Bihar Board Class 12 Chemistry Solutions Chapter 10 हैलोऐल्केन तथा हैलोऐरीन Textbook Questions and Answers, Additional Important Questions, Notes.
BSEB Bihar Board Class 12 Chemistry Solutions Chapter 10 हैलोऐल्केन तथा हैलोऐरीन
Bihar Board Class 12 Chemistry हैलोऐल्केन तथा हैलोऐरीन Text Book Questions and Answers
पाठ्यनिहित प्रश्न एवं उनके उत्तर
प्रश्न 10.1
निम्नलिखित यौगिकों की संरचनाएँ लिखिए:
- 2-क्लोरो-3-मेथिलपेन्टेन
- 1-क्लोरो-4-एथिलसाइक्लोहेक्सेन
- 4-तृतीयक-ब्यूटिल-3-आयोडोहेप्टेन
- 1, 4-डाइब्रोमोब्यूट-2-ईन
- 1-ब्रोमो-4-द्वितीयक-ब्यूटिल-2-मेथिलेबेन्जीन
उत्तर:

![]()
प्रश्न 10.2
ऐल्कोहॉल तथा KI की अभिक्रिया में सल्फ्यूरिक अम्ल का उपयोग क्यों नहीं करते?
उत्तर:
ऐल्कोहॉल के ऐल्किल आयोडाइड में परिवर्तन के लिए KI के साथ H2SO4 का प्रयोग नहीं किया जा सकता; क्योंकि यह KI की संगत HI में परिवर्तित कर देता है, फिर इसे IL2 में ऑक्सीकृत कर देता है।
प्रश्न 10.3
प्रोपेन के विभिन्न डाइहैलोजेन व्युत्पन्नों की संरचना लिखिए।
उत्तर:
- ClCH2CH2CH2Cl
- ClCH2CHClCH3
- Cl2CHCH2CH3
- CH3CCl2CH3
प्रश्न 10.4
C5H12 अणुसूत्र वाले समावयवी ऐल्केनों में से उसको पहचानिए जो प्रकाश रासायनिक क्लोरीन पर देता है:
- केवल एक मोनोक्लोराइड
- तीन समावयवी मोनोक्लोराइड
- चार समावयवी मोनोक्लोराइड।
उत्तर:

चूँकि सभी हाइड्रोजन परमाणु समतुल्य हैं, अत: किसी भी हाइड्रोजन परमाणु के प्रतिस्थापन पर समान उत्पाद (केवल एक मोनोक्लोराइड) बनेगा।
2. CaH3Cb H2C c H2Cb H2CaH3
समतुल्य हाइड्रोजनों को a, b, c से निर्देशित किया गया है। समतुल्य हाइड्रोजनों के प्रतिस्थापन पर समान उत्पाद (तीन समावयवी मोनोक्लोराइड) बनेंगे।
3.

इस प्रकार समतुल्य हाइड्रोजनों को a, b, c तथा d से निर्देशित किया गया है। अत: चार समावयवी उत्पाद सम्भव हैं।
![]()
प्रश्न 10.5
निम्नलिखित प्रत्येक अभिक्रिया के मुख्य मोनोहैलो उत्पाद की संरचना बनाइए –

उत्तर:

केवल ऐल्कोहॉलीय OH – समूह HCl के साथ गर्म करने पर Cl से प्रतिस्थापित हो जाते हैं, परन्तु फीनॉलिक – OH समूह ऐसा नहीं करते हैं।

प्रश्न 10.6
निम्नलिखित यौगिकों को क्वथनांकों के बढ़ते हुए क्रम में व्यवस्थित कीजिए –
- ब्रोमोमेथेन, ब्रोमोफॉर्म, क्लोरोमेथेन, डाइब्रोमोमेथेन
- 1-क्लोरोप्रोपेन, आइसोप्रोपिल क्लोराइड, 1-क्लोरोब्यूटेन।
उत्तर:
1. चूँकि अणुभार बढ़ने से क्वथनांक बढ़ता है, अत: बढ़ता क्रम निम्नवत् है:
क्लोरोमेथेन < ब्रोमोमेथेन < डाइब्रोमोमेथेन < ब्रोमोफॉर्म
2. चूँकि आइसोप्रोपिल क्लोराइड का गलनांक 1-क्लरोप्रोपेन से कम होता है, अत: बढ़ता क्रम निम्नवत् है –
आइसोप्रोपिल क्लोराइड < 1-क्लोरोप्रोपेन < 1-क्लोरोब्यूटेन
(शाखित होने के कारण आइसोप्रोपिल क्लोराइड का गलनांक 1-क्लोरोप्रोपेन से कम होगा।)
![]()
प्रश्न 10.7
निम्नलिखित युगलों में से आप कौन-से ऐल्किल हैलाइड द्वारा SN2 क्रियाविधि से अधिक तीव्रता से अभिक्रिया करने की अपेक्षा करते हैं? अपने उत्तर को समझाइए।

