Bihar Board Class 8 Maths Solutions Chapter 8 राशियों की तुलना Text Book Questions and Answers.
BSEB Bihar Board Class 8 Maths Solutions Chapter 8 राशियों की तुलना
Bihar Board Class 8 Maths राशियों की तुलना Ex 8.1
प्रश्न 1.
सरल अनुपात ज्ञात कीजिए
अ. 14 मीटर का 7 मीटर 35 सेमी. से
ब. 3 रु. का 80 पै, से
स. 150 किग्रा. का 210 किग्रा. से
द. 2 घंटे का 50 मिनट से
उत्तर
(अ) 14 मीटर का 7 मीटर 35 सं० मी० से

प्रश्न 2.
निम्नलखित अनुपातों को प्रतिशत में परिवर्तित कीजिए-
अ. 3 : 25
ब. 16 : 25
स. 3 : 16
उत्तर

![]()
प्रश्न 3.
60 विद्यार्थियों में से 40 प्रतिशत विद्यार्थियों को विज्ञान विषय . रुचिकर लगता है तो उन विद्यार्थियों की संख्या बताइये जिन्हें विषय में कम रुचि है।
उत्तर
40% विद्यार्थियों को विज्ञान विषय में रुचि है। अर्थात् 60% विद्यार्थियों को विज्ञान विषय में रुचि नहीं है।
सं० = 60 × 60% = \(\frac{60 \times 60}{100}\) = 36
प्रश्न 4.
किसी परीक्षा में उत्तीर्ण होने के लिए एक परीक्षार्थी को पूर्णांक के 33 प्रतिशत अंक प्राप्त करने हैं, उसे 225 अंक मिले जो कि 33 प्रतिशत से 6 अंक कम थे। बताइए परीक्षा में पूर्णांक क्या था?
उत्तर
माना कि कुल अंक = x
x का 33% = 225 + 6
\(\frac{x \times 33}{100}\) = 231
x = \(\frac{231 \times 100}{33}\)
x = 700
प्रश्न 5.
रहीम अपना निवास स्थान 8 बजे सुबह छोड़ देता है और उसी दिन शाम 4 बजे अपने घर लौट आता है, तो 24 घंटे का कितना प्रतिशत वह अपने निवास स्थान पर व्यतीत करता है?
उत्तर
बाहर बिताया कुल सं० = 8 बजे सुबह से शाम के 4 बजे तक = 8 घंटे
% समय = 24 × x% = 8
x = \(\frac{28 \times 100}{24}\) = 33.3%
![]()
प्रश्न 6.
पहली संख्या, दूसरी संख्या से 20% अधिक है तो दूसरी संख्या पहली संख्या से कितना प्रतिशत कम है?
उत्तर
माना पहली सं० = 100 दूसरी से 20% अधिक है।
दूसरी सं० = 80
दूसरी सं० कम है = 100 – 80 = 20
\(80 \times \frac{x}{100}\) = 20
x = \(\frac{20 \times 100}{80}\) = 25%
Bihar Board Class 8 Maths राशियों की तुलना Ex 8.2
प्रश्न 1.
रोहित एक पुराना अलमीरा 6700 रुपये में खरीदकर उस पर 300 रु. उसके मरम्मत में खर्च करता है। उसके बाद उसे वह 7500 रु० में बेच देता है। उसका लाभ या हानि प्रतिशत ज्ञात कीजिए।
उत्तर
पुराने आलमीरे की कीमत = 6700
मरम्मत में खर्च = 300
क्र.मू. = 7000
लाभ = वि० मू० – क्र० मू० = 7500 – 7000 = 500
लाभ% = \(\frac{500}{7000} \times 100=\frac{50}{7}=7 \frac{1}{7} \%\)
प्रश्न 2.
प्रत्येक के लिए x, y, z का मान ज्ञात करें।

