Bihar Board Class 8 Maths Solutions Chapter 10 घातांक और घात Text Book Questions and Answers.
BSEB Bihar Board Class 8 Maths Solutions Chapter 10 घातांक और घात
Bihar Board Class 8 Maths घातांक और घात Ex 10.1
प्रश्न 1.
मान ज्ञात कीजिए-
(i) 2-3
(ii) 4-3
(iii) (-3)-4
(iv) (-2)-3
उत्तर
(i) 2-3 = -8 = \(\frac{1}{8}\)
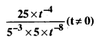
(ii) 4-3 = -64 = \(\frac{1}{64}\)
(iii) (-3)-4 = -3 × -3 × -3 × -3 = 81
(iv) (-2)-3 = -8 = \(\frac{1}{8}\)
प्रश्न 2.
मान ज्ञात कीजिए-

उत्तर

![]()
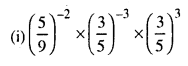
प्रश्न 3.
मान ज्ञात कीजिए-


उत्तर


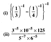
प्रश्न 4.
सरल कीजिए-

उत्तर


![]()
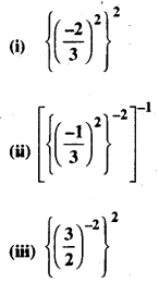
प्रश्न 5.
मान ज्ञात कीजिए-

उत्तर

प्रश्न 6.
सरल कीजिए और उत्तर को धनात्मक घातांक के रूप में व्यक्त कीजिए।
(i) (-3)5 ÷ (-3)9
(ii) \(\left(\frac{1}{3^{3}}\right)^{2}\)
(iii) \((-3)^{4} \times\left(\frac{5}{3}\right)^{4}\)
(iv) (3-7 ÷ 3-10) × 3-5
(v) 2-3 × 7-3
उत्तर

प्रश्न 7.
\(\left(\frac{1}{3}\right)^{-2}+\left(\frac{1}{2}\right)^{-2}+\left(\frac{1}{4}\right)^{-2}\) का मान ज्ञात कीजिए।
उत्तर

प्रश्न 8.
(i) (5-1 + 3-1 + 2-1)0
(ii) (40 + 8-1) × 23
(iii) (2-1 × 4-1) ÷ 2-3
उत्तर
(i) (5-1 + 3-1 + 2-1)0
= {(5 + 3 + 2)-1}0
= {(10)-1}0
= 10-1×0
= 100
= 1
(ii) (40 + 8-1) × 23
= (40 + 8-1) × 23
= 1 + (-8) × 23
= 1 – 8 × 8
= -7 × 8
= -56
(iii) (2-1 × 4-1) ÷ 2-3
= (2 × 4)-1 + (-1) ÷ 2-3
= (8)-1 ÷ 2-3
= 8-1 ÷ 2-3
= 8-1 ÷ -8
![]()
प्रश्न 9.
मान ज्ञात कीजिए
(i) (5-1 × 2)-1 ÷ 6-1
(ii) \(\frac{16^{-1} \times 5^{3}}{2^{-4}}\)
उत्तर

प्रश्न 10.
x का मान ज्ञात कीजिए जब-
(i) \(\left(\frac{4}{3}\right)^{-4} \times\left(\frac{4}{3}\right)^{-5}=\left(\frac{4}{3}\right)^{3 x}\)
(ii) 7x ÷ 7-3 = 75
(iii) (4)2x+1 ÷ 16 = 64
उत्तर

(ii) 7x ÷ 7-3 = 75
7x-(-3) = 75
x + 3 = 5
x = 5 – 3 = 2
(iii) 42x+1 ÷ 16 = 64
42x+1 ÷ 42 = 43
2x + 1 – 2 = 3
2x – 1 = 3
2x = 3 + 1
2x = 4
x = 2
![]()
प्रश्न 11.
सरल कीजिए-

उत्तर

प्रश्न 12.
सरल कीजिए-

उत्तर

Bihar Board Class 8 Maths घातांक और घात Ex 10.2
प्रश्न 1.
निम्न संख्याओं को मानक रूप में व्यक्त कीजिए-
(i) 0.000000004
(ii) 0.00000000032
(iii) 0.000000000397
(iv) 7760000000
(v) 806000000000
(vi) 4603500000
उत्तर
(i) 0.000000004 = 4 × 10-9
(ii) 0.00000000032 = 3.2 × 10-10
(iii) 0.000000000397 = \(\frac{3.97}{10^{11}}\) = 3.97 × 1011
(iv) 776000000000 = \(\frac{7.76}{10^{11}}\) = 7.76 × 1011
(v) 806000000000 = \(\frac{8.06}{10^{11}}\) = 8.06 × 1011
(vi) 4603500000 = \(\frac{4.6035}{10^{9}}\) = 4.6035 × 109
प्रश्न 2.
निम्न संख्याओं को सामान्य रूप में व्यक्त कीजिए-
(i) 7.1 × 10-7
(ii) 3.02 × 10-5
(iii) 5 × 10-9
(iv) 1 × 109
(v) 2.0001 × 1010
(vi) 3.46129 × 106
उत्तर
(i) 7.1 × 10-7 = \(\frac{7.1}{10^{-7}}\) = 0.00000071.
(ii) 3.02 × 10-5 = \(\frac{3.02}{10^{-5}}\) = 0.0000302
(iii) 5 × 10-9 = \(\frac{5}{10^{-9}}\) = 0.000000005
(iv) 1 × 109 = \(\frac{1}{10^{9}}\) = 1000000000
(v) 2.0001 × 1010 = \(\frac{2.0001}{10^{10}}\) = 20001000000
(vi) 3.46129 × 106 = \(\frac{3.46129}{10^{6}}\) = 3461290
![]()
प्रश्न 3.
निम्न कथनों की संख्याओं को मानक रूप में बदलकर कथन लिखिए-
(i) मनुष्य के बाल की मोटाई का व्यास लगभग 0.0002 cm होती है।
(ii) पौंधों की कोशिकाओं की माप 0.00001275m है।
(iii) जीवाणु की माप 0.0000005m है।
(iv) एक इलेक्ट्रॉन का आवेश 0.000.0000.00.000.000.000.16 कुलंब होता है।
(v) माईक्रॉन \(\frac{1}{1000000}\) मी. के बराबर होता है।
उत्तर
(i) 2 × 10-3
(ii) 1.275 × 10-5
(iii) 5 × 10-7
(iv) 1.6 × 10-19
(v) 1 × 10-6
प्रश्न 4.
एक के ऊपर एक करके दस शीशे रखे गए हैं, जिनमें प्रत्येक की मोटाई 10 mm तथा प्रत्येक दो शीशों के बीच कागज की एक शीट है, जिनमें प्रत्येक की मोटाई 0.07 mm है। इसकी कुल मोटाई को मानक रूप में लिखिए।
उत्तर
शीशे = 10
कागज की शीट = 9
एक शीशे की मोटाई = 10 mm
9 कागज की शीट की मोटाई = 9 × 0.07 = 0.0063
कुल मोटाई = 1.0063 × 102