Bihar Board Class 12 Chemistry Solutions Chapter 4 रासायनिक बलगतिकी

Bihar Board Class 12 Chemistry Solutions Chapter 4 रासायनिक बलगतिकी Textbook Questions and Answers, Additional Important Questions, Notes.

BSEB Bihar Board Class 12 Chemistry Solutions Chapter 4 रासायनिक बलगतिकी

Bihar Board Class 12 Chemistry रासायनिक बलगतिकी Text Book Questions and Answers

पाठ्यनिहित प्रश्न एवं उनके उत्तर

प्रश्न 4.1
R → P, अभिक्रिया के लिए अभिकारक की सान्द्रता 0.03 M से 25 मिनट में परिवर्तित होकर 0.02 M हो जाती है। औसत वेग की गणना सेकण्ड तथा मिनट दोनों इकाइयों में कीजिए।
गणना:
BIhar Board Class 12 Chemistry Chapter 4 रासायनिक बलगतिकी
दिया है,
R2 = 0.02 M; R1 = 0.03 M
t2 – t1 = 25 min
अतः औसत वेग = \(\frac{0.02 M – 0.03 M}{25 min}\)
= \(\frac{-0.01 M}{25 min}\)
= 4 × 10-4 M min-1
= 6.66 × 10-6 Ms-1

Bihar Board Class 12 Chemistry Solutions Chapter 4 रासायनिक बलगतिकी

प्रश्न 4.2
2A → उत्पाद, अभिक्रिया में A की सान्द्रता 10 मिनट में 0.5 mol L-1 से घटकर 0.4 mol L-1 रह जाती है। इस समयान्तराल के लिए अभिक्रिया वेग की गणना कीजिए।
गणना:
अभिक्रिया वेग = A के ह्रास होने का वेग
BIhar Board Class 12 Chemistry Chapter 4 रासायनिक बलगतिकी
= 0.005 mol L-1 min-1

प्रश्न 4.3
एक अभिक्रिया A + B → उत्पाद के लिए वेग नियमा = k[A]1/2 [B]2 से दिया गया है। अभिक्रिया की कोटि क्या है?
हल:
r = k [A]1/2B2
∵ अभिक्रिया की कोटि = \(\frac{1}{2}\) + 2 = 2 \(\frac{1}{2}\)

प्रश्न 4.4
अणु X का Y के रूपान्तरण द्वितीय कोटि की बलगतिका के अनुरूप होता है। यदि x की सान्द्रता तीन गुनी कर दी जाये तो Y का निर्माण होने के वेग पर क्या प्रभाव पड़ेगा?
उत्तर:
∵ अणु X का Y में रूपान्तरण द्वितीय कोटि की बलगति के अनुरूप होता है।
∴ अभिक्रिया का वेग = k[x]2 ……………….. (i)
∵ X की सान्द्रता तीन गुनी कर दी जाती है,
∴ अभिक्रिया की कोटि = k[3X]2
= 9k[X]2
समी० (i) तथा (ii) से स्पष्ट है X की सान्द्रता तीन गुनी करने पर Y के निर्माण का वेग नौ गुना हो जायेगा।

प्रश्न 4.5
एक प्रथम कोटि की अभिक्रिया का वेग स्थिरांक 1.15 × 10-3s-1 है। इस अभिक्रिया में अभिकारक की 5g मात्रा को घटकर 3g होने में कितना समय लगेगा?
हल:
प्रश्नानुसार, अभिकारक की प्रारम्भिक मात्रा [A]0 = 5g
अभिकारक की अन्तिम मात्रा [A] = 3g
तथा वेग स्थिरांक (k) = 1.15 × 10-3s-1
प्रथम कोटि की अभिक्रिया के लिए
BIhar Board Class 12 Chemistry Chapter 4 रासायनिक बलगतिकी
= 2.0 × 103 log \(\frac{10}{6}\)
= 2.0 × 103 [log 10 – log 2 – log 3]
= 2.0 × 103 [1 – 3010 – 4.771]
= 2.0 × 103 × 0.2219
= 443.8 ≅ 444s

Bihar Board Class 12 Chemistry Solutions Chapter 4 रासायनिक बलगतिकी

प्रश्न 4.6
SO2Cl2 को अपनी प्रारम्भिक मात्रा से आधी मात्रा में वियोजन होने में 60 मिनट का समय लगता है। यदि अभिक्रिया प्रथम कोटि की हो तो वेग स्थिरांक की गणना कीजिए।
गणना:
हम जानते हैं कि प्रथम कोटि अभिक्रिया के लिए,
k = \(\frac{0.693}{t_{1 / 2}}\)
= \(\frac{0.693}{(60×60 से०)}\)
(∵ t1/2 = 60 मिनट = 60 × 60 से०
= 1.925 × 10-4 प्रति से०

