Bihar Board Class 8 Maths Solutions Chapter 9 बीजीय व्यंजक

Bihar Board Class 8 Maths Solutions Chapter 9 बीजीय व्यंजक Text Book Questions and Answers.

BSEB Bihar Board Class 8 Maths Solutions Chapter 9 बीजीय व्यंजक

Bihar Board Class 8 Maths बीजीय व्यंजक Ex 9.1

बीजीय व्यंजक Class 8 Bihar Board Chapter 9 प्रश्न 1.
जोडिए-
(a) xy, 3xy
(b) x2 + 3x, 2x + 9
(c) x2, y2
(d) 7x – 8x
(e) 8a, -2a, 7a, 2b
(f) 8x, -2x, -6x
(g) 2.3x, 1.7x
(h) \(\frac{2}{3}\)x, \(\frac{1}{3}\)x, -x
उत्तर
(a) xy + 3xy
= (3 + 1) xy
= 4xy
(b) x2 + 3x + (2x + 9)
x2 + 3x + (2x + 9)
= x2 + 3x + 2x + 9
= x2 + (3 + 2)x + 9
= x2 + 5x + 9
(c) x2 + y2 = x2 + y2

(d) 7x + (-8x)
= 7x – 8x
= (7 – 8)x
= -x
(e) 8a + -2a + 7a + 2b
= 8a + 7a + 2b – 2b
= (8 + 7) a
= 15a
(f) 8x + (-2x) + (-6x)
= 8x – 2x – 6x
= (8 – 2 – 6)x
= (8 – 8) x
= 0x
= 0
(g) 2.3x + 1.7x
= (2.3 + 1.7) x
= (4.0) x
= 4x
Bihar Board Class 8 Maths Solutions Chapter 9 बीजीय व्यंजक Ex 9.1 Q1

बीजीय व्यंजक कक्षा 8 गणित Bihar Board Chapter 9 प्रश्न 2.
पहले व्यंजक में से दूसरे को घटाइए-
(a) 22x, 10x
(b) 17xy, 19xy
(c) a2 + 1, -2a
(d) 8x, -8x
(e) 7xy, 7xy
(f) 7.3x, 1.3x
(g) -6x + y + 4z – 8, -2y + x – 5z + 8
(h) \(\frac{x}{2}-\frac{x}{4}, \frac{x}{3}\)
उत्तर
(a) 22x – 10x = (22 – 10)x = 12x
(b) 17xy – 19xy
= (17 – 19)xy
= -2xy
(c) a2 + 1 + – 2a = a2 – 2a + 1
(d) 8x – (-8x) = 8x + 8x = 16x
(e) 7xy – 7xy
= (7 – 7)xy
= 0xy
= 0

(f) 7.3x – 1.3x = (7.3 – 1.3)x
= (6.0)x
= 6x
(g) -6x + y + 4z – 8 – (-2y + x – 5z + 8)
= -6x + y + 4z – 8 + 2y – x + 5z – 8
= -6x – x + y + 2y + 4z + 5z – 8 – 8
= -7x + 3y + 9z – 16
Bihar Board Class 8 Maths Solutions Chapter 9 बीजीय व्यंजक Ex 9.1 Q2

Saral Kijiye Class 8 Bihar Board Chapter 9  प्रश्न 3.
सरल कीजिए
(a) 2x – 3y – 7x + 2x – y + 2
(b) 5y3 – 3y2 + 2y – 1 + 2y2 + 6y – 5
(c) 6a – 3b + c – 6a + 3b + 7c
(d) 8x2 + 5xy + 3y2 + 3x2 + 2xy – 6y2
उत्तर
(a) 2x – 3y – 7x + 2x – y + 2
= 2x – 7x + 2x – 3y – y + 2
= 4x – 7x – 4y + 2
= -3x – 4y + 2
(b) 5y3 – 3y2 + 2y – 1 + 2y2 + 6y – 5
= 5y3 – 3y2 + 2y2 + 2y + 6y – 5 – 1
= 5y3 – y2 + 8y – 6
(c) 6a – 3b + c – 6a + 3b + 7c
= 6a – 6a – 3b + 3b + c + 7c
= 8c
(d) 8x2 + 5xy + 3y2 + 3x2 + 2xy – 6y2
= 8x2 + 3x2 + 3y2 – 6y2 + 5xy + 2xy
= 11x2 – 3y2 + 7xy

