गोले (परमाणु) का अर्द्धव्यास है, क्योंकि विकर्ण पर उपस्थित तीनों गोले एक-दूसरे के सम्पर्क में हैं। अतः
\(\sqrt{3a}\) = 4r
a = \(\frac{4 r}{\sqrt{3}}\)
अतः यह भी लिख सकते हैं कि r = \(\frac{\sqrt{3}}{4}\) a

चित्र-अन्तः-केन्द्रित घनीय एकक कोष्ठिका (काय विकर्ण पर उपस्थित गोलों को ठोस परिसीमा द्वारा दर्शाया गया है)।
इस प्रकार की संरचना में परमाणु की कुल संख्या 2 है तथा उनका आयतन 2 × (4/3)πr3 है।
घन का आयतन a3 = \(\left(\frac{4}{\sqrt{3}} r\right)^{3}\)

3. फलक-केन्द्रित घनीय जालक में संकलन क्षमता:
∆ABC में,
AC2 = b2 = BC2 + AB2
= a2 + a2 = 2a2
या b = 9\(\sqrt{2}\)
यदि गोले का अर्द्धव्यास r हो तो
b = 4r = 9\(\sqrt{2}\)
a = \(\frac{4 r}{\sqrt{2}}\) = 2 \(\sqrt{2r}\)
r = \(\frac{a}{2 \sqrt{2}}\)

चित्र-फलक केन्द्रित घनीय एकक कोष्ठिका संकुलन क्षमता

![]()
प्रश्न 1.11
चांदी का क्रिस्टलीकरण fcc जालक में होता है। यदि इसकी कोष्ठिका के कोरों की लम्बाई 4.07 × 10-8 cm है तथा घनत्व 10.5 g cm-3 हो तो चांदी का परमाण्विक द्रव्यमान ज्ञात कीजिए।
गणना:
एकक कोष्ठिका का घनत्व
(d) = \(\frac{Z \times M}{\alpha_{3} \times N A}\)
जहाँ M = ठोस का मोलर द्रव्यमान तथा
α = एकक कोष्ठिका कोर की लम्बाई

प्रश्न 1.12
एक घनीय ठोस दो तत्वों P और Q से बना है। घन के कोणों पर Q परमाणु एवं अन्तः केन्द्र पर P परमाणु स्थित हैं। इस यौगिक का सूत्र क्या है? P एवं Q की उपसहसंयोजन संख्या क्या है?
गणना : प्रति एकक कोष्ठिका P परमाणुओं की संख्या
= 1 × 1 = 1
तथा प्रति एकक कोष्ठिका Q परमाणुओं की संख्या
= 8 × \(\frac{1}{8}\) = 1
अतः यौगिक का सूत्र = PQ
तथा P एवं Q में प्रत्येक की उपसहसंयोजन संख्या = 8
![]()
प्रश्न 1.13
निओबियम का क्रिस्टलीकरण अन्तःकेन्द्रित घनीय संरचना में होता है। यदि इसका घनत्व 8.55 g cm-3 हो तो इसके परमाण्विक द्रव्यमान 93 u का प्रयोग करके परमाणु त्रिज्या की गणना कीजिए।
हल:
अन्त:केन्द्रित घनीय संरचना तत्व (निओबियम) के लिए,
Z = 2, d = 8.55 g cm-3,
M = 93 u, r = ?

प्रश्न 1.14
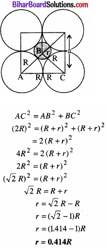
यदि अष्टफलकीय रिक्ति की त्रिज्या हो तथा निविड संकुलन में परमाणुओं की त्रिज्या R हो तो एवं R में सम्बन्ध स्थापित कीजिए।
उत्तर:
अष्टफलकीय रिक्ति में स्थित गोला चित्र में छायांकित वृत्त द्वारा प्रदर्शित है। रिक्ति के ऊपर तथा नीचे उपस्थित गोले चित्र में प्रदर्शित नहीं हैं। अब चूँकि ABC एक समकोण त्रिभुज है; अतः पाइथागोरस सिद्धान्त लागू करने पर,