प्रश्न 4.7
ताप का वेग स्थिरांक पर क्या प्रभाव होगा?
उत्तर:
किसी रासायनिक अभिक्रिया में 10° ताप वृद्धि से वेग स्थिरांक में लगभग दुगनी वृद्धि होती है। वेग स्थिरांक की ताप की निर्भरता की व्याख्या आरेनियस समीकरण
k = Ae-Ea/RT
से भली-भाँति की जा सकती है।
जहाँ A = आरेनियस गुणांक अथवा आवृति गुणांक
R = गैस नियतांक,
Ea = सक्रिय ऊर्जा।

प्रश्न 4.8
परमताप, 298 K में 10 K की वृद्धि होने पर रासायनिक अभिक्रिया का वेग दुगुना हो जाता है। इस अभिक्रिया के लिए Ea की गणना कीजिए।
गणना:
BIhar Board Class 12 Chemistry Chapter 4 रासायनिक बलगतिकी
= 52898 J mol-1
= 52.9 KJ mol-1

Bihar Board Class 12 Chemistry Solutions Chapter 4 रासायनिक बलगतिकी

प्रश्न 4.9
581 K ताप पर अभिक्रिया 2 HI(g) → H2(g) + I2 (g) के लिए सक्रियण ऊर्जा का मान 209.5 kJ mol-1 है। अणुओं के उस अंश की गणना कीजिए जिसका ऊर्जा सक्रियण ऊर्जा के बराबर अथवा इससे अधिक है।
हल:
सक्रियण ऊर्जा से अधिक या बराबर ऊर्जा वाले अणुओं का अंश
BIhar Board Class 12 Chemistry Chapter 4 रासायनिक बलगतिकी
= – 18.8323
∴ x = – 2.303 RT
= Antilog \(\bar{19}\).1677
= 1.471 × 10-19

Bihar Board Class 12 Chemistry रासायनिक बलगतिकी Additional Important Questions and Answers

अभ्यास के प्रश्न एवं उनके उत्तर

प्रश्न 4.1
निम्नलिखित अभिक्रियाओं के वेग व्यंजकों से इनकी अभिक्रिया कोटि तथा वेग स्थिरांकों की इकाइयाँ ज्ञात कीजिए –

  1. 3NO(g) → N2O(g) + NO2 (g) वेग = k [NO]2
  2. H2O2 (aq) + 3I (aq) + 2H+ → 2H2O(l) + I3 वेग = k [H2O2] [I]
  3. CH3CHO (g) → CH4 (g) + CO (g) वेग = k[CH3CHO]3/2
  4. C2H5Cl(g) → C2H4 (g) + HCl (g) वेग = k[C2H5Cl]

उत्तर:
1. 3NO(g) → N2O(g) + NO2 (g) वेग = k [NO]2
अभिकारक NO की कोटि = 2
अभिक्रिया कोटि = 2 वेग
स्थिरांक (k) की इकाई
BIhar Board Class 12 Chemistry Chapter 4 रासायनिक बलगतिकी
= L mol-1 s-1

2. H2O2 (aq) + 3I (aq) + 2H+ → 2H2O(l) + I3 वेग = k [[H2O2] [I]
अभिक्रिया की कोटि = अभिकारक (H2O2) की कोटि + अभिकारक (I) की कोटि।
= 1 + 1
= 2
वेग स्थिरांक (k) की इकाई
BIhar Board Class 12 Chemistry Chapter 4 रासायनिक बलगतिकी
= L mol-1s-1

3. CH3CHO (g) → CH4 (g) + CO(g)
वेग = k [CH3CHO]3/2
अभिक्रिया की कोटि = \(\frac{3}{2}\)
वेग स्थिरांक (k) की इकाई
BIhar Board Class 12 Chemistry Chapter 4 रासायनिक बलगतिकी
अभिक्रिया कोटि = 1
वेग स्थिरांक (k) की इकाई
BIhar Board Class 12 Chemistry Chapter 4 रासायनिक बलगतिकी
= s-1

Bihar Board Class 12 Chemistry Solutions Chapter 4 रासायनिक बलगतिकी

प्रश्न 4.2
अभिक्रिया 2A + B → A2B के लिए वेग = k [A][B]2 यहाँ k का मान 2.0 × 10-6 mol-2L2s-1 है। प्रारम्भिक वेग की गणना कीजिए; जब [A] = 0.1mol L-1 एवं [B] = 0.2 molL-1 हो तथा अभिक्रिया वेग की गणना कीजिए; जब [A] घटकर 0.06 mol L-1 रह जाए।
गणना:
प्रश्नानुसार [A] = 0.1 mol L-1
तथा [B] = 0.2 mol
L-1 तथा k = 0.2 mol-1 L2 s-1
प्रारम्भिक वेग = k [A] [B]
= 2.0 × 10-6 mol-2 L2 s-1)
(0.1 mol L-1) (0.2 mol L-1)2
= 8.0 × 10-9 mol L-1s-1
जब [A] 0.10 mol L-1 से घटकर 0.06 mol L-1 रह जाता है अर्थात् 0.04 mol L-1 A
अभिकृत हो जाता है तब अभिकृत [B] = \(\frac{1}{2}\) × 0.04 mol L-1
= 0.02 mol L-1
∴ [B] = 0.2 – 0.02 = 0.18 mol L-1
अतः वेग = (2.0 × 10-6 mol-2 L-2 s-1)
(0.06 mol L-1) (0.18mol L-1)2
= 3.89 × 109 mol L-1L-1s-1