गुणनफल ज्ञात कीजिए Class 8 Bihar Board Chapter 9 प्रश्न 4.
यदि किसी त्रिभुज की भुजाएँ x + 1, x + 2 एवं x + 3 हैं तो इसकी परिमिति क्या होगी?
उत्तर
त्रिभुज की परिमिति = भुजाओं का योग = a + b + c
a = x + 1, b = x + 2, c = x + 3
त्रिभुज की परिमिति = x + 1 + x + 2 + x + 3
= 3x + 6
= 3(x + 2)

Class 8 Ch 9 Maths Bihar Board  प्रश्न 5.
यदि किसी वर्ग की एक भुजा x – 7 है तो उसकी परिमिति ज्ञात कीजिए।
उत्तर
वर्ग की परिमिति = 4 × भुजा
= 4 × (x – 7)
= 4x – 28

प्रश्न 6.
रहीम की उम्र x + 6 वर्ष और महेश की उम्र y वर्ष है, दोनों की उम्र का योग और अंतर क्या होगा?
उत्तर
रहीम की उम्र = x – 6
महेश की उम्र = y
उम्र का यांग = x – 6 + y
उम्र का अंतर = x – y – 6

प्रश्न 7.
किसी आयत की दो आसन्न भुजाएँ क्रमशः x2 + 2x + 1 एवं x2 – 2x + 1 हैं तो आयत की परिमिति क्या होगी?
उत्तर
आयत की परिमिती = 2 (ल. + चौ.)
= 2(x2 + 2x + 1 + x2 – 2x + 1)
= 2(2x2 + 2)
= 4x2 + 4
= 4(x2 + 1)

प्रश्न 8.
किसी त्रिभुज की दो भुजाएँ क्रमश: x2, y2 हैं। यदि परिमिति x2 + y2 + z2हो तो त्रिभुज की तीसरी भुजा ज्ञात कीजिए।
उत्तर
∆ की परिमिती = भुजाओं का योग = x2 + y2 + z2
प्रश्न से,
पहली भुजा = x2
दूसरी भुजा = y2
∆ की तीसरी भुजा = x2 + y2 + z2 – (x2 + y2)
= x2 + y2 + z2 – x2 – y2
= z2

Bihar Board Class 8 Maths बीजीय व्यंजक Ex 9.2

प्रश्न 1.
गुणनफल ज्ञात कीजिए
(a) 8x × (-2)
(b) -3x × -3x2y
(c) 6mn × 7np
(d) 4p3 × 3p3
(e) x2y × xyz
(f) 2.5x × 4x
(g) 2.5x × 2.5y
(h) \(\frac {1}{2}\)x × \(\frac {1}{2}\)y
(i) \(\frac {1}{2}\)xy × 2xy
(j) 2x × 2x2 × 2x3
(k) -3x2y × (-6) × 7xy
उत्तर
(a) 8x × (-2) = -16x
(b) -3x × -3xy = -9x3y
(c) 6mn × 7np = 6 × 7 × m × n × n × p = 42mn2p
(d) 4p3 × 3p3 = 4 × 3 × p3 × p3 = 12p6
(e) x2y × xy2 = x2 × x × y × y × z = x3y2z
(f) 2.5x × 4x = 2.5 × 4 × x × x = 10x2
(g) 2.5x × 2.5y = 2.5 × 2.5 × x × y = 6.25xy
(h) \(\frac {1}{2}\)x × \(\frac {1}{2}\)y
= \(\frac {1}{2}\) × \(\frac {1}{2}\) × x × y
= \(\frac {1}{4}\)xy
(i) \(\frac {1}{2}\)xy × 2xy
= \(\frac {1}{2}\) × 2 × xy × xy
= x2y2
(j) 2x × 2x2 × 2x2
= 2 × 2 × 2 × x × x2 × x2
= 8x5
(k) -3x2y × -6 × 7xy
= -3 × -6 × 7 × x2 × x × y × y
= +126x2y2

प्रश्न 2.
किसी आयत की आसन्न भुजाएँ क्रमश: 6p2q2 एवं 2pq हैं तो आयत का क्षेत्रफल क्या होगा?
उत्तर
आयत का क्षेत्रफल = ल० × चौ०
= 6p2q2 × 2pq
= 6 × 2 × p2 × p × q2 × q
= 12p3q3

