BSEB Bihar Board Class 9 Science Solutions Chapter 10 गुरुत्वाकर्षण
Bihar Board Class 9 Science Solutions Chapter 10 गुरुत्वाकर्षण Textbook Questions and Answers, Additional Important Questions, Notes.
Bihar Board Class 9 Science गुरुत्वाकर्षण InText Questions and Answers
प्रश्न शृंखला # 01 (पृष्ठ संख्या 149)
प्रश्न 1.
गुरुत्वाकर्षण का सार्वत्रिक नियम लिखिए।
उत्तर:
गुरुत्वाकर्षण के सार्वत्रिक नियम के अनुसार, द्रव्यमान M व m के दो पिण्ड जो एक-दूसरे से दूरी d पर स्थित हैं, उनके बीच लगने वाला आकर्षण बल F, उनके द्रव्यमानों के गुणनफल के अनुक्रमानुपाती तथा दोनों पिण्डों के बीच की दूरी (d) के व्युत्क्रमानुपाती होता है। अर्थात्, .
F ∝ M x m
F ∝ \(\frac{1}{d^{2}}\)
F ∝ Mm \(\frac{\mathrm{M} m}{d^{2}}\)
प्रश्न 2.
पृथ्वी तथा उसके पृष्ठ पर रखी किसी वस्तु के बीच लगने वाले गुरुत्वाकर्षण बल का परिमाण ज्ञात करने का सूत्र लिखिए।
उत्तर:
अगर M पृथ्वी का द्रव्यमान है व m उसके पृष्ठ पर रखी किसी वस्तु का, r पृथ्वी की त्रिज्या है तो गुरुत्वाकर्षण के सार्वत्रिक नियम के अनुसार, पृथ्वी व वस्तु के बीच लगने वाला गुरुत्वाकर्षण बल निम्न सूत्र द्वारा व्यक्त होगा –
F = GMm/r2
यहाँ G सार्वत्रिक गुरुत्वीय स्थिरांक है।
G = 6.67 x 10-11 Nm2kg-2
प्रश्न श्रृंखला # 02 (पृष्ठ संख्या 152)
प्रश्न 1.
मुक्त पतन से क्या तात्पर्य है ?
उत्तर:
पृथ्वी वस्तुओं को अपनी ओर आकर्षित करती है। पृथ्वी के इस आकर्षण बल को गुरुत्वीय बल कहते हैं। अतः जब वस्तुएँ पृथ्वी की ओर केवल इसी बल के कारण गिरती हैं, हम कहते हैं कि वस्तुएँ मुक्त पतन में हैं।
![]()
प्रश्न 2.
गुरुत्वीय त्वरण से क्या तात्पर्य है ?
उत्तर:
जब कोई वस्तु पृथ्वी की ओर किसी ऊँचाई से मुक्त पतन करती है तब पृथ्वी के आकर्षण बल के कारण उसके वेग के परिमाण में परिवर्तन होता है। वेग में कोई भी परिवर्तन त्वरण उत्पन्न करता है। जब यह त्वरण पृथ्वी के गुरुत्वीय बल के कारण है इसलिए इस त्वरण को गुरुत्वीय त्वरण कहते हैं। इस g से निर्दिष्ट करते हैं (g = 9.8 ms-2)।
प्रश्न शृंखला # 03 (पृष्ठ संख्या 153)
प्रश्न 1.
किसी वस्तु के द्रव्यमान तथा भार में क्या अन्तर है ?
उत्तर:
द्रव्यमान तथा भार में अन्तर –

प्रश्न 2.
किसी वस्तु का चन्द्रमा पर भार पृथ्वी के भार का 1 गुना क्यों होता है ?
उत्तर:
चन्द्रमा का भार पृथ्वी के 1/100 गुना व त्रिज्या 1/4 गुणा है। चन्द्रमा पर किसी वस्तु का भार वह बल है जिससे चन्द्रमा वस्तु को आकर्षित करता है। चूंकि चन्द्रमा का द्रव्यमान पृथ्वी की अपेक्षा काफी कम है अतः वह वस्तुओं पर कम आकर्षण बल लगाता है। अतः किसी वस्तु का चन्द्रमा पर भार पृथ्वी के भार का है गुणा है।
प्रश्न शृंखला # 04 (पृष्ठ संख्या 157)
प्रश्न 1.