Bihar Board Class 12 Chemistry Solutions Chapter 4 रासायनिक बलगतिकी

प्रश्न 4.3
प्लैटिनम सतह पर NH3 का अपघटन शून्य कोटि की अभिक्रिया है। N2 एवं H2 के उत्पादन की दर क्या होगी जबk का मान 2.5 × 10-4 mol L-1 s-1 हो?
हल:
प्लैटिनम की सतह पर अमोनिया का अपघटन निम्न प्रकार से है –
NH3 → \(\frac{1}{2}\)N2 + \(\frac{3}{2}\) H2
BIhar Board Class 12 Chemistry Chapter 4 रासायनिक बलगतिकी
∵ शून्य कोटि अभिक्रिया के लिए, वेग = k
BIhar Board Class 12 Chemistry Chapter 4 रासायनिक बलगतिकी
= 2.5 × 10-4 mol L-1s-1

प्रश्न 4.4
डाइमेथिल ईथर के अपघटन से CH4, H2 तथा CO बनते हैं। इस अभिक्रिया का वेग निम्न समीकरण द्वारा दिया जाता है –
वेग = k [CH3OCH3]3/2
अभिक्रिया के वेग का अनुगमन बन्द पात्र में बढ़ते दाब द्वारा किया जाता है, अत: वेग समीकरण को डाइमेथिल ईथर के आंशिक दाब के पद में भी दिया जा सकता है।
अतः वेग = k (PCH3OCH3)3/2\
यदि दाब को bar में तथा समय को मिनट में मापा जाये तो अभिक्रिया के वेग एवं वेग स्थिरांक की इकाइयाँ क्या होंगी?
उत्तर:
वेग की दाब के पदों की इकाई = bar min-1
BIhar Board Class 12 Chemistry Chapter 4 रासायनिक बलगतिकी

प्रश्न 4.5
रासायनिक अभिक्रिया के वेग पर प्रभाव डालने वाले कारकों का उल्लेख कीजिए।
उत्तरः
अभिक्रिया के वेग को प्रभावित करने वाले कारक:

1. सान्द्रण का प्रभाव:
निश्चित ताप पर अभिकारकों की सान्द्रता बढ़ाने से अभिक्रिया का वेग बढ़ता है क्योंकि अभिकारक अणुओं का सान्द्रण बढ़ जाने से अणुओं के मध्य कारकों की संख्या बढ़ जाती है।

2. ताप का प्रभाव:
ताप की वृद्धि से सक्रिय अणुओं तथा प्रभावी टक्करों की संख्या बढ़ जाती है, जिससे अभिक्रिया का वेग बढ़ जाता है।

3. दाब का प्रभाव:
दाब बढ़ने से गैसीय अणु निकट आ जाते हैं, जिससे उनके परस्पर टकराने की सम्भावना बढ़ जाती है अर्थात् वेग बढ़ जाता है।

4. उत्प्रेरक का प्रभाव:
उत्प्रेरक अभिक्रिया की सक्रियण ऊर्जा (Ea) का मान कम कर देता है जिससे सक्रिय अणुओं की संख्या बढ़ जाती है, अत: उत्प्रेरक की उपस्थिति में अभिक्रिया का वेग बढ़ जाता है।

5. अभिकारकों के पृष्ठ क्षेत्रफल का प्रभाव:
अभिकारक अणुओं का पृष्ठ क्षेत्रफल अधिक होने पर अभिक्रिया का वेग अधिक होता है।

6. अभिकारकों की प्रकृति का प्रभाव:
यदि अभिकारक आयनिक है, तो अभिक्रिया का वेग अधिक होगा।

7. प्रकाश का प्रभाव:
प्रकाश की उपस्थिति में अभिक्रिया का वेग बढ़ जाता है।

Bihar Board Class 12 Chemistry Solutions Chapter 4 रासायनिक बलगतिकी

प्रश्न 4.6
किसी अभिकारक के लिए एक अभिक्रिया द्वितीय कोटि की है। अभिक्रिया का वेग कैसे प्रभावित होगा; यदि अभिकारक की सान्द्रता –

  1. दुगनी कर दी जाए
  2. आधी कर दी जाए?