प्रश्न 3.
यदि किसी वर्ग की भुजा √2 x2y2 है तो वर्ग का क्षेत्रफल क्या होगा?
उत्तर
वर्ग की भुजा = √2 x2y2
वर्ग का क्षे० = (भु०)2
= (√2 x2y2)2
= √2 × √2 × x2 × x2 × y2 × y2
= 2x4y4

प्रश्न 4.
किसी त्रिभुज का आधार 7xyz एवं संगत शीर्षलंब 2x है तो त्रिभुज का क्षेत्रफल क्या होगा?
उत्तर
∆ का आधार = 7xyz
शीर्षलंब = 2x
∆ का क्षेत्रफल = \(\frac {1}{2}\) × आधार × शीर्ष
= \(\frac {1}{2}\) × 7xyz × 2x
= 7x2yz

प्रश्न 5.
समबाहु त्रिभुज का क्षेत्रफल ज्ञात कीजिए यदि उसकी भुजा 3x है।
उत्तर
समबाहु ∆ का क्षे = \(\frac{\sqrt{3}}{4}\) × भुजा2
= \(\frac{\sqrt{3}}{4}\) × (3x)2
= \(\frac{\sqrt{3}}{4}\) × 9x2
= \(\frac{9 \sqrt{3}}{4} x^{2}\)

प्रश्न 6.
उस घन का आयतन क्या होगा जिसकी कोर 6a हो?
उत्तर
घन का कोर = 6a
घन का आयतन = (कोर)3
= (6a)3
= 216a3

प्रश्न 7.
यदि एक कलम का मूल्य x2y हो तो y2x कलम का मूल्य क्या होगा?
उत्तर
एक कलम का मू० = x2y
y2x का मू० = x2y × y2x = x3y3

प्रश्न 8.
यदि कोई व्यक्ति \(\frac{x^{2}}{2}\) km/h की चाल से चल रहा हो तो 2 घंटे में वह कितनी दूरी तय कर लेगा?
उत्तर
व्यक्ति की चाल = \(\frac{x^{2}}{2}\) km/h
समय = 2 घंटे
दूरी = चाल × समय
= \(\frac{x^{2}}{4}\) × 4 km
= x2 km

Bihar Board Class 8 Maths बीजीय व्यंजक Ex 9.3

प्रश्न 1.
दिए गए बीजीय व्यंजकों का गुणा कीजिए-
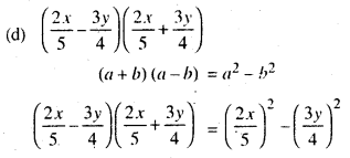
(a) (4a – 5b) × (2a – 6b)
(b) (1.5x – 0.5y) × (1.5x + 0.5y)
(c) (\(\frac{1}{2}\)pq – \(\frac{3}{2}\)q) × (pq – q)
(d) (a + b) × (3x – y)
(e) (a2b2 – c2d2) × (a2b2 + c2d2)
(f) (2a + 2b + c) (a + b – c2)
उत्तर
(a) (4a – 5b) × (2a – 6b)
= 4a × 2a – 4a × 6b – 5b × 2a + 5b × 6b
= 8a2 – 24ab – 10ba + 30b2
= 8a2 – 34ab + 30b2
(b) (1.5x – 0.5y) × (1.5x + 0.5y)
= 1.5x × 1.5x + 1.5x × 0.5y – 0.5y × 1.5x – 0.5y × 0.5y
= 2.25x2 + 0.75xy – 0.75xy – 0.25y2
= 2.25x2 – 0.25y2
= (1.5x)2 – (0.5y)2
Bihar Board Class 8 Maths Solutions Chapter 9 बीजीय व्यंजक Ex 9.3 Q1
(d) (a + b) × (3x – y)
= a × 3x – a × y + b × 3x – b × y
= 3ax – ay + 3bx – by
= 3ax – ay + 3bx – by
(e) (a2b2 – c2d2) × (a2b2 + c2d2)
= a2b2 × a2b2 + a2b2 × c2d2 – c2d2 × a2b2 – c2d2 × c2d2
= a4b4 + a2b2c2d2 – c2d2a2b2 – c4d4
= a4b4 – c4d4
(f) (2a + 2b + c) (a + b – c2)
= 2a × a + 2a × b – 2a × c2 + 2b × a + 2b × b – 2b × c2 + c × a + c × b – c × c2
= 2a2 + 2ab – 2ac2 + 2ab + 2b2 – 2bc2 + ac + bc – c3
= 2a2 + 4ab – 2ac2 + 2b2 – 2bc2 + ac + bc – c3