एक पतली तथा मजबूत डोरी से बने पट्टे की सहायता से स्कूल बैग को उठाना कठिन होता है, क्यों ?
उत्तर:
एक पतली डोरी से बने पट्टे की सहायता से स्कूल बैग को उठाना कठिन होता है क्योंकि पतला पट्टा कन्धों पर अधिक दाब लगाता है। ऐसा इसलिए है क्योंकि दाब उस वस्तु के क्षेत्रफल के अनुक्रमानुपाती होता है जिस पर बल लग रहा है। जितना कम क्षेत्रफल होगा उतना ज्यादा दाब लगेगा। पतली पट्टी पर लगने वाला दाब अधिक होगा क्योंकि उसका क्षेत्रफल कम है। अत: कन्धों पर लगने वाला दाब अत्यधिक होगा।
![]()
प्रश्न 2.
उत्प्लावकता से आप क्या समझते है ?
उत्तर:
किसी वस्तु को तरल में डुबोने पर तरल द्वारा उस वस्तु पर ऊपर की तरफ लगने वाला बल उत्प्लावक बल कहलाता है व यह प्रक्रिया उत्प्लावकता कहलाती है।
प्रश्न 3.
पानी की सतह पर रखने पर कोई वस्तु क्यों तैरती या डूबती है ? .
उत्तर:
पानी की सतह पर रखने पर कोई वस्तु तैरती है अगर उसका घनत्व पानी के घनत्व से कम होता है। अगर वस्तु का घनत्व पानी के घनत्व से अधिक होता है तो वस्तु पानी में डूब जाती है।
प्रश्न शृंखला # 05 (पृष्ठ संख्या 158)
प्रश्न 1.
एक तुला (Weighing machine) पर आप अपना द्रव्यमान 42 kg नोट करते हैं। क्या आपका द्रव्यमान 42 kg से अधिक है या कम ?
उत्तर:
तुला पर खड़े होने पर उस पर नीचे की ओर बल लगता है व साथ ही ऊपर की तरफ भी एक बल कार्य करता है जिसे उत्प्लावक बल कहते हैं। अतः वस्तु थोड़ा ऊपर की ओर खिसक जाती है जिसके कारण उसके भार में कमी आती है। अतः भारमापी का पाठ्यांक असल पाठ्यांक से कम होगा।
प्रश्न 2.
आपके पास एक रुई का बोरा तथा एक लोहे की छड़ है। तुला पर मापने पर दोनों 100 kg द्रव्यमान दर्शाते हैं। वास्तविकता में एक दूसरे से भारी है। क्या आप बता सकते हैं कि कौन-सा भारी है और क्यों ?
उत्तर:
रुई का बोरा लोहे की छड़ से अधिक भारी है। रुई के बोरे पर लगने वाला हवा का उत्प्लावक बल लोहे की छड़ की तुलना में अधिक होगा क्योंकि उसका क्षेत्रफल अधिक है। अतः भारमापी उसके वास्तविक द्रव्यमान से कम द्रव्यमान दर्शाएगा।
क्रियाकलाप 10.3 (पृष्ठ संख्या 150)
प्रश्न 1.
कागज की एक शीट तथा एक पत्थर लीजिए। दोनों को किसी इमारत की पहली मंजिल से एक साथ गिराइए। क्या दोनों धरती पर एक साथ पहुँचते हैं ?
उत्तर:
कागज धरती पर पत्थर की अपेक्षा कुछ देर से पहुँचता है। ऐसा वायु के प्रतिरोध के कारण होता है। गिरती हुई गतिशील वस्तुओं पर घर्षण के कारण वायु प्रतिरोध लगाती है। कागज पर लगने वाला वायु का प्रतिरोध पत्थर पर लगने वाले प्रतिरोध से अधिक होता है।
![]()
क्रियाकलाप 10.4 (पृष्ठ संख्या 155)
प्रश्न 2.
