Bihar Board Class 7 Maths Solutions Chapter 1 पूर्णांक की समझ Text Book Questions and Answers.
BSEB Bihar Board Class 7 Maths Solutions Chapter 1 पूर्णांक की समझ
Bihar Board Class 7 Maths पूर्णांक की समझ Ex 1.1
पूर्णांक Class 7 Bihar Board प्रश्न 1.
निम्नलिखित के बीच की सभी पूर्णांक संख्याएँ लिखिए।
(a) -5 और 5
हल :
-4, -3, -2, -1, 0, 1, 2, 3, 4
(b) -2 और 8
हल :
-1, 0, 1, 2, 3, 4, 5, 6, 7
(c) -6 और -2
हल :
-5, -4, –
(d) -4 और -10
हल :
-5, -6, -7, -8, -9
Purnank Ki Samajh Bihar Board Class 7 प्रश्न 2.
निम्नलिखित में से प्रत्येक में बड़े पूर्णांक पर घेरा (0) लगाएं।
(a) -20, 4
(b) -15, -8
(c) 0, -5
(d) -20, -7
(e) 25, -2
(f) -20, -18
हल :
(a) 4
(b) -8
(c) 0
(d) -7
(e) 25
(f) -18
पूर्णांक 7th Class Bihar Board प्रश्न 3.
रिक्त स्थानों में उचित चिह्न (>, < और =) को भरिए।
(a) -6 > -8
(b) 4 > 0
(c) -5 < 2
(d) -50 = -54 + 4
(e) 25 = 25
(f) 4 – 15 > 2 – 20
हल :
(d) -50 = -54 + 4
-50 = -50
(∵ – + + = – होता है)
(f) 4 – 15 > 2 – 20
= -11 > -18
कक्षा 7 गणित अध्याय 1 पूर्णांकों Bihar Board प्रश्न 4.
नीचे दिए गए पूर्णांकों को बढ़ते क्रम में लिखिए।
(a) -8, 12, -5, 15, 20, -2
हल :
-8, -5, -2, 12, 15, 20
(b) 5, 0, -2, -4, -15, 8
हल :
-15, -4, -2, 0, 5, 8
Purnak In Maths Bihar Board Class 7 प्रश्न 5.
नीचे दिए गए पूर्णांकों की अगली पूर्णांक संख्या बताइए।
(a) -18
(b) 15
(c) -20
(d) 18
(e) -5
हल :
(a) -17
(b) 16
(c) -19
(d) 19
(e) -4
Purnak Math Bihar Board Class 7 प्रश्न 6.
नीचे दिए गए पूर्णांकों के पहले का पूर्णांक बताइए।
(a) 25
(b) -59
(c) -55
(d) -26
(e) +100
हल :
(a) 24
(b) -60
(c) -56
(d) -27
(e) 99
Purnank In Maths Bihar Board Class 7 प्रश्न 7.
रिक्त स्थान भरिए।
(i) (-5) + (2) = -3
(2) + (-5) = -3
क्या (-5) + (2) = 2 + (-5) है? हाँ
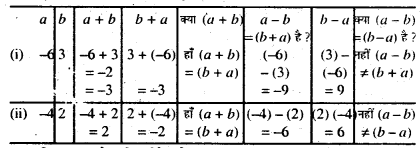
कुछ अन्य पूर्णांकों से संख्याएँ लेकर सारणी को पूरा कीजिए एवं जाँचिए-
हल :

Class 7 Maths Solution Chapter 1 Bihar Board प्रश्न 8.
रिक्त स्थानों की पूर्ति करें।
(i) (-a) + (6) = (6)+ (-a………)
(ii) -8 + 8 = 0
हल :
-8 + 8 = 0
(iii) (2) + [a + (-6)] = [2 + a) + (5)]
हल :
2 + [9 – 6] = 11
2 + 3 = 11 – 6
5 = 5
(iv) 15 + 0 = 15
Purnak Sankhya Bihar Board Class 7 प्रश्न 9.
निम्नलिखित को जोड़िए।
(a) -15 में -18 को।
हल :
-33 (∵ – + – = + होता है और यहाँ – का चिह्न बड़े अंक के सामने है।)
(b) -20 में 17 को
हल :
-3 (∵ – + + = – होता है और – का चिह्न बड़े अंक के सामने है।)
(c) +24 में -16 को
हल :
8 (∵ + + – = – होता है और यहाँ – का चिह्न छोटे अंक के सामने है।)
(d) -8 में 5 को
हल :
-3 (∵ – + + = – होता है और यहाँ – का चिह्न बड़े अंक के सामने हैं।)
प्रश्न 10.