उत्तर:
वेग = k [A]2 = ka2
1. ∵ [A] = 2a
∴ वेग = k(2a)2 = 4k2 = चार गुना

2. ∵A = \(\frac{1}{2}\) a
∴ वेग = k\(\frac{a}{2}\)2 = \(\frac{1}{4}\)2 = एक चौथाई

प्रश्न 7.
वेग स्थिरांक पर ताप का क्या प्रभाव पड़ता है? ताप के इस प्रभाव को मात्रात्मक रूप में कैसे प्रदर्शित कर सकते हैं?
उत्तर:
किसी रासायनिक अभिक्रिया में 10°C ताप – वृद्धि से वेग स्थिरांक में लगभग दुगुनी वृद्धि होती है। वेग स्थिरांक की ताप पर निर्भरता की मात्रात्मक रूप में व्याख्या आरेनिअस समीकरण से भली-भाँति की जा सकती है। इसके अनुसार,
k = AeEa/RT

प्रश्न 4.8
जल में एस्टर के छदम प्रथम कोटि के जल-अपघटन के निम्नलिखित आँकड़े प्राप्त हुए –
BIhar Board Class 12 Chemistry Chapter 4 रासायनिक बलगतिकी

  1. 30 से 60 सेकण्ड समय अन्तराल में औसत वेग की गणना कीजिए।
  2. एस्टर के जल-अपघटन के लिए छद्म प्रथम कोटि अभिक्रिया वेग स्थिरांक की गणना कीजिए।

उत्तर:
1. t1 से t2 सेकण्ड समय अन्तराल में औसत वेग
= \(\frac{C_{2}-C_{1}}{t_{2}-t_{1}}\)
∴ 30 से 60 s समय-अन्तराल में औसत वेग
= \(\frac{0.31-0.17}{60-30}\) = \(\frac{0.14}{30}\)
= 4.67 × 10-3 molL-1s-1

2. ∵ छद्म प्रथम कोटि अभिक्रिया वेग स्थिरांक
BIhar Board Class 12 Chemistry Chapter 4 रासायनिक बलगतिकी
= 1.98 × 10-2 s-1

Bihar Board Class 12 Chemistry Solutions Chapter 4 रासायनिक बलगतिकी

प्रश्न 4.9
एक अभिक्रिया A के प्रति प्रथम तथा B के प्रति द्वितीय कोटि की है।

  1. अवकल वेग समीकरण लिखिए।
  2. B की सान्द्रता तीन गुनी करने से वेग पर क्या प्रभाव पड़ेगा?
  3. A तथा B दोनों की सान्द्रता दुगनी करने से वेग पर क्या प्रभाव पड़ेगा?

उत्तर:
1. अवकल वेग समीकरण निम्नलिखित है –
\(\frac{dx}{dt}\) = k [A] [B]2

2. माना A की सान्द्रता a तथा B की सान्द्रता b है, तब
वेग = k ab2
B की सान्द्रता तीन गुनी कर देने पर,
वेग = ka(3b)2
= 9k ab2
= 9 गुना

3. [A] तथा [B] दोनों की सान्द्रता दुगनी करने पर
वेग = k(2a) (2b)2
= 8k ab2
= 8 गुना

प्रश्न 4.10
A और B के मध्य अभिक्रिया में A और B की विभिन्न प्रारम्भिक सान्द्रताओं के लिए प्रारम्भिक वेग (r0) नीचे दिए गए हैं। A और B के प्रति अभिक्रिया की कोटि क्या है?
BIhar Board Class 12 Chemistry Chapter 4 रासायनिक बलगतिकी
हल:
माना A की कोटि m तथा B की कोटि n है। तब हम जानते हैं कि –
प्रारम्भिक वेग (r0) = [A]m [B]n
उपर्युक्त तालिका से
(r0)1 = 5.07 × 10-5 = (0.20)m (0.30)n ……………….. (i)
(r0)2 = 5.07 × 10-5 = (0.20)m (010)n …………………. (ii)
(r0)3 = 14.3 × 10-5 = (0.40)m (0.05)n …………………….. (iii)
समीकरण (i) को समीकरण (ii) से भाग देने पर –
BIhar Board Class 12 Chemistry Chapter 4 रासायनिक बलगतिकी
अतः A के प्रति अभिक्रिया की कोटि (m) = 0.5
B के प्रति अभिक्रिया की कोटि (n) = 0

Bihar Board Class 12 Chemistry Solutions Chapter 4 रासायनिक बलगतिकी

प्रश्न 4.11
2A + B → C + D अभिक्रिया की बलगतिकी अध्ययन करने पर निम्नलिखित परिणाम प्राप्त हुए। अभिक्रिया के लिए वेग नियम तथा वेग स्थिरांक ज्ञात कीजिए।
BIhar Board Class 12 Chemistry Chapter 4 रासायनिक बलगतिकी
हल:
माना A की कोटि m तथा B की कोटि n है। तब
वेग = k [A]m [B]n
उपर्युक्त तालिका से
6.0 × 10-3 = k (0.1)m (0.1)n ………………… (1)
7.2 × 10-2 = k (0.3)m (0. 2)n ………………… (2)
2.88 × 10-1 = k (0.3)m (0.4)n ……………………. (3)
2.40 × 10-2 = k (0.4)m (0.1)n
समीकरण (1) को समीकरण (4) से भाग देने पर,
BIhar Board Class 12 Chemistry Chapter 4 रासायनिक बलगतिकी
अब समीकरण (2) को समीकरण (3) से भाग देने पर,
BIhar Board Class 12 Chemistry Chapter 4 रासायनिक बलगतिकी
∴ वेग नियम = k [A] [B]2
वेग स्थिरांक की गणना
∵ वेग = k [A]m [B]n
BIhar Board Class 12 Chemistry Chapter 4 रासायनिक बलगतिकी
प्रश्न में दी गई तालिका से,
BIhar Board Class 12 Chemistry Chapter 4 रासायनिक बलगतिकी
∴ वेग स्थिरांक = 6.0 mol-2L2 min-1