उत्तर:
(i) CH3CH2CH2CH2Br
प्राथमिक हैलाइड होने के कारण कोई त्रिविम बाधा नहीं होगी।

द्वितीयक हैलाइड, तृतीयक हैलाइड की तुलना में अधिक तीव्रता से अभिक्रिया करता है।

मेथिल समूह हैलाइड समूह के निकट होने के कारण त्रिविम बाधा अधिक होगी तथा अभिक्रिया का वेग कम होगा।
![]()
प्रश्न 10.8
हैलोजेन यौगिकों के निम्नलिखित युगलों में से कौन-सा यौगिक तीव्रता से अभिक्रिया करेगा?

उत्तर:

तृतीयक कार्बोकैटायनं का स्थायित्व अधिक होने के कारण तृतीयक हैलाइड को अभिक्रियाशीलता द्वितीयक हैलाइड से अधिक होगी।

प्राथमिक कार्बोकैटायन की तुलना में द्वितीयक कार्बोकैटायन का स्थायित्व अधिक होने के कारण।
प्रश्न 10.9
निम्नलिखित में A, B, C, D, E, R तथा R1 को पहचानिए –

उत्तर:

Bihar Board Class 12 Chemistry हैलोऐल्केन तथा हैलोऐरीन Additional Important Questions and Answers
अभ्यास के प्रश्न एवं उनके उत्तर
प्रश्न 10.1
निम्नलिखित हैलाइडों के नाम आई० यू० पी० ए० सी० (IUPAC) पद्धति से लिखिए तथा उनका वर्गीकरण, ऐल्किल, ऐलिलिक, बेन्जिलिक (प्राथमिक, द्वितीयक एवं तृतीयक), वाइनिल अथवा ऐरिल हैलाइड के रूप में कीजिए –
- (CH3)2CHCH(Cl)CH3
- CH3CH2CH(CH3)CH(C2H5)Cl
- CH3CH2C(CH3)2CH2I
- (CH3)3CCH2CH(Br)C6H5
- CH3CH(CH3)CH(Br)CH3
- CH3C(C2H5)2CH2Br
- CH3C(Cl)(C2H5)CH2CH3
- CH3CH = C(Cl)CH2CH(CH3)2
- CH3CH = CHC(Br)(CH3)2
- p – ClC6H4CH2CH(CH3)2
- m – ClCH2C6H4CH2C(CH3)3
- 0 – Br – C6H4CH(CH3) CH2CH3
उत्तर:
- 2- क्लोरो-3-मेथिलब्यूटेन, 2° ऐल्किल हैलाइड
- 3-क्लोरो-4-मेथिलहेक्सेन, 2° ऐल्किल हैलाइड
- 1-आयोडो-2, 2-डाइमेथिलब्यूटेन, 1° ऐल्किल हैलाइड
- 1-ब्रोमो-3, 3-डाइमेथिल-1-फनिलब्यूटेन, 2° बेन्जिलिक हैलाइड
- 2-ब्रोमो-3-मेथिलब्यूटेन, 2° ऐल्किल हैलाइड
- 1-ब्रोमो-2-एथिल-2-मेथिलब्यूटेन, 1° ऐल्किल हैलाइड
- 3-क्लोरो-3-मेथिलपेन्टेन, 3° ऐल्किल हैलाइड
- 3-क्लोरो-5-मेथिलहेक्स-2-ईन, वाइनिलिक हैलाइड
- 4-ब्रोमो-4-मेथिलपेन्ट-2-ईन, ऐलिलिक हैलाइड
- 1-क्लोरो-4-(2-मेथिलप्रोपिल) बेन्जीन, ऐरिल हैलाइड
- 1-क्लोरोमेथिल-3-(2, 2-डाइमेथिलप्रोपिल) बेन्जीन, 1° बेन्जिलिक हैलाइड
- 1-ब्रोमो-2-(1-मेथिलप्रोपिल) बेन्जीन, ऐरिल हैलाइड
![]()
प्रश्न 10.2
निम्नलिखित यौगिकों के IUPAC नाम दीजिए:
- CH3CH(CI)CH(Br)CH3
- CHF2CBrCIF
- CICH2C = CCH2Br
- (CCl3)3CCl
- CH3C(p – ClC6H4)2CH(Br)CH3
- (CH3)3CCH = ClC6H4I – p
उत्तर:
- 2-ब्रोमो-3-क्लोरोब्यूटेन
- 1-ब्रोमो-1-क्लोरो-1, 2, 2-ट्राइफ्लुओरोएथेन
- 1-ब्रोमो-4-क्लोरोब्यूट-2-आइन
- 2-(ट्राइक्लोरोमेथिल)-1, 1, 1, 2, 3, 3, 3-हेप्टाक्लोरोप्रोपेन
- 2-ब्रोमो-3, 3-बिस (4-क्लोरोफेनिल) ब्यूटेन
- 1-क्लोरो-1-64-आयोडोफेनिल)-3, 3-डाइमेथिलब्यूट-1-ईन
![]()
प्रश्न 10.3
निम्नलिखित कार्बनिक हैलोजेन यौगिकों की संरचना दीजिए –
- 2-क्लोरो-3-मेथिलपेन्टेन
- p-ब्रोमोक्लोरो बेन्जीन
- 1-क्लोरो-4-एथिलसाइक्लोहेक्सेन
- 2-(2-क्लोरोफेनिल)-1-आयोडोऑक्टेन
- परफ्लुओरोबेन्जीन
- 4-तृतीयक-ब्यूटिल-3-आयोडोहेप्टेन
- 1-ब्रोमो-4-द्वितीयक-ब्यूटिल-2-मेथिल बेन्जीन
- 1, 4-डाइब्रोमोब्यूट-2-ईन।
उत्तर:

प्रश्न 10.4
निम्नलिखित में से किसी द्विध्रुव आघूर्ण सर्वाधिक होगा?
- CH2Cl2
- CHCl3
- CCl4
उत्तर:
चूँकि CCl4 समिताकार है, अतः इसमें द्विध्रुव आघूर्ण शून्य है। चूँकि CHCl3 में C – Cl द्विध्रुवों का परिणामी C – H तथा C – Cl आबन्ध के परिणाम अधिक होता है, अतः CHCl3 में द्विध्रुव आघूर्ण 1.03D है। CH2Cl2 में द्विध्रुव आघूर्ण (1.62D) CHCl3 से अधिक है क्योंकि CH2Cl2 में दो C – Cl द्विध्रुव का परिणामी दो CH द्विध्रुवों के परिणामी से प्रतिबलित होता है। अतः दिये गये तीनों यौगिकों में CH2Cl2 का द्विध्रुव आघूर्ण सर्वाधिक है।
![]()
प्रश्न 10.5
एक हाइड्रोकार्बन C5H10 अँधेरे में क्लोरीन के साथ अभिक्रिया नहीं करता, परन्तु सूर्य के तीव्र प्रकाश में केवल एक मोनोक्लोरो यौगिक C5H9Cl देता है। हाइड्रोकार्बन की संरचना क्या है?
उत्तर:
- आण्विक सूत्र C5H10 के साथ हाइड्रोकार्बन साइक्लोऐल्केन या ऐल्कीन हो सकता है।
- चूँकि हाइड्रोकार्बन अँधेरे में क्लोरीन के साथ अभिक्रिया नहीं करता; अत: यह साइक्लोऐल्केन हो सकता है।
- चूँकि यह (साइकलोऐल्केन) सूर्य के तीव्र प्रकाश की उपस्थिति में Cl2 से अभिक्रिया करके एक मोनोक्लोरो यौगिक, C5H9Cl देता है; अत: साइक्लोऐल्केन, साइक्लोपेन्टेन है।

प्रश्न 10.6
C6H9Br सूत्र वाले यौगिक के सभी समावयवी लिखिए।
उत्तर:
C6H9Br के निम्नलिखित चार समावयव हैं –

प्रश्न 10.7
निम्नलिखित से 1-आयोडोब्यूटेन प्राप्त करने की समीकरण दीजिए –
- 1-ब्यूटेनॉल
- 1-क्लोरोब्यूटेन
- ब्यूट-1-ईन
उत्तर:

![]()
प्रश्न 10.8
उभयदन्ती नाभिकरागी क्या होते हैं? एक उदाहरण की सहायता से समझाइए।
उत्तर:
ऐसे नाभिकरागी को जो दो विभिन्न स्थानों से अभिक्रिया कर सकते हैं, उभयदन्ती नाभिकरागी कहते हैं। उदाहरणार्थ: सायनाइड आयन निम्नलिखित दो संख्याओं का एक अनुनाद संकर है:
![]()
यह कार्बन परमाणु से जुड़ने से ऐल्किल आइसोसायनाइड बनाता है।
प्रश्न 10.9
निम्नलिखित प्रत्येक युगलों में से कौन यौगिक OH– के साथ SN2 अभिक्रिया में अधिक तीव्रता से अभिक्रिया करेगा?
- CH3Br अथवा CH3I
- (CH3)3CCl CH3Cl
उत्तर:
- चूँकि Br– आयन की तुलना में I– आयन अच्छा अवशिष्ट समूह है, अतः SN2 अभिक्रिया में, CH3Br की तुलना में, CH3I अधिक तीव्रता से OH– आयन से अभिक्रिया करता है।
- चूँकि त्रिविम प्रभाव के आधार पर, SN2 अभिक्रियाओं में 1° ऐल्किल हैलाइड, तृतीयक ऐल्किल हैलाइडों से अधिक क्रियाशील होते हैं। अतः SN2 अभिक्रिया में CH3Cl, OH– आयन के साथ अधिक तीव्र अभिक्रिया करता है।
![]()
प्रश्न 10.10
निम्नलिखित हैलाइडों के एथेनॉल में सोडियम हाइड्रॉक्साइड द्वारा विहाइड्रोहैलोजनन के फलस्वरूप बनने वाली सभी ऐल्कीनों की संरचना लिखिए। इसमें से मुख्य ऐल्कीन कौन-सी होगी?
- 1-ब्रोमो-1-मेथिलसाइक्लाहेक्सेन
- 2-क्लोरो-2-मेथिलब्यूटेन
- 2, 2, 3-ट्राइमेथिल-3-ब्रोमोपेन्टेन।
उत्तर:
1. 1-ब्रोमो-1-मेथिलसाइक्लोहेक्सेन में Br परमाणु के प्रत्येक ओर स्थित B-हाइड्रोजन एकसमान होते हैं, अतः केवल 1-ऐल्कीन बनता है।

2. चूंकि 2-क्लोरो-2-मेथिलब्यूटेन में सभी 98-हाइड्रोजन एकसमान होते हैं, इसलिए C2H5HONa C2H5OH के साथ अभिकृत किए जाने पर यह एकल ऐल्कीन देता है।

3. 2, 2, 3 ट्राइमेथिल-3-ब्रोमोपेन्टेन दो ऐल्कीन (I तथा II) देता है क्योंकि इस में दो β – हाइड्रोजनों के दो भिन्न समूह होते हैं। सेजफ नियमानुसार अधिक उच्च प्रतिस्थापी ऐल्कीन (II) अधिक स्थाई होने के कारण मुख्य उत्पाद है।

प्रश्न 10.11
निम्नलिखित परिवर्तन आप कैसे करेंगे?
- एथेनॉल से ब्यूट-1-आइन
- एथीन से ब्रोमोएथेन
- प्रोपीन से 1-नाइट्रोप्रोपीन
- टॉलूईन से बेन्जिल ऐल्कोहॉल
- प्रोपीन से प्रोपाइन
- एथेनॉल से एथिल फ्लु ओराइड
- ब्रोमोमेथेन से प्रोपेनोन
- ब्यूट-1-ईन से ब्यूट-2-ईन
- 1-क्लोरोब्यूटेने से n-ऑक्टेन
- बेन्जीन से बाइफेनिल।
उत्तर:





![]()
प्रश्न 10.12
समझाइए, क्यों –
- क्लोरोबेन्जीन का द्विध्रुव आघूर्ण साइक्लोहेक्सिल क्लोराइड की तुलना में कम होता है?
- ऐल्किल हैलाइड ध्रुवीय होते हुए भी जल में अमिश्रणीय हैं?
- ग्रीन्यार अभिकर्मक का विरचन निर्जलीय अवस्थाओं में करना चाहिए?
उत्तर:
1. sp2 – संकरित कार्बन, s – गुण अधिक होने के कारण, sp3 – संकरित कार्बन से अधिक विद्युतऋणात्मक होता है। अत: क्लोरोबेन्जीन में C – Cl आबन्ध के sp2 – संकरित कार्बन में, साइक्लोहेक्सिल क्लोराइड के sp3 – संकरित कार्बन से, Cl पर इलेक्ट्रॉन विमोचित करने की प्रवृत्ति कम होती है।