प्रश्न 1.15
कॉपर fcc जालक रूप में क्रिस्टलीकृत होता है जिसके कोर की लम्बाई 3.61 × 10-8 cm है। यह दर्शाइए कि गणना किए गए घनत्व के मान तथा मापे गये घनत्व 8.92 g में समानता है। गणना : हम जानते हैं कि –
एकक कोष्ठिका का घनत्व (d) = \(\frac{Z \times M}{\alpha^{3} \times \mathrm{Na}}\)
प्रश्नानुसार
कॉपर fcc जाल के लिए Z = 4,
कॉपर का परमाणविक द्रव्यमान (M) = 635 g mol-1,

जो कि मापे गये घनत्व के मान के लगभग समान है।
![]()
प्रश्न 1.16
विश्लेषण द्वारा ज्ञात हुआ कि निकिल ऑक्साइड का सूत्र Ni0.98O1.00 निकिल आयनों का कितना अंश Ni+2 और Ni+3 के रूप में विद्यमान है?
उत्तर:
गणना:
स्पष्ट है कि 98 Ni – परमाणु 100 O– के परमाणुओं के सहसंयोजित है।
माना Ni+2 के रूप में x निकिल आयन हैं। तब
Ni3+ के रूप में (98 – n) निकिल आयन होंगे।
∴ x Ni2+ तथा (98 – x) पर कुल आवेश = 100 O2- आयनों पर आवेश
या x × 2 + (98 – n) × 3 = 100 × 2
या 2x + 196 – 3x = 200
या x = 94
∴ Ni2+ के रूप में निकिल आयनों का अंश
= \(\frac{94}{98}\) × 100
= 96%
तथा Ni3+ के रूप में निकिल आयनों का अंश
= \(\frac{4}{98}\) × 100
= 4%
![]()
प्रश्न 1.17
अर्द्ध-चालक क्या होते हैं? दो मुख्य अर्द्धचालकों का वर्णन कीजिए एवं चालकता क्रियाविधि में विभेद कीजिए।
उत्तर:
ऐसे ठोस जिनकी चालकता 10-6 से 104 ohm-1 m-1 तक के मध्यवर्ती परास में होती है, अर्द्धचालक कहलाते हैं।
अर्द्ध:
चालकों में संयोजक बैंड एवं चालक बैन्ड के मध्य ऊर्जा – अन्तराल कम होता है। अत: कुछ इलेक्ट्रॉन चालक बैंड में लांघ सकते हैं और अल्प-चालकता प्रदर्शित कर सकते हैं। ताप बढ़ने के संयोजक बैण्ड साथ अर्द्धचालकों में विद्युत-चालकता बढ़ती है क्योंकि अधिक संख्या में इलेक्ट्रॉन चालक बैण्ड में देखे जा लघ ऊर्जा अन्तर सकते हैं।
सिलिकन एवं जर्मेनियम जैसे पदार्थ इस प्रकार का व्यवहार प्रदर्शित करते हैं। इनमें उचित अशुद्धि को चालक बैण्ड उपयुक्त मात्रा में मिलाने से इनकी चालकता बढ़ जाती है। इस आधार पर दो प्रकार के अर्द्धचालक तथा उनकी छायांकित भाग चालकता-क्रियाविधि का वर्णन चालकता बैण्ड को निम्नवत् है –

(i) n – प्रकार के अर्द्धचालक:
सिलिकन तथा जर्मेनियम आवर्त सारणी के वर्ग 14 से सम्बन्धित हैं और प्रत्येक में चार संयोजक इलेक्ट्रॉन हैं। क्रिस्टलों में इनका प्रत्येक परमाणु अपने निकटस्थ परमाणुओं के साथ चार सहसंयोजक बन्ध बनाता है। [चित्र (क)]। जब वर्ग 15 के तत्व जैसे-P अथवा As जिनमें पाँच संयोजक इलेक्ट्रॉन होते हैं, को अपमिश्रित किया जाता है तो सिलिकन अथवा जर्मेनियम के क्रिस्टल में कुछ चालक स्थलों में आ जाते हैं। चित्र (ख)]।
पाँच में से चार इलेक्ट्रॉनों का उपयोग चार सन्निकट सिलिकन परमाणुओं के साथ सहसंयोजक बन्ध बनाने में होता है। पाँचवाँ अतिरिक्त इलेक्ट्रॉन विस्थापित हो जाता है। यहाँ विस्थापित इलेक्ट्रॉन अपमिश्रित सिलिकन (अथवा जर्मेनियम) की चालकता में वृद्धि करते हैं। यहाँ चालकता में वृद्धि ऋणावेशित इलेक्ट्रॉन के कारण होती है, अतः इलेक्ट्रॉन-धनी अशुद्धि से अपमिश्रित सिलिकन को n – प्रकार का अर्द्ध चालक कहा जाता है।