निम्नलिखित को घटाइए।
(a) -15 में से -5 को
हल :
-15 – (-5) = 15 + 5 = -10
(b) 25 में से -75 को
हल :
25 – (-75) = 25 + 75 = 100
(c) -8 में से -16 को
हल :
-8 – (-16) = -8 + 16 = 8
(d) -20 में से -18 को
हल :
-20 – (-18) = -20 + 18 = -2
प्रश्न 11.
निम्नलिखित गुणों का एक-एक उदाहरण दीजिए।
(a) क्रम विनिमेय गुण (नियम)
हल :
दो पूर्णांक संख्याओं का योगफल एवं उनके उल्टे क्रम का योगफल समान होते हैं, इस गुण को क्रम विनिमेय गुण कहते हैं। .
उदाहरण-
(-4) + (-6) = -10
(-6) + (-4) = -10
अर्थात् (-4) + (-6) = (-6) + (-4)
(b) साहचर्य गुण
हल :
पूर्णांकों के लिए योग सहचारी होता है।
पूर्णांक a, b और c के लिए हम कह सकते हैं कि
a + (b + c) = (a + b) + c.
(c) संवरक गुण
हल :
दो पूर्णांकों का अंतर एक पूर्णांक संख्या होती है, इसे घटाव का संवरक गुण कहते हैं।
उदाहरण-
a और b दो पूर्णांक संख्याएँ हैं, तो a – b भी एक संख्या होगी।
(d) योज्य तत्समक
हल :
किसी पूर्णांक a के लिए a + 0 = a एवं 0 + a = a को योज्य तत्समक गुण कहते हैं।
उदाहरण-
3 + 0 = 3
पुन: 0 + 3 = 3
0 + 3 = 3 + 0
प्रश्न 12.
ऐसा पूर्णांक युग्म लिखिए जिसका-
(a) योग -8
हल :
-4 + (-4)
= -4 – 4
= -8
(b) अन्तर -18 है
हल :
18 – 36
= -18
(c) योग 0 है
हल :
15 + (-15)
= 15 – 15
= 0
Bihar Board Class 7 Maths पूर्णांक की समझ Ex 1.2
प्रश्न 1.
गुणा कीजिए
(a) 225 × (-4)
हल :
225 × (-4) = -900
(b) (-405) × (-5)
हल :
(+405) × (+5) = 2025
(c) (-80) × (-50)
हल :
(+80) × (+50)
= 4000
(d) (-11) × 15
हल:
(-11) × 15
= -165
(e) (-3) × 35 × (-10)
हल :
(-3) × 35 × (-10) = +105 × (+ 10) = 1050
(f) (-25) × 0.
हल : 0
(g) (-4) × (-4) × (-4) × (-4)
हल :
(+4) × (+4) × (+4) × (+4)
= 4 × 4 × 4 × 4
= 256
(h) (-2) × (-2) × (-2)
हल :
(+2) × (+2) × (-2)
= 2 × 2 × (-2)
= 4 × (-2)
= -8
(i) (-20) × (+5) × (-25) × (-5)
हल :
(+20) × (+15) × (+25) × (+5)
= 20 × 15 × 25 × 5
= 37500
(j) -50 × 5 × (-20)
हल :
-50 × 5 × (-20) = +250 × (+20) = 5000
प्रश्न 2.
निम्नलिखित में सत्य और असत्य को चुनें-
(i) 18 × (-2) = (-2) × 18
हल :
18 × (-2) = (-2) × 18
-36 = -36 (सत्य है)
(ii) -38 × 1 = 38
हल :
-38 × 1 = 38 (असत्य है)
(iii) (-20) × (-5) = (-5) × (-20)
हल :
(+20) × (+5) = (+5) × (+20)
100 = 100 (सत्य है)
(iv) 43 × 0 = 43
हल :
43 × 0 = 43 (सत्य है)
(v) 1 × -425 = -425
हल :
1 × -425 = -425 (सत्य है)
(vi) -1 × 25 = -25
हल :
-1 × 25 = -25 (सत्य है)
(vii) [(-2) × (-12)] × -24 = (-2) × [(-12) × (-24)]
हल :
[(-2) × (-12)] × -24 = (-2) × [(-12) × (-24)]
(+2) × (+12) × -24 = (-2) × (+12) × (+24)
24 × -24 = (-2) × 288
-576 = -576 (सत्य है)
(viii) (-5) × (2 + 3) = (-5) × 2 + (-5) × 3
हल :
(-5) × (2 + 3) = (-5) × 2 + (-5) × 3
(-5) × 5 = (-5) × 2 + (-15)
-25 = -10 + -15
-25 = -25 (सत्य है)
प्रश्न 3.