अतः क्लोरोबेन्जीन में C – Cl आबन्ध साइक्लोहेक्सिल क्लोराइड की तुलना में कम ध्रुवी होता है। अन्य शब्दों में, क्लोरोबेन्जीन के Cl परमाणु पर ऋणावेश का परिमाण अर्थात् δ–, साइक्लोहेक्सिल क्लोराइड की तुलना में कम होता है। अब बेन्जीन वलय पर Cl परमाणु के एकाकी इलेक्ट्रॉन-युग्मों के विस्थानीकरण के कारण क्लोरोबेन्जीन का C – Cl आबन्ध कुछ द्विआबन्ध गुण ग्रहण कर लेता है, जबकि साइक्लोहेक्सिल का C – Cl आबन्ध शुद्ध एकल आबन्ध ही होता है। अतः क्लोरोबेन्जीन में C – Cl आबन्ध साइक्लोहेक्सिल क्लोराइड की तुलना में छोटा होता है।

चूँकि द्विध्रुव आघूर्ण, आवेश तथा दूरी का गुणनफल होता है, इसलिए Cl परमाणु पर ऋणावेश परिमाण तथा C – Cl दूरी कम होने के कारण क्लोरोबेन्जीन, में द्विध्रुव आघूर्ण साइक्लोहेक्सिल क्लोराइड की तुलना में कम होता है।
2. ऐल्किल हैलाइड ध्रुवीय अणु होते हैं, इसलिए इनके अणु द्विध्रुव-द्विध्रुव आकर्षण द्वारा परस्पर रहते हैं। H2O के अणु हाइड्रोजन आबन्धों द्वारा जुड़े होते हैं। अब चूँकि जल तथा ऐल्किल हैलाइड अणु बीच उत्पन्न हुए नए आकर्षण बल, ऐल्किल हैलाइड-ऐल्किल हैलाइड अणुओं तथा जल-जल अणुओं से पहले से ही उपस्थित आकर्षण बलों की तुलना में दुर्बल होते हैं, इसलिए ऐल्किल हैलाइड ध्रुवीय होते हैं। जल में अमिश्रणीय होते हैं।
3. ग्रीन्यार अभिकर्मक अत्यन्त क्रियाशील होते हैं। ये उपकरणों अथवा प्रारम्भिक पदार्थों (R – Mg) में उपस्थित नमी से अभिक्रिया कर लेते हैं।

अतः ग्रीन्यार अभिकर्मक का विरचन निर्जलीय अवस्थाओं में करना चाहिए।
![]()
प्रश्न 10.13
फ्रेऑन-12, DDT, कार्बनटेट्राक्लोराइड तथा आयोडोफार्म के उपयोग दीजिए।
उत्तर:
फ्रेऑन के उपयोग:
यह ऐरोसॉल प्रणोदक, प्रशीतक तथा वायु शीतलन में उपयोग करने के लिए उत्पादित किए जाते हैं।
DDT के उपयोग:
DDT का उपयोग कीटनाशी के रूप में किया जाता है, परन्तु जीवों में इसके सतत् अन्तर्ग्रहण से उत्पन्न विषैले प्रभावों के कारण इसे प्रतिबन्धित कर दिया गया है।
कार्बन टेट्राक्लोराइड के उपयोग –
- इस का उपयोग घर एवं उद्योग दोनों में शोधक के रूप है।
- इसका उपयोग प्रशीतकों, एयेरासॉल के नोदक तथा औषधियों के निर्माण में किया जाता है।
- यह वसा, तेल, मोम तथा रेजिन के लिए उपयोगी विलायक है।
- आयोडाइड तथा ब्रोमाइड के क्लोरीन जल परीक्षण में भी यह विलायक के रूप में प्रयुक्त होता है।
- इससे फ्रेऑन-12 भी प्राप्त होता है।
- इसका उपयोग पाइरीन नाम से अग्निशामक के रूप में। होता है। इसकी प्रकृति अज्वलनशील होती है। और ऑक्सीजन या। वायु को जलते पदार्थ के सम्पर्क में आने से रोकते हैं।
आयोडोफॉर्म के उपयोग:
इसका उपयोग प्रारम्भ में पूर्तिरोधी (ऐण्टिसेप्टिक) के रूप में किया जाता था, परन्तु आयोडोफॉर्म का यह पूर्तिरोधी गुण अयोडोफॉर्म के कारण स्वयं नहीं, बल्कि मुक्त हुई आयोडीन के कारण होता है। इसकी अरुचिकर गन्ध के कारण अब इसके स्थान पर आयोडीनयुक्त अन्य दवाओं का उपयोग किया जाता है।
![]()
प्रश्न 10.14
निम्नलिखित प्रत्येक अभिक्रिया में बनने वाले मुख्य कार्बनिक उत्पाद की संरचना लिखिए –