चित्र – n – और p – प्रकार के अर्द्धचालकों की सष्टि
(ii) p – प्रकार के अर्द्धचालक:
सिलिकन अथवा जर्मेनियम को वर्ग 13 के तत्वों जैसे:
B, Al अथवा Ga के साथ भी अपमिश्रित किया जा सकता है जिनमें केवल तीन संयोजक इलेक्ट्रॉन होते हैं। वह स्थान जहाँ चौथा इलेक्ट्रॉन नहीं होता, इलेक्ट्रॉन रिक्ति या इलेक्ट्रॉन छिद्र कहलाता है [चित्र (ग)]| निकटवर्ती परमाणु से इलेक्ट्रॉन आकर इलेक्ट्रॉन छिद्र को भर सकता है, परन्तु ऐसा करने पर वह अपने मूल स्थान पर इलेक्ट्रॉन छिद्र छोड़ जाता है।
यदि ऐसा हो तो यह प्रतीत होगा जैसे कि इलेक्ट्रॉन छिद्र जिस इलेक्ट्रॉन द्वारा यह भरा गया है, उसके विपरीत दिशा में चल रहा है। विद्युत क्षेत्र के प्रभाव में इलेक्ट्रॉन, इलेक्ट्रॉन छिद्रों में से धनावेशित प्लेट की ओर चलेंगे, परन्तु ऐसा प्रतीत होगा जैसे इलेक्ट्रॉन छिद्र धनावेशित हैं और ऋणावेशित प्लेट की ओर चल रहे हैं। इस प्रकार के अर्द्धचालकों को p – प्रकार के अर्द्धचालक कहते हैं।
![]()
प्रश्न 1.18
नॉनस्टॉइकियोमीट्री क्यूपस ऑक्साइड, Cu2O प्रयोगशाला में बनाया जा सकता है। इसमें कॉपर तथा ऑक्सीजन का अनुपात 2 : 1 से कुछ कम है। क्या आप इस तथ्य की व्याख्या कर सकते हैं कि वह पदार्थ p – प्रकार का अर्द्धचालक है?
उत्तर:
क्यूप्रस ऑक्साइड Cu2O में कॉपर तथा ऑक्सीजन का अनुपात 2 : 1 से कुछ कम होता है। इससे यह प्रदर्शित होता है कि कुछ क्यूप्रस आयन Cu+, क्यूप्रिक Cu2+ आयनों से प्रतिस्थापित हो जाते हैं। विद्युत उदासीनता को बनाए रखने के लिए प्रत्येक दो Cu<sup+ आयन एक Cu2+ आयन से प्रतिस्थापित होंगे जिससे एक छिद्र बनेगा। चूँकि चालन इन धनावेशित छिद्रों की उपस्थिति के कारण होता है, अत: यह पदार्थ p – प्रकार का अर्द्धचालक है।
प्रश्न 1.19
फेरिक ऑक्साइड, ऑक्साइड आयन के षट्कोणीय निविड संकुलन में क्रिस्टलीकृत होता है जिसकी तीन अष्टफलकीय रिक्तियों में से दो पर फेरिक आयन होते हैं। फेरिक ऑक्साइड का सूत्र ज्ञात कीजिए।
उत्तर:
माना संकुलन में ऑक्साइड आयनों (O2-) की संख्या N है, तब
अष्टफलकीय रिक्तियों की संख्या = N
∵ दो – तिहाई अष्टफलकीय रिक्तियाँ फेरिक आयनों द्वारा अध्यासित हैं।
∴ उपस्थित फेरिक आयनों (Fe3+) की संख्या = \(\frac{2}{3}\) × N = \(\frac{2N}{3}\)
Fe3+ तथा O2- आयनों का अनुपात = \(\frac{2N}{3}\) : N = 2 : 3
अतः फेरिक ऑक्साइड का सूत्र Fe2O3 है।
प्रश्न 1.20
निम्नलिखित को p – प्रकार या n – प्रकार के अर्द्धचालकों में वर्गीकृत कीजिए –
- In से डोपित Ge
- Si से डोपित B
उत्तर:
- Ge आवर्त सारणी के वर्ग 14 का तत्व है तथा In वर्ग 13 का तत्व हैं। अत: Ge को In से डोपित करने पर एक इलेक्ट्रॉन-न्यून छिद्र बन जाता है। यह p – प्रकार का अर्द्धचालक है।
- B वर्ग 13 तथा Si वर्ग 14 के तत्व हैं। Si से डोपित B में एक मुक्त इलेक्ट्रॉन होगा। अतः यह n – प्रकार का अर्द्धचालक है।
![]()
प्रश्न 1.21
सोना (परमाणु त्रिज्या = 0.144 nm) फलक केन्द्रित एकक कोष्ठिका में क्रिस्टलीकृत होता है। – इसकी कोष्ठिका के कोर की लम्बाई ज्ञात कीजिए।
हल:
यदि परमाणु त्रिज्या r हो, तो फलक-केन्द्रित घनीय (fcc) के लिए एकक कोष्ठिक के कोर की लम्बाई (α)
= 2\(\sqrt{2r}\)
= 2\(\sqrt{2}\) × 0.144
= 2 × 1.414 × 0144
= 0.407 nm
प्रश्न 1.22
बैण्ड सिद्धान्त के आधार पर (i) चालक एवं रोधी, (ii) चालक एवं अर्द्धचालक में क्या अन्तर होता है?
उत्तर:
(i) चालक एवं रोधी में अन्तर (Difference between conductor and insulator):