निम्नलिखित के सामने उसके उचित गुण को लिखिए-
(i) -25 × (8 + 2) = (-25) × 8 + (-25) × 2
हल :
वितरण गुण।
(ii) (-8) × (4) = (-4) × (-8)
हल :
गुणन की क्रमविनिमेयता।
(iii) (20 × 30) × 40 = 20 × (30 × 40)
हल :
गुणन का साहचर्य गुण।
(iv) -2 × 10 = 20
हल :
संवरक गुण।
(v) -5 × 1 = -5
हल :
गुणा का तत्समक गुण।
प्रश्न 4.
सत्यापित करें-
(i) 42 × (-5) = -5 × 42
हल :
42 × (-5) = -5 × 42
-210 = -210
LHS = RHS (साबित हुआ)
(ii) 25 × (28 + 2) = 25 × 28 + 25 × 2
हल :
25 × (28 + 2) = 25 × 28 + 25 × 2
25 × (30) = 700 + 50
750 = 750
LHS = RHS (साबित हुआ)
(iii) (50 × 60) × 70 = 50 × (60 × 70)
हल :
(50 × 60) × 70 = 50 × (60 × 70)
3000 × 70 = 50 × (4200)
210000 = 210000
LHS = RHS (साबित हुआ)
(iv) (-24) × (5 × 2) = (-24 × 5) × 2
हल :
(-24) × (10) = (-120) × 2
-240 = -240
LHS = RHS (साबित हुआ)
प्रश्न 5.
किस पूर्णांक में (-1) का गुणा करने पर गुणनफल निम्न प्राप्त होते हैं-
(i) 20
हल :
-20
(+1) × (+20) = 20
(ii) -45
हल :
45
(-1) × (45) = -45
(iii) 0
हल :
0
(-1) × (0) = 0
(iv) 1
हल :
-1
(-1) × (1) = -1
(v) -50
हल :
50
(-1) × (-50) = +50
प्रश्न 6.
-4 × 0 = 0 के आधार पर सत्यापित कीजिए कि दो ऋण पूर्णांकों का गुणनफल धनात्मक पूर्णांक होता है।
हल :
(+4) × (+4) = 16
हम कह सकते हैं कि दो ऋण पूर्णांकों का गुणनफल धनात्मक पूर्णांक होता है।
प्रश्न 7.
सरल कीजिए-
(i) (-7) × 5 + (-7) × 11
हल :
(-7) × 5 + (-7) × 11.
= (-35) + (-77)
= -112
(ii) 675 × (-5) – 5 × (-675)
हल :
675 × (-5) – 5 × (-675)
= + 3375 – (+3375)
= 0
(iii) 8 × (50 – 4)
हल :
8 × (50-4)
= 8 × (46)
= 368
(iv) 5 × 27 × (-4)
हल :
5 × 27 × (-4)
= 135 × (-4)
= -540
(v) 987 × 98
हल :
987 × 98
= 96726
(vi) -57 × (-19) + 57
हल :
-57 × (-19) + 57
= 1083 + 57
= 1140
प्रश्न 8.
निम्नलिखित सारणी को पूरा करें-

हल :

प्रश्न 9.
निम्नलिखित में से कौन सत्य और कौन असत्य है?
(i) -20 का विपरीत 20 है।
हल :
सत्य
(ii) किसी पूर्णांक का विपरीत प्राप्त करने के लिए उसमें शून्य से गुणा करते हैं।
हल :
असत्य
(iii) 5 ऋण पूर्णांकों का गुणनफल धन पूर्णांक होता है।
हल :
असत्य
(iv) चार ऋण पूर्णांकों का गुणनफल धन पूर्णांक होता है।
हल :
सत्य
(v) -4 × 1 = -4
हल :
सत्य
(vi) -5 × 0 = 0
हल :
सत्य
प्रश्न 10.
निम्नलिखित में पूर्णांकों के गुणा में सही कथनों के आगे सही का निशान लगाएँ तथा गलत कथनों को सही करके लिखें।
(i) (+2) × (-3) = -6
हल :
सही है (✓)
(ii) (4) × (+8) = +32
हल :
सही है (✓)
(iii) (-2) × (-2) = +4
हल :
सही है (✓)
(iv) (+3) × (+4) = -12.