उत्तर:

प्रश्न 10.15
निम्नलिखित अभिक्रिया की क्रियाविधि लिखिए –
![]()
उत्तर:
KCN निम्नलिखित दो अंशदायी संरचनाओं का अनुनादी संकर है –

अत: CN– एक उभयदन्ती नाभिकरागी होने के कारण यह n – BuBr में C – Br आबन्ध के कार्बन परमाणु से C अथवा N के द्वारा अभिक्रिया करता है। चूँकि C – N आबन्ध से C – C आबन्ध प्रबल होता है, अतः यह C के द्वारा अभिक्रिया करके n – ब्यूटिल/सायनाइड बनाता है।

![]()
प्रश्न 10.16
SN2 प्रतिस्थापन के प्रति अभिक्रियाशीलता के आधार पर इन यौगिकों के समूहों को क्रमबद्ध कीजिए।
- 2-ब्रोमो-2 मेथिलब्यूटेन, 1-ब्रोमोपेन्टेन, 2-ब्रोमोपेन्टेन
- 1-ब्रोमो-3-मेथिलब्यूटेन, 2-ब्रोमो- 2-मेथिलब्यूटेन, 3-ब्रोमो-2-मेथिलब्यूटेन
- 1-ब्रोमोब्यूटेन, 1-ब्रोमो-2, 2-डाइमेथिलप्रोपेन, 1-ब्रोमो-2-मेथिलब्यूटेन, 1-ब्रोमो-3-मेथिलब्यूटेन।
उत्तर:
1. SN2 अभिक्रियाओं में अभिक्रियाशीलता त्रिविम अवरोध पर निर्भर करती है। त्रिविम अवरोध अधिक होने पर अभिक्रिया मन्द होती है।

त्रिविम कारकों के कारण SN2 अभिक्रियाओं में क्रियाशीलता का क्रम -1° > 2° > 3° है, इसलिए दिए गए ऐल्किल ब्रोमाइडों की अभिक्रियाशीलता का क्रम इस प्रकार होगा –
1-ब्रोमोपेन्टेन > 2-ब्रोमोपेन्टेन > 2-ब्रोमो- 2-मेथिलब्यूटेन

त्रिविम प्रभाव के कारण SN2 अभिक्रियाओं में ऐल्किल हैलाइडों की अभिक्रियाशीलता का क्रम 1° > 2° > 3° है, इसलिए दिए गए
ऐल्किल ब्रोमाइडों की अभिक्रियाशीलता का क्रम निम्न प्रकार होगा –
1-ब्रोमो-3-मेथिलब्यूटेन > 3-ब्रोमो-2-मेथिलब्यूटेन > 2-ब्रोमो-2-मेथिलब्यूटैन

चूँकि 1° ऐल्किल हैलाइडों की स्थिति में त्रिविम अवरोध इस प्रकार बढ़ता है –
n – ऐल्किल हैलाइड, β – स्थिति से अन्य किसी स्थिति पर प्रतिस्थापीयुक्त ऐल्किल हैलाइड, β – स्थिति पर एक प्रतिस्थापी, β – स्थिति पर दो प्रतिस्थापी। इसलिए अभिक्रियाशीलता भी इसी क्रम में घटेगी। अतः दिए गए ऐल्किल ब्रोमाइडों की अभिक्रियाशीलता का क्रम इस प्रकार होगा –
1-ब्रोमोब्यूटेन > 1-ब्रोमो-3-मेथिलब्यूटेन > 1-ब्रोमो-2-मेथिलब्यूटेन > 1-ब्रोमो-2, 2-डाइमेथिलप्रोपेन
![]()
प्रश्न 10.17
C6H5CH2Cl तथा C6H5CHClC6H5 में से कौन-सा यौगिक जलीय KOH से शीघ्रता से जल-अपघटित होगा?
उत्तर:
C6H5CH2Cl एक 1° ऐरिलऐल्किल हैलाइड है तथा C6H5CHClC6H5 एक 2° ऐरिलऐल्किल हैलाइड है। SN1 अभिक्रियाओं में क्रियाशीलता कार्बोकैटायनों के स्थायित्व पर निर्भर करती है।
चूंकि C6H5 – C6H5ClC6H5 SN1 से व्युत्पन्न कार्बोकेटायन C6H5CH2Cl से अधिक स्थायी होता है, अत: C6H5CH2Cl परिस्थितियों के अन्तर्गत C6H5CH2Cl की तुलना में अधिक सरलता से जल-अपघटित होता है।