अचालक अथवा रोधी में संयोजक बैण्ड तथा चालक बैण्ड के मध्य ऊर्जा-अन्तर बहुत अधिक होता है, जबकि चालक में ऊर्जा-अन्तर अत्यन्त कम होता है या संयोजक बैण्ड तथा चालक बैण्ड के बीच अतिव्यापन होता है।
(ii) चालक एवं अर्द्धचालक में अन्तर (Difference between Conductor and Semi-conductor):
चालक में संयोजक बैण्ड तथा चालक बैण्ड के बीच ऊर्जा-अन्तर अत्यन्त कम होता है अथवा अतिव्यापन होता है, जबकि अर्द्धचालकों में ऊर्जा अन्तर सदैव कम ही होता है।
![]()
प्रश्न 1.23
उचित उदाहरणों द्वारा निम्नलिखित पदों को परिभाषित कीजिए:
- शॉट्की दोष
- फ्रेंकेल दोष
- अन्तराकांशी दोष
- F – केन्द्र
उत्तर:
1. शॉट्की दोष:
यह आधारभूत रूप से आयनिक ठोसों का रिक्तिका दोष है। जब एक परमाणु अथवा आयन अपनी सामान्य (वास्तविक) स्थिति से लुप्त हो जाता है तो एक जालक रिक्तता निर्मित हो जाती है। इसे शॉटकी दोष कहते हैं। विद्युत उदासीनता को बनाए रखने के लिए लुप्त होने वाले धनायनों और ऋणायनों की संख्या बराबर होती है। शॉट्की दोष उन आयनिक पदार्थों द्वारा दिखाया जाता है जिनमें धनायन और ऋणायन लगभग समान आकार के होते हैं। उदाहरण के लिए – NaCl, KCl, CsCl और AgBr शाट्की दोष दिखाते है।
2. फ्रेंकेल दोष:
यह दोष आयनिक ठोसों द्वारा दिखाया जाता है। लघुतर आयन (साधारणतया धनायन) अपने वास्तविक स्थान से विस्थापित होकर अन्तराकाश में चला जाता है। यह वास्तविक स्थान पर रिक्तिका दोष और नए स्थान पर अन्तराकाशी दोष उत्पन्न करता है। फ्रेंकेल दोष को विस्थापन दोष भी कहते हैं। यह ठोस के घनत्व को परिवर्तित नहीं करता। फ्रेंकेल दोष उन आयनिक पदार्थों द्वारा दिखाया जाता है जिनमें आयनों के आकार में अधिक अन्तर होता है। उदाहरण के लिए – ZnS, AgCl, AgBr और Agl में यह दोष Zn2+ और Ag+ आयन के लघु आकार के कारण होता है।
3. अन्तराकाशी दोषं:
जब कुछ अवयवी कण (परमाणु अथवा अणु अन्तराकाशी स्थल पर पाए जाते हैं तब उत्पन्न दोष अन्तरकाशी दोष कहलाता है। यह दोष पदार्थ के घनत्व को बढ़ाता है। यह दोष अनआयनिक ठोसों में पाया जाता है। आयनिक ठोसों में सदैव विद्युत उदासीनता बनी रहनी चाहिए।
4. F – केन्द्र:
जब क्षारकीय हेलाइड; जैसे – NaCl को क्षार धातु (जैसे-सोडियम को वाष्प के वातावरण में गर्म किया जाता है तो सोडियम परमाणु क्रिस्टल की सतह पर जम जाते हैं। Cl– आयन क्रिस्टल की सतह में विघटित हो जाते हैं और परमाणुओं के साथ जुड़कर NaCl देते हैं। ऐसा Na+ आयन बनाने के लिए Na परमाणु से एक इलेक्ट्रॉन के निकल जाने से होता है।
निर्मुक्त इलेक्ट्रॉन विसरित होकर क्रिस्टल के ऋणायनिक स्थान को अध्यासित करते हैं, परिणामस्वरूप अब क्रिस्टल में सोडियम का आधिक्य होता है, आकस्मिक इलेक्ट्रॉनों द्वारा भरी जाने वाली इन ऋणायनिक ऋक्तिकाओं को F – केन्द्र कहते हैं। ये NaCl क्रिस्टलों को नीला रंग प्रदान करते हैं। यह रंग इन इलेक्ट्रॉनों द्वारा क्रिस्टल पर पड़ने वाले प्रकाश से ऊर्जा अवशोषित करके उत्तेजित होने के फलस्वरूप दिखता है।
![]()
प्रश्न 1.24
एलुमिनियम घनीय निविड संकुलित संरचना में क्रिस्टलीकृत होता है। उसका धात्विक अर्द्धव्यास 125 pm है।
- एकक कोशिका के कोर की लम्बाई ज्ञात कीजिए।
- 1.0 cm3 एलुमिनियम में कितनी एकक कोष्ठिकाएँ होंगी?
उत्तर:
1. एक fcc एकक कोष्ठिका के लिए त्रिज्या
r = \(\frac{a}{2 \sqrt{2}}\)
या एकक कोष्ठिका कोर की लम्बाई α = 2\(\sqrt{2r}\)
= 2 × 1.414 × 125
= 353.5 pm
2. एकक कोष्ठिका का आयतन
(a3) = (3.535 × 10-8 cm)3
= 442 × 10-25 cm3