Bihar Board Class 12 Chemistry Solutions Chapter 4 रासायनिक बलगतिकी

प्रश्न 4.12
A तथा B के मध्य अभिक्रिया A के प्रति प्रथम तथा B के प्रति शून्य कोटि की है। निम्न तालिका में रिक्त स्थान भरिए।
BIhar Board Class 12 Chemistry Chapter 4 रासायनिक बलगतिकी
हल:
वेग = k [A]1 [B]0 = k [A]
प्रयोग I के लिए: 2.0 × 10-2 mol L-1 min-1 = k(0.1 M)
k = 0.2 min-1

प्रयोग II के लिए:
4.0 × 10-2 mol L-1 min-1
= (0.2 min-1) [A]
या [A] = 0.2 min-1

प्रयोग III के लिए: वेग
= (0. 2 min-1) (0.4 mol L-1)
= 0.08 mol L-1 min-1

प्रयोग IV के लिए:
2.0 × 10-2 mol L-1 min-1
= 0.2 min-1 [A]
या [A] = 0.1mol L-1

Bihar Board Class 12 Chemistry Solutions Chapter 4 रासायनिक बलगतिकी

प्रश्न 4.13
नीचे दी गई प्रथम कोटि की अभिक्रियाओं के वेग स्थिरांक से अर्द्ध-आयु की गणना कीजिए –

  1. 200 s-1
  2. 2 min-1
  3. 4 year-1

गणना:
प्रथम कोटि अभिक्रिया की अर्द्ध-आयु (t1/2) तथा वेग स्थिरांक (K) में निम्न सम्बन्ध हैं –
t1/2 = \(\frac{0.693}{k}\)

1. t1/2 = \(\frac{0.693}{200 s^{-1}}\)
= 34.6 × 10-3 s

2. t1/2 = \(\frac{0.693}{2 min ^{-1}}\)
= 34.6 × 10-1 s

3. t1/2 = \(\frac{0 \cdot 693}{4 \text { year }^{-1}}\)
= 1.73 × 10-1 year

प्रश्न 4.14
14 C के रेडियोएक्टिव क्षय की अर्द्ध-आयु 5730 वर्ष है। एक पुरातत्व कलाकृति की लकड़ी में, जीवित वृक्ष की लकड़ी की तुलना में 80% 14 C की मात्रा है। नमूने की आयु का परिकलन कीजिए।
हल:
क्षय नियतांक (k) = \(\frac{0.693}{t_{1 / 2}}\)
= \(\frac{0.693}{5730}\) प्रतिवर्ष
अब t = \(\frac{2.303}{k}\) log \(\frac{[\mathrm{A}]_{0}}{[\mathrm{A}]}\)
BIhar Board Class 12 Chemistry Chapter 4 रासायनिक बलगतिकी
= 1845 वर्ष

Bihar Board Class 12 Chemistry Solutions Chapter 4 रासायनिक बलगतिकी

प्रश्न 4.15
गैस प्रावस्था में 318 K पर N2O5 के अपघटन की [2N2O5 → 4NO2 + O2] अभिक्रिया के आँकड़े नीचे दिए गए हैं –
BIhar Board Class 12 Chemistry Chapter 4 रासायनिक बलगतिकी

  1. [N2O5] एवं t के मध्य आलेख खींचिए।
  2. अभिक्रिया के लिए अर्द्ध-आयु की गणना कीजिए।
  3. log [N2O5] एवं t के मध्य ग्राफ खींचिए।
  4. अभिक्रिया के लिए वेग नियम क्या है?
  5. वेग स्थिरांक की गणना कीजिए।
  6. k की सहायता से अर्द्ध-आयु की गणना कीजिए तथा इसकी तुलना (ii) से कीजिए।

गणना:
BIhar Board Class 12 Chemistry Chapter 4 रासायनिक बलगतिकी

1. [N2O5] तथा समय (t) के मध्य आलेख
BIhar Board Class 12 Chemistry Chapter 4 रासायनिक बलगतिकी

2. [N2O5] का प्रारम्भिक सान्द्रण
= 1.63 × 10-2 M
इस सान्द्रण का आधा = 0.815 × 10-2 M
इस सान्द्र से सम्बन्धित समय = 1440 s
अतः t1/2 = 1440 s

3. log [N2O5] तथा t के मध्य ग्राफ –
BIhar Board Class 12 Chemistry Chapter 4 रासायनिक बलगतिकी