चूँकि SN2 के अन्तर्गत त्रिविम अवरोध निर्भर करती है, अतः SN2 के अन्तर्गत C6H5CH2Cl का जल अपघटन C6H5CHClC6H5 से अधिक आसानी से हो जाता है।
प्रश्न 10.18
0 – तथा m – समावयवियों की तुलना में p – डाइक्लोरोबेन्जीन का गलनांक उच्च होती है, विवेचना कीजिए।
उत्तर:
p – समावयव की संरचना समितकार होती है। इसके फलस्वरूप ये अण ठोस अवस्था में संगत o – तथा m – समावयवों की तुलना में अधिक निविड संकुलित (closely packed) होते हैं। आकर्षण बल अधिक होने के कारण इन का गलनांक 0-तथा m-डाइक्लोरो बेन्जीन की तुलना में उच्च होता है।
![]()
प्रश्न 10.19
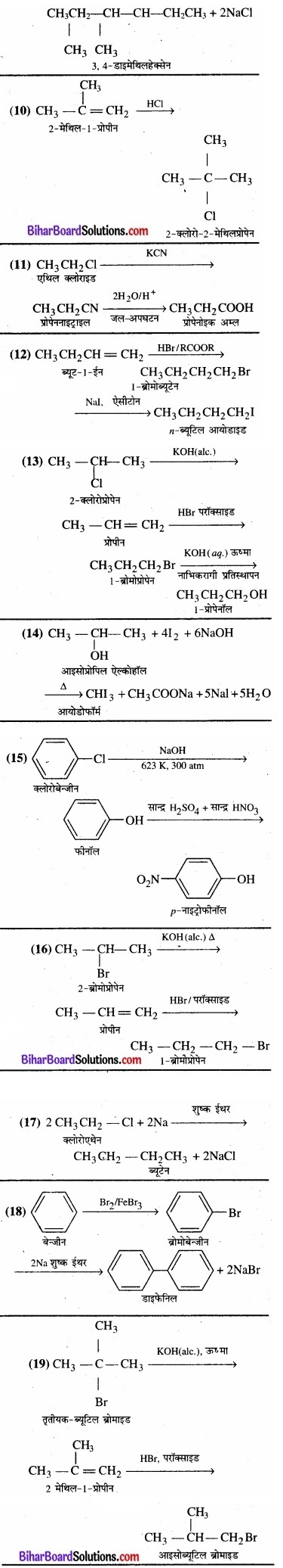
निम्नलिखित परिवर्तन कैसे सम्पन्न किए. जा सकते हैं?
- प्रोपीन से प्रोपेन-1-ऑल
- एथेनॉल से ब्यूट-1-आइन
- 1-ब्रेमोप्रोपेन से 2-ब्रोमोप्रोपेन
- टॉलूईन से बेन्जिल ऐल्कोहॉल
- बेन्जीन से 4-ब्रोमोनाइट्रोबेन्जीन
- बेन्जिल ऐल्कोहॉल से 2-फेनिल एथेनोइक अम्ल
- एथेनॉल से प्रोपेन नाइट्राइल
- ऐनिलील में क्लोरोबेन्जीन
- 2-क्लोरोब्यूटेन से 3, 4-डाइमेथिलहेक्सेन
- 2-मेथिल-1-प्रोपीन से 2-क्लोरो- 2-मेथिलप्रोपेन
- एथिल क्लोराइड से प्रोपेनोइक अम्ल
- ब्यूट-1-ईन से n-ब्यूटिल आयोडाइड
- 2-क्लोरोप्रोपेन से 1-प्रोपेनॉल
- आइसोप्रोपिल ऐल्कोहॉल से आयोडोफॉर्म
- क्लोरोबेन्जीन से p-नाइट्रोफीनॉल
- 2-ब्रोमोप्रोपेन से 1-ब्रोमोप्रोपेन
- क्लोरोएथेन से ब्यूटेन
- बेन्जीन से डाइफेनिल
- तृतीयक-ब्यूटिल ब्रोमाइड से आइसो-ब्यूटिल ब्रोमाइड
- ऐनिलीन से फेनिलआइसोसायनाइड।
उत्तर:



![]()
प्रश्न 10.20
ऐल्किल क्लोराइड की जलीय KOH से अभिक्रिया द्वारा ऐल्कोहॉल बनता है, लेकिन ऐल्कोहॉलिक KOH की उपस्थिति में ऐल्कीन मुख्य उत्पाद के रूप में प्राप्त होती है। समझाइए।
उत्तर:
जलीय विलयन में KOH आयनित होकर OH– आयन देता है जो प्रबल नाभिरागी होने के कारण ऐल्किल हैलाइडों पर प्रतिस्थापन द्वारा ऐल्कोहॉल बनाते हैं जबकि KOH के ऐल्कोहॉलीय विलयन में ऐल्कॉक्साइड (RO–) आयन हैं जो OH– प्रबल क्षारीय होने के कारण ऐल्किल क्लोराइड से ऐल्कीन बनाते हैं।
प्रश्न 10.21
प्राथमिक ऐल्किल हैलाइड C4H9Br
(क), ऐल्कोहॉलिक KOH में अभिक्रिया द्वारा यौगिक
(ख) देता है। यौगिक ‘ख’ HBr के साथ अभिक्रिया से यौगिक ‘ग’ देता है जो कि यौगिक ‘क’ का समावयवी है। जब यौगिक’क’ की अभिक्रिया सोडियम धातु से होती है तो यौगिक ‘घ’ C8H18 बनता है, जोकि ब्यूटिल ब्रोमाइड की सोडियम से अभिक्रिया द्वारा बने उत्पाद से भिन्न है। यौगिक ‘क’ का संरचना सूत्र दीजिए तथा सभी अभिक्रियाओं की समीकरण दीजिए।
उत्तर:
आण्विक सूत्र C4H9Br दो प्राथमिक हैलाइड निम्नलिखित हो सकते हैं –

अतः यौगिक (क) या तो n – ब्यूटिल क्लोराइड है या आइसोब्यूटिल क्लोराइड। चूँकि यौगिक ‘क’ की अभिक्रिया सोडियम धातु से होने पर यौगिक ‘घ’ (आण्विक सूत्र C8H18) होता है जो कि n – ब्यूटिल ब्रोमाइड की अभिक्रिया सोडियम धातु से होने पर प्राप्त यौगिक से भिन्न है, इस यौगिक ‘क’ आइसोब्यूटिल क्लोराइड होना चाहिए तथा यौगिक ‘घ’ 2, 5 – डाइमेथिलहेक्सेन होना चाहिए।

अब यदि यौगिक ‘क’ आइसोब्यूटिल क्लोराइड है तो यौगिक ‘ख’, जो यौगिक ‘क’ की ऐल्कोहॉलिक KOH से अभिक्रिया द्वारा प्राप्त होता है, 2-मेथिल-1-प्रोपीन होना चाहिए।

यौगिक ‘ख’ HBr के साथ अभिक्रिया से मार्कोनीकॉफ नियम के अनुसार यौगिक ‘ग’ देता है। इसीलिए यौगिक ‘ग’ तृतीयक-ब्यूटिल ब्रोमाइड है जो यौगिक ‘क’ (आइसोब्यूटिल ब्रोमाइड) का एक समावयव है।

इस प्रकार,
‘क’ आइसोब्यूटिल क्लोराइड,
‘ख’ 2-मेथिल-1-प्रोपीन,
‘ग’ तृतीयक-ब्यूटिल ब्रोमाइड
‘घ’ 2, 5-डाइमेथिलहेक्सेन है।
![]()
प्रश्न 10.22
तब क्या होता है जब:
- n-ब्यूटिल क्लोराइड को ऐल्कोहॉलिक KOH के साथ अभिकृत किया जाता है?
- शुष्क ईथर की उपस्थिति में ब्रोमोबेन्जीन की अभिक्रिया मैग्नीशियम से होती है?
- क्लोरोबेन्जीन का जल-अपघटन किया जाता है?
- एथिल क्लोराइड की अभिक्रिया जलीय KOH से होती है?
- शुष्क ईथर की उपस्थिति में मेथिल ब्रोमाइड की अभिक्रिया सोडियम से होती है?
- मेथिल क्लोराइड की अभिक्रिया KCN से होती है?
उत्तर:
1. ब्यूट-1-इन बनता है।

2. फेनिल मैग्नीशियम ब्रोमाइड (ग्रिगनार्ड अभिकर्मक बनता है)

3. फिनॉल बनता है।

4. एथिल ऐल्कोहॉल बनता है।

5. वु अभिक्रिया के फलस्वरूप एथेन बनता है।

6. मेथिल सायनाइड बनता है।