![]()
प्रश्न 1.25
यदि NaCl को SrCl, के 10-3 मोल% से डोपित किया जाए तो धनायनों की रिक्तियों का सान्द्रण क्या होगा?
हल:
प्रश्नानुसार, NaCl को SrCl2 के 10-3 मोल % से डोपित किया जाता है।
100 मोल NaCl को SrCl2 के 10-3 मोल से डोपित किया जाता है –
∴ 1 मोल NaCl को SrCl2 से डोपित किया जाएगा
= \(\frac{10^{-3}}{100}\) mol
∵ प्रत्येक Sr2+ आयन एक रिक्ति उत्पन्न करता है।
∴ धनायनिक रिक्तियों की सान्द्रता

प्रश्न 1.26
निम्नलिखित को उचित उदाहरणों से समझाइए:
- लोहचुम्बकत्व
- अनुचुम्बकत्व
- फेरीचुम्बकत्व
- प्रतिलोहचुम्बकत्व
- 12-16 और 13-15 वर्गों के यौगिक।
उत्तर:
1. लोहचुम्बकत्व:
कुछ पदार्थ; जैसे-लोहा, कोबाल्ट, निकिल, गैडोलिनियम और CrO2, बहुत प्रबलता से चुम्बकीय क्षेत्र की ओर आकर्षित होते हैं। ऐसे पदार्थों को लोहचुम्बकीय पदार्थ कहा जाता है। प्रबल आकर्षणों के अतिरिक्त ये स्थायी रूप से चुम्बकित किए जा सकते हैं। ठोस अवस्था में लोहचुम्बकीय पदार्थों के धातु आयन छोटे खण्डों में एक साथ समूहित हो जाते हैं, इन्हें डोमेन कहा जाता है इस प्रकार प्रत्येक डोमेन एक छोटे चुम्बक की भाँति व्यवहार करता है।
लोहचुम्बकीय पदार्थ के अचुम्बकीय टुकड़े में डोमेन अनियमित रूप से अभिविन्यासित होते हैं और उनका चुम्बकीय आघूर्ण निरस्त हो जाता है। पदार्थ को चुम्बकीय क्षेत्र में रखने पर सभी डोमन चुम्बकीय क्षेत्र की दिशा में अभिविन्यासित हो जाते हैं (चित्र-क) और प्रबल चुम्बकीय प्रभाव उत्पन्न होता है। चुम्बकीय क्षेत्र को हटा लेने पर भी डोमेनों का क्रम बना रहता है और लोहचुम्बकीय पदार्थ स्थायी चुम्बक बन जाते हैं। चुम्बकीय पदार्थों की यह प्रवृत्ति लोहचुम्बकत्व कहलाती है।
2. अनुचुम्बकत्व:
वे पदार्थ जो चुम्बकीय क्षेत्र द्वारा आकर्षित होते हैं, अनुचुम्बकीय पदार्थ कहलाते हैं। इन पदार्थों की यह प्रवृत्ति अनुचुम्बकत्व कहलाती है। अनुचुम्बकीय पदार्थ चुम्बकीय क्षेत्र की ओर दुर्बल रूप से आकर्षित होते हैं। ये चुम्बकीय क्षेत्र की दिशा में ही चुम्बकित हो जाते हैं।
ये चुम्बकीय क्षेत्र की अनुपस्थिति में अपना चुम्बकत्व खो देते हैं। अनुचुम्बकत्व का कारण एक अथवा अधिक अयुग्मित इलेक्ट्रॉनों की उपस्थिति है, जो कि चुम्बकीय क्षेत्र की ओर आकर्षित होते हैं। O2, Cu2+, Fe3+, Cr3+ ऐसे पदार्थों के कुछ उदाहरण हैं।