4. चूँकि log [N2O5] तथा समय (t) के मध्य ग्राफ एक सरल रेखा है; अत: यह एक प्रथम कोटि अभिक्रिया है;
अतः वेग नियम है –
वेग = k [N2O5]

5. रेखा की ढाल = – \(\frac{k}{2.303}\)
BIhar Board Class 12 Chemistry Chapter 4 रासायनिक बलगतिकी

6.
BIhar Board Class 12 Chemistry Chapter 4 रासायनिक बलगतिकी
जबकि (ii) में अर्द्ध-आयु 1440 s है।

Bihar Board Class 12 Chemistry Solutions Chapter 4 रासायनिक बलगतिकी

प्रश्न 4.16
प्रथम कोटि की अभिक्रिया के लिए वेग स्थिरांक 60s-1 है। अभिक्रिया को अपनी प्रारम्भिक सान्द्रता \(\frac{1}{16}\) वाँ भाग रह जाने में कितना समय लगेगा?
हल:
प्रथम कोटि अभिक्रिया के लिए,
t = \(\frac{2.303}{k}\) log \(\frac{[\mathrm{A}]_{0}}{[\mathrm{A}]}\)
यदि प्रारम्भिक सान्द्रता R0 हो तो
BIhar Board Class 12 Chemistry Chapter 4 रासायनिक बलगतिकी

प्रश्न 4.17
नाभिकीय विस्फोट का 28.1 वर्ष अर्द्ध-आयु वाला एक उत्पाद 90Sr होता है। यदि कैल्सियम के स्थान पर lµg, 90Sr नवजात शिशु की अस्थियों में अवशोषित हो जाए और उपापचयन से ह्रास न हो तो इसकी 10 वर्ष एवं 60 वर्ष पश्चात् कितनी मात्रा रह जाएगी?
हल:
रेडियोऐक्टिव क्षय प्रथम कोटि बलगतिकी का अनुसरण करता है।
90 sr का क्षय नियतांक (k) = \(\frac{0 \cdot 693}{t_{1 / 2}}\)
BIhar Board Class 12 Chemistry Chapter 4 रासायनिक बलगतिकी
= 2.446 × 10-2 प्रतिवर्ष
प्रश्नानुसार,
a = 1µg, = 10 वर्ष, k = 2.466 × 10-2 प्रतिवर्ष-1
∴k = \(\frac{2.303}{t}\) log \(\frac{a}{a-k}\) ……………. (i)
या 2.466 × 10-2 = \(\frac{2.303}{10}\) log \(\frac{1}{(a-x)}\)
या 2.466 × 10-2 = 2.2303 [log1 – log (a – x)]
या 2.466 × 10-2 = -0.2303 log (a – x)
या log (a – x) = \(\frac{2.466 \times 10^{-2}}{0.2303}\)
= – 01071
या 10 वर्ष पश्चात शेष मात्रा (a – x)
Antilog \(\bar{1}\).8929 = 0.7814 µg
अब 60 वर्ष पश्चात् शेष मात्रा के लिए
BIhar Board Class 12 Chemistry Chapter 4 रासायनिक बलगतिकी
या (a – x) = Antilog \(\bar{1}\).3575 = 0.2278 µg
अतः 60 वर्ष पश्चात् शेष मात्रा = 0.2278 µg.

Bihar Board Class 12 Chemistry Solutions Chapter 4 रासायनिक बलगतिकी

प्रश्न 4.18
दर्शाइए कि प्रथम कोटि की अभिक्रिया में 99% अभिक्रिया पूर्ण होने में लगा समय 90% अभिक्रिया पूर्ण होने में लगने वाले समय से दुगना होता है।
हल:
प्रथम कोटि अभिक्रिया के लिए,
t = \(\frac{2.303}{k}\) log \(\frac{a}{a-x}\)
∴ x = a का 99% = 0.99a
BIhar Board Class 12 Chemistry Chapter 4 रासायनिक बलगतिकी
अब x = a का 90% = 0.90a
BIhar Board Class 12 Chemistry Chapter 4 रासायनिक बलगतिकी
समीकरण (i) को (ii) से भाग देने पर,
BIhar Board Class 12 Chemistry Chapter 4 रासायनिक बलगतिकी
अतः 99% अभिक्रिया पूर्ण होने में लगा समय 90% अभिक्रिया पूर्ण होने में लगने वाला समय का दुगना है।

प्रश्न 4.19
एक प्रथम कोटि की अभिक्रिया में 30% वियोजन होने में 40 मिनट लगते हैं। t1/2 की गणना कीजिए।
गणना:
∵ वियोजन 30% होता है।
∴ x = a का 30%
= 0.30 a
प्रथम कोटि अभिक्रिया के लिए,
BIhar Board Class 12 Chemistry Chapter 4 रासायनिक बलगतिकी
= 77.7 min