उत्तर
(i) क्र०मू० = 1500 + 320 = 1820
वि०मू० = क्र-मू० + लाभ = 1820 + 280 = 2100
लाभ% = \(\frac{280}{1820}\) × 100 = \(\frac{400}{26}\) = 15.38%
(ii) वि.मू = 1500 + 320 = 1820
हानि% = 10%
क्र०मू = \(\frac{100}{90} \times 1820\) = 2022.22
(iii) खरीद मू = 500
क-मू = 575
ऊपरी व्यय = 575 – 500 = 75/-
लाभ = 125
वि०मू० = क्र०मू० + लाभ = 575 + 125 = 700
लाभ% = \(\frac{125}{575}\) × 100 = \(\frac{500}{23}\) = 21.73%
(iv) क्र मू० = 9000 + 200 = 9200
वि०मू० = 7200
हानि = 9200 – 7200 = 2000
हानि% = \(\frac{2000}{9200} \times 100\) = \(\frac{2000}{92}\) = 21.43%
(v) खरीद मू० = 500 – 100 = 400
लाभ = \(500 \times \frac{20}{100}\) = 100
वि०मू० = क्र०मू० + लाभ% = 500 + 100 = 600
![]()
प्रश्न 3.
एक बिजली के पंखे को 510 रु. में बेचने पर एक दुकानदार को 15 प्रतिशत की हानि उठानी पड़ती है, बताइए दुकानदार ने पंखा कितने में खरीदा? यदि वह पंखे को 630 रु. में बेचे तो उसे कितने प्रतिशत लाभ या हानि होगी?
उत्तर
हानि% = 15%
वि०मू = 510

प्रश्न 4.
मुकेश स्पोर्ट्स की दुकान से एक फुटबॉल गेंद 20 प्रतिशत के बट्टे पर 192 रु. में खरीदता है तो फुटबाल गेंद का अंकित मूल्य क्या है?
उत्तर
बट्टा = 20%
अंकित मू० = ?
वि० मू० = 192
अंकित मू० = \(\frac{192 \times 100}{80}\) = 240
प्रश्न 5.
एक दुकानदार एक जोड़ी जूते पर 1250 रु. मूल्य अंकित करके ग्राहक को खरीदने पर 20 प्रतिशत की छूट देता है। छूट देने के बाद भी दुकानदार को 25 प्रतिशत का लाभ प्राप्त होता है, तो जूते का क्रय मूल्य क्या है?
उत्तर
बट्टा = 1250 × \(\frac{20}{100}\) = 250
वि०मू० = 1250 – 250 = 1000
1000 में बेचने पर लाभ = 20%
क्र०मू० = 1000 × \(\frac{80}{100}\) = 800
![]()
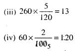
प्रश्न 6.
सोहन द्वारा एक डिपार्टमेंटल स्टोर से खरीदी गई सामग्री का बिल निम्नानुसार है। बिल की कुल राशि ज्ञात कीजिए।

उत्तर


कुल राशि = 260 + 330 + 273 + 61.20 = 924.20
प्रश्न 7.
राखी को 250 रु. मूल्य की खेल सामग्री तथा 220 रु. मूल्य के चमड़े का बैग क्रमश 6 प्रतिशत और 12 प्रतिशत बिक्री कर देकर खरीदना पड़ा हो, तो बताइए उसने कुल कितने रुपये चुकाए?
उत्तर