प्रश्न 2.
सरल कीजिए-
(a) (a – b)(a + b) – (a + b)(a + b)
(b) (a2 – b) (a – b2) + (a – b)2
(c) (2.3x – 1.7y) (2.3x + 1.7y + 5) – 5.29x2 + 2.89y2
(d) (a + b)2 – (a – b)2
(e) (x + y + z) × (x + y + z)
(f) (a – b) (b – c) + (b – c) (c – a) + (c – a) (a – b)
उत्तर
(a) (a – b)(a + b) – (a + b) (a + b)
= a × a + a × b – b × a – b × b – (a × a + a × b + b × a + b × b)
= a2 + ba – ab – b2 – (a2 + ab + ba + b2)
= a2 – b2 – a2 + ab + ba + b2
= 2ab
(b) (a2 – b) (a – b2) + (a – b)2
= a2 × a – a2 × b2 – b × a + b × b2 + a2 – 2ab + b2
= a3 – a2b2 – ab + b3 + a2 – 2ab + b2
= a3 – a2b2 – 3ab + a2 + b2 + b3
(c) (2.3x – 1.7y) (2.3x + 1.7y + 5) – 5.29x2 + 2.89y2
= (2.3x × 2.3x) + (2.3x × 1.7y) + (2.3x × 5) – (7.7y × 2.3x) – (1.7y × 1.7y) – (1.7y × 5) – 5.29x2 + 2.89y2
= 5.29x2 + 3.91xy + 11.5x – 5.29xy – 2.89y2 – 8.5y – 5.29x2 + 2.89y2
= 3.91xy + 11.5x – 5.29xy – 8.5y
= 11.5x – 8.5y – 1.38xy
(d) (a + b)2 – (a – b)2
= a2 + 2ab + b2 – (a2 – 2ab + b2)
= a2 + 2ab + b2 – a2 + 2ab – b2
= 4ab
(e) (x + y + z) (x + y + z)
= x × x + x × y + x × z + y × x + y × y + y × z + z × x + z × y + z × z
= x2 + xy + xz + yx + y2 + yz + xz + zy + z2
= x2 + 2xy + 2xz + 2zy + y2 + z2
(f) (a – b) (b – c) + (b – c) (c – a) + (c – a) (a – b)
= a × b – a × c – b × b + b × c + b × c – b × a – c × c + c × a + c × a – c × b – a × a + a × b
= ab – ac – b2 + bc + bc – ba – c2 + ac + ac – cb – a2 + ab
= ab + bc + ac – b2 – c2 – a2

प्रश्न 3.
किसी त्रिभुज का आधार एवं संगत शीर्षलम्ब क्रमशः (x + y)2 एवं (x + y)2 हैं तो उसका क्षेत्रफल क्या होगा?
उत्तर
क्षेत्रफल = \(\frac {1}{2}\) × आधार × शीर्ष
= \(\frac {1}{2}\) × (x + y)2 × (x – y)2
= \(\frac {1}{2}\) × x2 + 2xy + y2 (x2 – 2xy + y2)
= \(\frac {1}{2}\) × (x2 × x2 – x2 × 2xy + x2 × y2 + 2xy × x2 – 2xy × 2xy + 2xy × y2 × x2 – 2xy × y2 + y2 × y2)
= \(\frac {1}{2}\) × (x4 – 2x3y + x2y2 + 2x3y – 4x2y2 + 2xy3 + x2y2 – 2xy3 + y4)
= \(\frac {1}{2}\) × (x4 + 2x2y2 – 4x2y2 + y4)
= \(\frac {1}{2}\) × (x4 – 2x2y2 + y4)

प्रश्न 4.
आयत की लम्बाई उसकी चौड़ाई से (x + y) इकाई अधिक है। यदि चौड़ाई z इकाई हो तो आयत की लम्बाई व क्षेत्रफल के लिए व्यंजक लिखिए।
उत्तर
आयत की चौ० = z
आयत की ल० = x + y + z
आयत का क्षे० = ल० × चौ०
= (x + y + z) × z
= xz + yz + z2

प्रश्न 5.
यदि किसी लड़की ने (x + y) रु. प्रति किलो की दर से (m + n) किलोग्राम आलू एवं y रुपये प्रति किलोग्राम की दर से (m – n) किलो टमाटर खरीदे तो उसके कुल कितनी राशि देनी होगी?
उत्तर
आलू की कीमत = (x + y) × (m + n) = xm + xn + ym + yn
टमाटर की कीमत = y × (m – 1) = ym – yn
कुल कीमत = xm + xn + ym + yn + ym – yn
= xm + xn + 2ym

