Bihar Board Class 9 Maths Solutions Chapter 12 हीरोन का सूत्र Ex 12.1 Text Book Questions and Answers.
BSEB Bihar Board Class 9 Maths Solutions Chapter 12 हीरोन का सूत्र Ex 12.1
![]()
प्रश्न 1.
एक यातायत संकेत बोर्ड पर ‘आगे स्कूल है’ लिखा है और वह भुजा वाले एक समबाहु त्रिभुज के आकार का है। हीरोन के सूत्र का प्रयोग करके इस बोर्ड का क्षेत्रफल ज्ञात कीजिए। यदि संकेत बोर्ड का परिमाप 180 cm है. तो इसका क्षेत्रफल क्या होगा?
उत्तर:
समबाहु त्रिभुज की भुजा = a
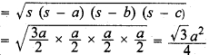
हम जानते हैं,
s = \(\frac{1}{2}\) (a + a + a) = \(\frac{3a}{2}\)
अव: त्रिभुज का क्षेत्रफल

त्रिभुज का परिमाप = 180 cm
a + a + a = 180 ⇒ 3a = 180 ⇒ a = 60 cm
अत: अभीष्ट क्षेत्रफल = \(\frac{√3}{4}\) (60)² = 900 √3 cm².
![]()
प्रश्न 2.
किसी फ्लाईओवर (flyover) की त्रिभुजाकार दीवार को विज्ञापनों के लिए प्रयोग किया जाता है। दीवार की भुजाओं की लम्बाइयाँ 122 m, 22 m और 120 m. (पाठ्य पुस्तक में आकृति देखिए)। इस विज्ञापन से प्रति वर्ष Rs 5000 प्रति m² की प्राप्ति होती है। एक कम्पनी ने एक दीवार को विज्ञापन देने के लिए 3 महीने के लिए किराए पर लिया। उसने कुल कितना किराया दिया?
उत्तर:
माना दीवार की भुजाएँ a = 120 m, b = 22 m तथा c = 122 m
∵ s = \(\frac{1}{2}\) (a + b + c)
= \(\frac{1}{2}\) (120 + 22 + 122) = 132 m
अत: त्रिभुज का क्षेत्रफल

= 10 × 11 × 12
= 1320 m²
किराए की दर = Rs 5000 प्रति m² प्रति वर्ष
⇒ 3 महीने के लिए कम्पनी द्वारा विज्ञापन के लिए दिया गया किराया = Rs (5000 × 1320 – \(\frac{3}{12}\)) = Rs 16,50,000
![]()
प्रश्न 3.
किसी पार्क में एक फिसलपट्टी (slide) बनी हुई है। इसकी पाश्वीय दीवारों (sidewalls) में से एक दीवार पर किसी रंग से पेंट किया गया है और उस पर पार्कको हरा-भरा और साफ रखिए” लिखा हुआ है। (पाठ्य पुस्तक में आकृति देखिए)। यदि इस दीवार की विमाएं 15 m, 11 m और 6 m, तो रंग से पेंट ए भाग का क्षेत्रफरल ज्ञात कीजिए।
उत्तर:
नाना दीवार की भुजाएँ – 15 m, b = 11 m तथा c = 6 m
∵s = \(\frac{1}{2}\) (a + b + c) = \(\frac{1}{2}\) (15 + 11 + 6) = 16 m
∴ त्रिभुज का क्षेत्रफल

अतरंग से पेट हुए भाग का क्षेत्रफल
= दीवार का के. = 20√2 m²
![]()
प्रश्न 4.
उस त्रिभुज का क्षेत्रफल ज्ञात कीजिए जिसकी दो भुजाएं 18 cm और 10 cm तथा उसका परिमाप 42 cm है।
उत्तर:
माना त्रिभुज की तीसरी भुजा c है।
परिमाप = 42
∴ a + b + c = 42
18 + 1 + c = 43
⇒ c = 14 cm
हम जानते हैं, s = \(\frac{1}{2}\) (a + b + c)
= \(\frac{1}{2}\) (18 + 10 + 14) = 21 cm
अत: प्रिभुज का क्षेत्रफल

![]()
प्रश्न 5.
एक त्रिभुज की भुजाओंका अनुपात 12 : 17 : 25 है और उसका परिमाप 540 cm है। इस त्रिभुज का क्षेत्रफल ज्ञात कीजिए।
उत्तर:
माना त्रिभुज ABC की भुजाएँ तथा हैं।
∴ a : b : c = 12 : 17 : 25.
⇒ \(\frac{a}{12}\) = \(\frac{b}{17}\) = \(\frac{c}{25}\) = k (माना)
⇒ a = 12k, b = 17k, c = 25k
तथा परिमार = 540 cm
⇒ a + b + c = 540
⇒ 12k + 17k + 25k = 540 ⇒ k = 10
⇒ k = 10
तथा a = 12k = 12 × 10 = 120 cm
b = 17k = 17 × 10 = 170 cm
c = 25k = 25 × 10 = 250 cm
s = \(\frac{1}{2}\) (a + b + c)
= \(\frac{1}{2}\) × (540) = 270 cm
अत: त्रिभुज का क्षेत्रफल

= 100 × 3 × 1 × 5 × 2 = 9000 cm².
![]()
प्रश्न 6.
एक समद्विबाहु त्रिभुज का परिमाप 30 cm है और उसकी बराबर भुजाएँ 12 cm लम्बाई की है। इस त्रिभुज का क्षेत्रफल ज्ञात कीजिए।
उत्तर:
माना बराबर भुनाएँ a = b = 12 cm तथा तीसरी भुजा c है।
परिमाप = 30
⇒ a + b + 0 = 30
⇒ 12 + 12 + c = 30
⇒ c = 6 cm
हम जानते हैं,
s = \(\frac{1}{2}\) (a + b + c) = \(\frac{1}{2}\) (12 + 12 + 6) = 15 cm
∴ त्रिभुज का क्षेत्रफल

![]()