हल :
असत्य है (✗)
प्रश्न 11.
कमरे का तापमान = 40°C
प्रति घंटे कम किया गया तापमान = 5°C
10 घंटे बाद कमरे का तापमान = 10 × 5°C = 50°C.
40°C – 50°C = -10°C
कमरे का तापमान 10 घंटे बाद -10°C अर्थात् 0° से भी 10° नीचे होगा।
प्रश्न 12.
दस ग्रश्नांवाले एक कक्षा टस्ट में ग्रत्येक् सही उत्तर के तिए (-2) औक दिए जाते क्रेंय्य गयो प्रश्नों के तिए शून्य प्तिया जाता तै।
हल :
सही उत्तर के लिए दिए गए अंक = 5
गलत उत्तर के लिए दिए गए अंक = (-2)
(a) मोहन चार प्रश्नों के सही उत्तर देता है = 4 × 5 = 20 अंक
छह प्रश्नों के गलत उत्तर देता है = (-2) × 6 = -12
प्राप्त किए गए अंक = 20 – (-12) = 18
मोहन को 18 अंक प्राप्त होते हैं।
(b) रेशमा ने पाँच उत्तर सही दिए = 5 × 5 = 25 अंक
रेशमा ने पाँच उत्तर गलत दिए = 5 × (-2) = -10
रेशमा द्वारा प्राप्त किए गए अंक = 25 – (-10) = 15.
रेशमा को 15 अंक प्राप्त हुए।
(c) होना ने दो प्रश्नों के सही उत्तर दिए = 2 × 5 = 10
होना ने पाँच प्रश्नों के गलत उत्तर दिएं = 5 × (-2) = -10
हीना द्वारा प्राप्त किए गए अंक = 10 – (-10) = 20
प्रश्न 13.
सफेद सीमेंट बेचने पर प्रति बोरी लाभ = 8 रु. प्रति बोरी
स्लेटी सीमेंट बेचने पर प्रति बोरी हानि = 5 रु. प्रति बोरी
(a) 5000 बोरियाँ स्लेटी सीमेंट की बेची गयी = 5000 × 5 = 25000
3000 बोरियाँ सफेद सीमेंट की बेची गयी = 3000 × 8 = 24000
सीमेंट कंपनी को लाभ हुआ या हानि = 25000 – 24000
सीमेंट कंपनी को लाभ हुआ हानि = 1000 रु.
सीमेंट कंपनी 1000 रु. की हानि हुई।
(b) सफेद सीमेंट की बोरियों की संख्या = 6400
अर्थात् 6400 × 8 = 51200 रु० का लाभ।
स्लेटी सीमेंट में प्रत्येक बोरी पर हानि = 5 रु०
बोरियों की संख्या = \(\frac{51200}{5}\) = 10240
प्रश्न 14.
प्रदे भिद्युत कम्मगी प्रत्येक रंगीग टी॰वी॰ पर 80 रुपये का लाभ कमाता है और प्रत्येक रेश्रेत्ररटर पर 60 रूपये का चानि चाता ढ़े।
हल :
(a) लाभ = 5000 × 80 = 400000
हानि = 4000 × 60 = 240000
कुल लाभ = 160000
(b) 4000 टेलीविजन बेचने पर हानि = 4000 × 60 = 240000
रंगीन टी०वी० की संख्या = \(\frac{240000}{80}\) = 3000
Bihar Board Class 7 Maths पूर्णांक की समझ Ex 1.3
प्रश्न 1.
हल कीजिए-


प्रश्न 2.
निम्नलिखित गुणा की क्रिया को भाग की दो प्रक्रिया में बदलिए-
(a) 5 × 8 = 40
हल :
(i) 40 ÷ 5 = 8
(ii) 40 ÷ 8 = 5
(b) -4 × -6 = 24
हल :
(i) 24 ÷ (-4)= -6
(ii) 24 ÷ (-6) = -4
(c) -12 × 9 = -108
हल :
(i) -108 ÷ (-12) = 9
(ii) -108 ÷ (9) = -12
(d) -4 × -12 = 48
हल :
(i) 48 ÷ (-4) = -12
(ii) 48 ÷ (-12) = -4
(e) -10 × 8 = -80
हल :
(i) -80 ÷ (-10) = 8
(ii) -80 ÷ 8 = -10
प्रश्न 3.
खाली जगह में उपर्युक्त पूर्णांक भरिए.