प्रश्न 6.
पिता की उम्र उसके पुत्र की उम्र के (m + n) गुणा है। यदि पुत्र की उम्र (x2 – y2) वर्ष हो तो पिता की उम्र के लिए व्यंजक लिखिए।
उत्तर
पुत्र की उम्र = (x2 – y2)
पिता की उम्र = (m + n) (x2 – y2)
= x2m – my2 + nx2 – ny2

Bihar Board Class 8 Maths बीजीय व्यंजक Ex 9.4

प्रश्न 1.
उचित सर्वसमिकाओं का उपयोग कर दिए गए व्यंजकों का गुणनफल प्राप्त कीजिए-
(a) (5x + 7y)2
(b) (a + \(\frac{a}{2}\))2
(c) (1.5x + 2.5y)2
(d) (x + \(\frac{1}{x}\))2
(e) (0.4a – 0.5b) (0.4a – 0.5b)
(f) \(\left(\frac{1}{3} a+\frac{2}{3} b\right)\left(\frac{1}{3} a+\frac{2}{3} b\right)\)
(g) (y2 – y) (y2 – y)
(h) (pqr – 3) (pqr + 3)
(i) (2x + 3) (2x – 5)
(j) (3.5x – y) (3.5x – y)
(k) \(\left(\frac{x}{2}-\frac{y}{2}\right)^{2}\)
(l) \(\left(\frac{1}{x}-\frac{1}{y}\right)^{2}\)
(m) \(\left(x-\frac{1}{x}\right)^{2}\)
उत्तर
(a) (5x + 7y)2
(a + b)2 = a2 + 2ab + b2
(5x + 7y)2 = (5x)2 + 2 × 5x × 7y + (7y)2
= 25x2 + 70xy + 49y2
(b) (a + \(\frac{a}{2}\))2
= a2 + 2 × a × \(\frac{a}{2}\) + (\(\frac{a}{2}\))2
= a2 + a2 + \(\frac{a^{2}}{4}\)
(c) (1.5x + 2.5y)2 = (1.5x)2 + 2 × 1.5x × 2.5y + (2.5y)2
= 2.25x2 + 7.5xy + 6.25y2
(d) \(\left(x+\frac{1}{x}\right)^{2}=x^{2}+2 \times 2 \times \frac{1}{2}+\left(\frac{1}{x}\right)^{2}\)
= x2 + 2 + \(\frac{1}{x^{2}}\)
(e) (0.4a – 0.5b) (0.4a – 0.5b)
= 0.4a × 0.4a – 0.4a × 0.5b – 0.5b × 0.4a – 0.5b × 0.5b
= 0.16a2 – 0.2ab – 0.2ab – 0.25b2
= 0.16a2 – 0.4ab – 0.25b2
Bihar Board Class 8 Maths Solutions Chapter 9 बीजीय व्यंजक Ex 9.4 Q1
(g) (y2 – y) (y2 – y)
= y2 × y2 – y2 × y – y × y2 + y × y
= y4 – y3 – y3 + y2
= y4 – 2y3 – y2
(h) (pqr – 3) (pqr + 3)
(a + b)(a – b) = a2 – b2
(pqr – 3) (pqr + 3) = (pqr)2 – 32
= p2q2r2 – 9
(i) (2x + 3) (2x – 5) = 2x × 2x – 2x × 5 + 3 × 2x – 3 × 5
= 4x2 – 10x + 6x – 15
= 4x2 – 4x – 15
(j) (3.5x – y) (3.5x – y)
= 3.5x × 3.5x – 3.5x × y – 3.5x × y + y × y
= 12.25x2 – 3.5xy – 3.5xy + y2
= 12.25x2 – 7xy + y2
Bihar Board Class 8 Maths Solutions Chapter 9 बीजीय व्यंजक Ex 9.4 Q1.1
Bihar Board Class 8 Maths Solutions Chapter 9 बीजीय व्यंजक Ex 9.4 Q1.2