प्रश्न 4.20
543 K ताप पर एजोआइसोप्रोपेन के हेक्सेन तथा नाइट्रोजन में विघटन के निम्न आँकड़े प्राप्त हुए। वेग स्थिरांक की गणना कीजिए।
BIhar Board Class 12 Chemistry Chapter 4 रासायनिक बलगतिकी
गणना:
अभिक्रिया का समीकरण निम्नवत् है –
BIhar Board Class 12 Chemistry Chapter 4 रासायनिक बलगतिकी
∵ एजोआइसोप्रोपेन का विघटन एक प्रथम कोटि अभिक्रिया है –
BIhar Board Class 12 Chemistry Chapter 4 रासायनिक बलगतिकी

Bihar Board Class 12 Chemistry Solutions Chapter 4 रासायनिक बलगतिकी

प्रश्न 4.21
स्थिर आयतन पर, SO2Cl2 के प्रथम कोटि के ताप अपघटन पर निम्न आँकड़े हुए –
SO2Cl2(g) → S02 (g) + Cl2 (g)
अभिक्रिया वेग की गणना कीजिए जब कुल दाब 0.65 atm हो।
BIhar Board Class 12 Chemistry Chapter 4 रासायनिक बलगतिकी
गणना:
BIhar Board Class 12 Chemistry Chapter 4 रासायनिक बलगतिकी
∵ SO2Cl2 का विघटन एक प्रथम कोटि अभिक्रिया है।
BIhar Board Class 12 Chemistry Chapter 4 रासायनिक बलगतिकी
∵ Pt = 0.65 atm, तथा P0 + p = 0.65 atm
∴ p = 0.65 – P0
= 0.65 – 0.50
= 0.15 atm
∴ SO2Cl2 का समय है पर दाब, = P0 – p
= 0.50 – 0.15 atm
= 0.35 atm
अतः अभिक्रिया का वेग
= (2.2316 × 10-3 s-1) (0.35 atm)
= 7.8 × 10-5 atm s-1

Bihar Board Class 12 Chemistry Solutions Chapter 4 रासायनिक बलगतिकी

प्रश्न 4.22
विभिन्न तापों पर N2O5 के अपघटन के लिए वेग स्थिरांक नीचे दिए गए हैं –
BIhar Board Class 12 Chemistry Chapter 4 रासायनिक बलगतिकी
In k एवं 1/T के मध्य ग्राफ खींचिए तथा A एवं Ea की गणना कीजिए। 30°C तथा 50°C पर वेग स्थिरांक को प्रायुक्त कीजिए।
हल:
log k तथा 1/T के मध्य ग्राफ खींचने के लिए, हम दिए गए आँकड़ों को निम्नलिखित प्रकार लिख सकते हैं –
BIhar Board Class 12 Chemistry Chapter 4 रासायनिक बलगतिकी
उपर्युक्त मानों पर आधारित ग्राफ निम्नलिखित चित्र में प्रदर्शित है –
BIhar Board Class 12 Chemistry Chapter 4 रासायनिक बलगतिकी
हम जानते हैं कि
log k = log A – \(\frac{E_{a}^{*}}{2.303 R T}\)
या logk = (-\(\frac{E}{2.303 R}\)) \(\frac{1}{T}\) + log A
इस समीकरण की तुलना y = mx + c से करते हैं जो अन्त:खण्ड रूप में रेखा की समीकरण है।
log A = y – अक्ष पर अर्थात् k अक्ष पर अन्त:खण्ड का मान
= (-1 + 7.2) = 6.2 [y2 – y1 = – 1 – (-7.2)]
आवृत्ति गुणक A = antilog 6.2
= 1585000
= 1.585 × 106 collisions s-1
वेग स्थिरांक k के मान ग्राफ से निम्नलिखित प्रकार प्राप्त किए जा सकते हैं –
BIhar Board Class 12 Chemistry Chapter 4 रासायनिक बलगतिकी

Bihar Board Class 12 Chemistry Solutions Chapter 4 रासायनिक बलगतिकी

प्रश्न 4.23
546 K ताप पर हाइड्रोकार्बन के अपघटन में वेग स्थिरांक 2.418 × 10-5 s-1 है। यदि सक्रियण ऊर्जा 179.9 kJ/mol हो तो पूर्व-घातांकी गुणन का मान क्या होगा?
हल:
दिया है:
k = 2.418 × 10-5 s-1, Ea = 179.9 kJ mol-1, T = 546 K
आरेनिअस समीकरण के अनुसार
BIhar Board Class 12 Chemistry Chapter 4 रासायनिक बलगतिकी

प्रश्न 4.24
किसी अभिक्रिया A → उत्पाद के लिए k = 2.0 × 10-2 s-1 है। यदि A की प्रारम्भिक सान्द्रता 1.0 mol L-1 हो तो 100 s के पश्चात् इसकी सान्द्रता क्या रह जाएगी?
हल:
प्रश्न में दी गई k की इकाई से प्रदर्शित होता है कि अभिक्रिया प्रथम कोटि की है। अतः
BIhar Board Class 12 Chemistry Chapter 4 रासायनिक बलगतिकी
log [A] = – 0.8684
∴ [A] = Antilog (-0.8684)
= Antilog (\(\bar{1}\).1316)
= 00.1354 mol L-1