हल :
(i) (+8) × (+12) = 96
(ii) (8) × (-9) = -72
(iii) 24 ÷ (-4) = -6
(iv) -80 ÷ 10 = -8
(v) -48 ÷ 6 = -8
प्रश्न 4.
निम्नलिखित में कौन सत्य तथा कौन असत्य है? हल कीजिए और बताइए।

प्रश्न 5.
दोपहर 12 बजे से रात 12 बजे के बीच का समय = 12
तापमान में घटाव = 12 × 2 = 24°
दोपहर 12 बजे तापमान = +10°C
रात 12 बजे तापमान = +10 – 24°
शून्य डिग्री से 8°C नीचे होने के लिए तापमान में कमी = +10 + 8 = 18°
समय = \(\frac{18}{2}\) = 9 घंटे
प्रश्न 6.
कुल तय की गई दूरी = 10m + 350m = 360m
6m तय करने में
360m = \(\frac{360}{6}\) = 60 मि० = 1 घंटा
Bihar Board Class 7 Maths पूर्णांक की समझ Ex 1.4
प्रश्न 1.
सरल कीजिए



प्रश्न 2.
कोष्ठकों का प्रयोग कर निम्नलिखित प्रश्नों को गणितीय रूप दीजिए
(i) (5 + 15) ÷ 8
(ii) 69 ÷ (4 × 6 – 1)
(iii) (24 – 4) ÷ 5 = 4
(iv) 124 ÷ {(25 + 5) + 1}
(v) [{(2 × 4) – 2} × 9] ÷ 6
प्रश्न 3.
सरल कीजिए-
(i) 50 + {15 – 5 + (8 – 2)}
हल :
50 + {15 – 5 + (8 – 2)}
= 50 + {15 – 5 + 6}
= 50 + {15 + 1}
= 50 + 16
= 66
(ii) 8 [6 + 2 {5 – 4(5 – 8}]
हल :
8 [6 + 2 {5 – 4(5 – 8)}]
= 8[6 + 2{5 – 4(-3)}]
= 8[6 + 2{5 + 12}]
= 8[6 + 2{17}]
= 8{6 + 34}
= 8 × 40
= 320
(iii) 12 ÷ \(\overline{6-2}\) + 10
हल :
12 ÷ \(\overline{6-2}\) + 10
= 12 ÷ 4 + 10
= 3 + 10
= 13
(iv) 15 + [2 – 3 – {2 (5 – 4 + 1)}]
हल :
15 + [2 – 3 – {2 (5 – 4 + 1)}]
= 15 + [2 – 3 – {2 (6 – 4)}]
= 15 + [2 – 3 – {2 (2)}]
= 15 + {2 – 3 – 4]
= 15 + [2 – 7]
= 15 + [-5]
= 15 – 5
= 10
(v) 103 – [144 ÷ (12 × 12) + 5 + 12 ÷ \(\overline{6-2}\) + 10]
हल :
103 – [144 ÷ (12 × 12) + 5 + 12 ÷ \(\overline{6-2}\) + 10]
= 103 – [144 ÷ (12 × 12) + 5 + 12 ÷ 4 + 10]
= 103 – [144 ÷ (144) + 5 + \(\frac{12}{4}\) + 10]
= 103 – [\(\frac{144}{144}\) + 5 + 3 + 10]
= 103 – [1 + 18]
= 103 – 19
= 84
(vi) 5 [5 – {5 – (5 – 5 – 5)}]
हल :
5 [5 – {5 – (5 – 5 – 5)}]
= 5 [5 – {5 – (5 – 10)}]
= 5 [5 – {5 – (-5)}]
= 5 [5 – {5 + 5}]
= 5 [5 – {10}]
= 5[5 – 10]
= 5 × -5
= -25
(vii) 15 – (-3) (4 – 4) ÷ {5 + (6) × (-3)}
हल :
15 – (-3)(4 – 4) ÷ {5 + (6) × (-3)}
= 15 – (-3) (4 – 4) ÷ {5 – 18}
= 15 – (-3) (0) ÷ (-13)
= 15 – \(\frac{0}{-13}\)
= 15 – 0
= 15
(viii) (-6) + (-6) ÷ 2 – [(-5) × (-1) – 2 (4 – 2)]
हल :
(-6) + (-6) ÷ 2 – [(-5) × (-1) – 2(4 – 2)]
= -6 – 6 ÷ 2 – [5 – {2(2)}]
= -12 ÷ 2 – [5 – 4]
= -12 ÷ 2 – [1]
= -12 ÷ 2 – 1
= -12 ÷ 1
= -12