= 220 + 26.40
= 246.40
कुल मू० = 265 + 246.40 = 511.40
Bihar Board Class 8 Maths राशियों की तुलना Ex 8.3
प्रश्न 1.
सुधीर ने एक कोट 4500 रु. मूल्य के खरीदे। उसे बिक्री कर के 6 प्रतिशत अतिरिक्त देने पड़े तो बताइए कि सुधीर ने कोट खरीदने में कुल कितने रुपये लगाए?
उत्तर
कोट का क्रय मू० = 4500
बिक्री कर = 6%
बिक्री कर का मू० = 4500 × \(\frac{6}{100}\) = 270
कुल क्रय मु० = 4500 + 270 = 4770
प्रश्न 2.
एक दुकानदार ने अपनी दुकान से 3 महीने की बिक्री के बाद 4500 रु. वैट के रूप में जमा किया। यदि वैट की दर 4 प्रतिशत हो तो यह बताइए कि उसे कितनी मूल राशि का सामान बेचा?
उत्तर
बैट के रूप में जमा किया = 4500
बैट की दर = 4%
वि.मू. × 4% = 4500
वि०म० = \(\frac{4500 \times 100}{4}\) = 112500/-
![]()
प्रश्न 3.
रजिया ने एक दवा विक्रेता के यहाँ से 625 रु. अंकित मूल्य की दवाई खरीदी और उस पर 12 रु. 50 पैसे अतिरिक्त कर दिया। बताइए कि अतिरिक्त कर की दर प्रतिशत क्या थी?
उत्तर
दवा का मू० = 625
बैट मू० = 12.50
वि० मू० × \(\frac{x}{100}\) = 12.50
x = \(\frac{1250 \times 100}{625 \times 100}=\frac{1250}{625}\) = 2%
मिश्रधन = 25000 + 6000 = 31000
प्रश्न 4.
मिश्रधन ज्ञात कीजिए जब ब्याज की गणना प्रतिवर्ष की जाती है-
अ. 7500 रु. पर 2 वर्ष के लिए 6 प्रतिशत वार्षिक ब्याज की दर से।
ब. 25000 रु. पर 3 वर्ष के लिए 8 प्रतिशत वार्षिक ब्याज की दर से।
उत्तर


प्रश्न 5.
चक्रवृद्धि ब्याज ज्ञात कीजिए-
अ. 6000 रु. पर 3 वर्ष के लिए 10 प्रतिशत वार्षिक ब्याज की दर से।
ब. 4000 रु. पर 2 वर्ष के लिए 5 प्रतिशत वार्षिक ब्याज की दर से।
उत्तर


![]()
प्रश्न 6.
वह धन ज्ञात कीजिए जो 8 प्रतिशत वार्षिक ब्याज की दर से 2 वर्ष में 7290 रु. हो जाता है।
उत्तर
R = 8%
T = 2
A = 7290


प्रश्न 7.
कितने प्रतिशत वार्षिक ब्याज की दर से 4000 रु. 2 वर्ष में 5290 रु. हो जाता है।
उत्तर
P = 4000
T = 2
A = 5290
C.I = 4000 – 5290 = 1290



प्रश्न 8.
स्वाति एक जमीन का टुकड़ा खरीदने हेतु बैंक से 40960 रु. कर्ज 12½% वार्षिक दर 1½ वर्ष के लिए कर्ज देती है और ब्याज का संयोजन अर्द्धवार्षिक होता है तो स्वाति को कितनी राशि देनी पड़ेगी और उनके द्वारा भुगतान किया गया ब्याज की राशि भी ज्ञात कीजिए।
उत्तर
P = 40960


![]()
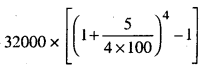
प्रश्न 9.
रवि ने 32,000 रु. बैंक में जमा किया। उस बैंक द्वारा जमा की गई राशि पर ब्याज के संयोजन तिमाही घोषित हो तो और ब्याज की दर से 5 प्रतिशत वार्षिक हो तो रवि को महीने बाद कितनी राशि प्राप्त होगी।
उत्तर


प्रश्न 10.
5 प्रतिशत वार्षिक दर से बढ़ते हुए वर्ष 2005 के अंत में एक शहर की जनसंख्या 44.10 हो गई। बताइए वर्ष 2003 में इस शहर की जनसंख्या कितनी थी?
उत्तर
आज शहर की जनसंख्या = 4410
दर = 5%
2003 अर्थात् दो वर्ष पहले
T = 2

![]()
प्रश्न 11.
एक जनित्र (Generator) का वर्तमान मूल्य 42000 रु. है। यदि उसका अवमूल्यन प्रतिशत वार्षिक हो तो 2 वर्ष बाद उस जनित्र का मूल्य क्या होगा?
उत्तर
वर्तमान मू० = 4200
समय = 2
दर = 5%