Bihar Board Class 12 Chemistry Solutions Chapter 4 रासायनिक बलगतिकी

प्रश्न 4.25
अम्लीय माध्यम में सुक्रोस का ग्लूकोस एवं फ्रक्टोस में विघटन प्रथम कोटि की अभिक्रिया है। इस अभिक्रिया की अर्द्ध-आयु 3.0 घण्टे है। 8 घण्टे बाद नमूने में सुक्रोस का कितना अंश बचेगा?
हल:
BIhar Board Class 12 Chemistry Chapter 4 रासायनिक बलगतिकी
∵ सुक्रोस का ग्लूकोस एवं फ्रक्टोस में विघटन प्रथम कोटि की अभिक्रिया है।
BIhar Board Class 12 Chemistry Chapter 4 रासायनिक बलगतिकी

प्रश्न 4.26
हाइड्रोकार्बन का विघटन निम्नांकित समीकरण के अनुसार होता है। Ea की गणना कीजिए।
k = (4.5 × 1011 s-1)e-28000 K/T
गणना:
आरेनिअस समीकरण से,
k = Ae-Ea/RT
BIhar Board Class 12 Chemistry Chapter 4 रासायनिक बलगतिकी
दोनों ओर e की घातों की तुलना करने पर,
– \(\frac{28000 K}{T}\) = –\(\frac{E_{a}}{R T}\)
या Ea = 28000 K × R
= 28000 K × 8.314J K-1 mol-1
= 232.79kJ mol-1

प्रश्न 4.27
H2O2 के प्रथम कोटि के विघटन को निम्नांकित समीकरण द्वारा लिख सकते हैं –
logk = 14.34 – 1.25 × 104 K/T
इस अभिक्रिया के लिए Ea की गणना कीजिए। कितने ताप पर इस अभिक्रिया की अर्द्ध-आयु 256 मिनट होगी?
गणना:
आरेनिअस समीकरण से,
BIhar Board Class 12 Chemistry Chapter 4 रासायनिक बलगतिकी
इस समीकरण की तुलना प्रश्न में दी गई समीकरण से करने पर,
BIhar Board Class 12 Chemistry Chapter 4 रासायनिक बलगतिकी

Bihar Board Class 12 Chemistry Solutions Chapter 4 रासायनिक बलगतिकी

प्रश्न 4.28
10°C ताप पर A के उत्पाद में विघटन के लिए k का मान 4.5 × 103 s-1 तथा मिश्रण ऊर्जा 60 kJ mol-1 है। किस ताप पर k का मान 1.5 × 104 s-1 होगा?
हल:
k1 = 4.5 × 10-3 s-1, T1 = 10 + 273 = 283 K
k2 = 1.5 × 104 s-1, T2 = ?
Ea = 60 kJ mol-1
आरेनिअस समीकरण से
BIhar Board Class 12 Chemistry Chapter 4 रासायनिक बलगतिकी

प्रश्न 4.29
298 K ताप पर प्रथम कोटि की अभिक्रिया के 10% पूर्ण होने का समय 308 K ताप पर 25% अभिक्रिया पूर्ण होने में लगे समय के बराबर है। यदि A का मान 4 × 1010 s-1 हो तो 318 K ताप तथा Ea की गणना कीजिए।
गणना:
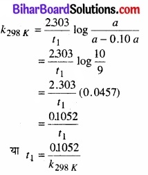
298 K ताप पर अभिक्रिया की प्रारम्भिक सान्द्रता a (माना) को 10% वियोजित (अर्थात् ϕa) होने में लगने वाला समय = t1, तब
BIhar Board Class 12 Chemistry Chapter 4 रासायनिक बलगतिकी
इसी प्रकार 308 K पर,
BIhar Board Class 12 Chemistry Chapter 4 रासायनिक बलगतिकी
अब आरेनिअस समीकरण से,
BIhar Board Class 12 Chemistry Chapter 4 रासायनिक बलगतिकी
या k = Antilog (- 2.0022)
= Antilog (\(\bar{3}\).9978) = 9.949 × 10-3 s-1

Bihar Board Class 12 Chemistry Solutions Chapter 4 रासायनिक बलगतिकी

प्रश्न 4.30
ताप में 293 K से 313 K तक वृद्धि करने पर किसी अभिक्रिया का वेग चार गुना हो जाता है। इस अभिक्रिया के लिए सक्रियण ऊर्जा की गणना यह मानते हुए कीजिए कि इसका मान ताप के साथ परिवर्तित नहीं होता।
गणना:
माना 293 K पर अभिक्रिया का वेग k1 तथा 313 K पर k2 है, तब प्रश्नानुसार,
BIhar Board Class 12 Chemistry Chapter 4 रासायनिक बलगतिकी