चित्र – चुम्बकीय आघूर्ण का व्यवस्थित संरेखण
3. फेरीचुम्बकत्व:
जब पदार्थ में डोमेनों के चुम्बकीय आघूर्णों का संरेखण समान्तर एवं प्रतिसमान्तर दिशाओं में असमान होता है, तब पदार्थ में फेरीचुम्बकत्व देखा जाता है (चित्र-(ग))। ये लोहचुम्बकत्व की तुलना में चुम्बकीय क्षेत्र द्वारा दुर्बल रूप से आकर्षित होते हैं। Fe3O4 (मैग्नेटाइट) और फेराइट जैसे – MgFe2O4, ZnFe2O4 ऐसे पदार्थों के उदाहरण हैं। ये पदार्थ गर्म करने पर फेरीचुम्बकत्व खो देते हैं और अनुचुम्बकीय बन जाते हैं।
4. प्रतिलोहचुम्बकत्व:
प्रतिलोहचुम्बकत्व प्रदर्शित करने वाले पदार्थ जैसे – MnO में डोमेन संरचना लोह-चुम्बकीय पदार्थ के समान होती है, परन्तु उनके डोमेन एक-दूसरे के विपरीत अभिविन्यासित होते हैं तथा एक-दूसरे के चुम्बकीय आघूर्ण को निरस्त कर देते हैं (चित्र (ख))। इस प्रकार जब चुम्बकीय आघूर्ण इस प्रकार अभिविन्यासित होते हैं कि नेट चुम्बकीय आघूर्ण शून्य हो जाता है तब चुम्बकत्व प्रतिलोहचुम्बकत्व कहलाता है।
5. 12 – 16 और 13 – 15 वर्गों के यौगिक:
वर्ग 12 के तत्वों और वर्ग-16 के तत्वों से बने यौगिक 12-16 यौगिक कहलाते हैं। जैसे – ZnS, HgTe आदि। वर्ग-13 के तत्त्वों और वर्ग 15 के तत्वों के बने यौगिक 13-15 यौगिक कहलाते हैं। जैसे – GaAs, Al आदि।