प्रश्न 2.
सरल कीजिए-
(a) (x2 + y2)2
(b) (3a – 5b)2 – (3a + 5b)2
(e) (xyz + xy)2 – 2x2y2z
Bihar Board Class 8 Maths Solutions Chapter 9 बीजीय व्यंजक Ex 9.4 Q2
उत्तर
(a) (x2 + y2)2
= (x2)2 + 2(x2) (y2) + (y2)2
= x4 + 2x2y2 + y4
(b) (3a – 5b)2 – (3a + 5b)2
= (3a)2 – 2(3a) (5b) + (5b)2 – {(3a)2 + 2(3a) (5b) +(5b)2}
= 9a2 – 30ab + 25b2 – {9a2 + 30ab + 25b2}
= 9a2 – 30ab + 25b2 – 9a2 – 30ab – 25b2
= -60ab
(c) (xyz – xy)2 – 2x2y2z
= (xyz)2 – 2(xyz) (xy) + (xy)2 – 2x2y2z
= x2y2z2 + 2x2y2z2 + x2y2 – 2x2y2z
= x2y2z2 + x2y2
Bihar Board Class 8 Maths Solutions Chapter 9 बीजीय व्यंजक Ex 9.4 Q2.1
Bihar Board Class 8 Maths Solutions Chapter 9 बीजीय व्यंजक Ex 9.4 Q2.2
Bihar Board Class 8 Maths Solutions Chapter 9 बीजीय व्यंजक Ex 9.4 Q2.3

प्रश्न 3.
सर्वसमिकाओं के उपयोग से निम्नलिखित मान ज्ञात कीजिए
(a) 812
(b) (999)
(c) (52)
(d) (498)
(e) (5.5)2
(f) 191 × 209
(g) 10.5 × 9.5
(h) (101)2 – (99)2
(i) (1.5)2 – (0.5)2
उत्तर
(a) 812
= (80 + 1)2
= (80)2 + 2 × 80 × 1 + 12
= 6400 + 160 + 1
= 6561
(b) (999)2 = (1000 – 1)2
= (1000)2 – 2 × 1000 × 1 + 12
= 1000000 – 2000 + 1
= 998001
(c) (52)2
= (50 + 2)2
= (50)2 + 2 × 50 × 2 + 22
= 2500 + 200 + 4
= 2704
(d) (498)2
= (500 – 2)2
= (500)2 – 2 × 50 × 2 + 22
= 250000 – 2000 + 4
= 250000 – 1096
= 248904
(e) (5.5)2 = (6 – 0.5)2
= 62 – 2 × 6 × 0.5 + (0.5)2
=36 – 6 + 0.25
= 36.25 – 6
= 30.25
(f) 191 × 209
= (200 – 9) × (200 + 9)
= (200)2 – 92
= 40000 – 81
= 39919
(g) 10.5 × 9.5
= (10 + 0.5) × (10 – 0.5)
= (10)2 – (0.5)2
= 100 – 0.25
= 99.75
(h) (101)2 – (99)2
= (101 + 99) (101 – 99)
= (200) (2)
= 400
(i) (1.5)2 – (0.5)2
= (1.5 + 0.5) (1.5 – 0.5)
= 2 × 1
= 2

प्रश्न 4.
सर्वसमिका (x + a) (x + b) = x2 + (a + b)x + ab का उपयोग कर निम्नलिखित का गुणनफल एवं मान ज्ञात कीजिए-
(a) (x + 3y) (x + 5y)
(b) (3x + 7) (3x + 5)
(c) (x – 5)(x + 4)
(d) (2x – 7) (2x – 9)
(e) 52 × 53
(f) 3.1 × 3.2
उत्तर
(a) (x + 3y) (x + 5y)
= x2 + (3y + 5y)x + 3y × 5y
= x2 + (8y)x + 15y2
= x2 + 8yx + 15y2
(b) (3x + 7) (3x + 5)
= (3x)2 + (7 + 5)3x + 7 × 5
= 9x2 + 36x + 35
(c) (x – 5) (x + 4)
= x2 + (-5 + 4)x + (-5) (4)
= x2 – x – 20
(d) (2x – 7) (3x – 9)
= (2x)2 + (-7 – 9) 2x + (-7) (-9)
= 4x2 + 32x + 63
(e) 52 × 53
= (50 + 2) (50 + 3)
= (50)2 + (2 + 3) 50 + 2 × 3
= 2500 + 250 + 6
= 2756
(f) 3.1 × 3.2
= (3 + 0.1) (3 + 0.2)
= 32 + (0.1 + 0.2)3 +0.1 × 0.2
= 9 + (0.3)3 + 0.02
= 9 + 0.9 + 0.02
= 9.92