क्या पृथ्वी का गुरुत्वाकर्षण बल पानी में डूबी बोतल पर कार्यरत है ? यदि ऐसा है तो बोतल छोड़ देने पर पानी में डूबी ही क्यों नहीं रहती ? आप बोतल को पानी में कैसे डुबो सकते हैं ?
उत्तर:
पृथ्वी का गुरुत्वाकर्षण बल बोतल पर नीचे की दिशा में लगता है। इसके कारण बोतल नीचे की दिशा में खिंचती है। लेकिन पानी बोतल पर ऊपर की ओर बल लगाता है। अत: बोतल ऊपर की दिशा में धकेली जाती है। वस्तु का भार पृथ्वी के गुरुत्वाकर्षण बल के बराबर होता है।
जब बोतल डुबोई जाती है तो बोतल पर पानी द्वारा लगने वाला पर राखए। ऊपर की दिशा में बल इसके भार से अधिक है। इसलिए छोड़ने पर यह ऊपर उठती है। बोतल को पूरी तरह डुबोए रखने के लिए नीचे की तरफ बाहर से बल लगाना होगा। यह बल पानी द्वारा ऊपर की ओर लगने वाले बल तथा बोतल के भार के अन्तर के बराबर होना चाहिए।
क्रियाकलाप 10.5 (पृष्ठ संख्या 156)
प्रश्न 3.
पानी से भरा एक बीकर लीजिए। एक लोहे की कील लीजिए और इसे पानी के पृष्ठ पर रखिए। देखिए क्या होता है ?
उत्तर:
कील डूब जाती है क्योंकि कील पर नीचे की ओर लगने वाला गुरुत्वाकर्षण बल, कील पर पानी द्वारा लगाए गए उत्प्लावन बल से अधिक है।
क्रियाकलाप 10.6 (पृष्ठ संख्या 156)
प्रश्न 4.
पानी से भरा बीकर लीजिए।
एक कील तथा समान द्रव्यमान का एक कॉर्क का टुकड़ा लीजिए। इन्हें पानी के पृष्ठ पर रखिए। .. देखिए क्या होता है ?
उत्तर:
कॉर्क तैरता है जबकि कील डूब जाती है। ऐसा कॉर्क व कील के घनत्वों में अन्तर के कारण है। कॉर्क का घनत्व पानी के घनत्व से कम है अतः कॉर्क पर पानी का उत्प्लावन बल, कॉर्क के भार से अधिक है। इसलिए यह तैरता है। लोहे की कील का घनत्व पानी के घनत्व से अधिक है। या पानी का उत्प्लावन बल लोहे की कील के भार से कम है। इसलिए यह डूब जाती है।
क्रियाकलाप 10.7 (पृष्ठ संख्या 157)
प्रश्न 5.
पत्थर के भार के कारण रबड़ की डोरी की लम्बाई में वृद्धि या कमानीदार तुला का पाठ्यांक नोट कीजिए।
उत्तर:
पत्थर के भार के कारण रबड़ की डोरी की लम्बाई में वृद्धि होती है।
प्रश्न 6.
अब पत्थर को एक बर्तन में रखे पानी में धीरे से डुबोइए। प्रेक्षण कीजिए कि डोरी की लम्बाई में या तुला की माप में क्या परिवर्तन होता है ?
उत्तर:
जैसे ही पत्थर को धीरे-धीरे पानी में नीचे ले जाते हैं, डोरी की लम्बाई में भी कमी आती है। जब पत्थर पूरी तरह पानी में डूब जाता है तो कोई परिवर्तन दिखाई नहीं देता।
![]()
प्रश्न 7.
डोरी के प्रसार या तुला की माप में कमी से आप क्या निष्कर्ष निकालते हैं ?
उत्तर:
रबड़ की डोरी की लम्बाई में वृद्धि, पत्थर के भार के कारण होती है। पत्थर को पानी में डुबोने पर लम्बाई में वृद्धि में कमी आती है क्योंकि पत्थर पर ऊपर की दिशा में पानी का उत्प्लावन बल लगता है जिसके कारण रबड़ की डोरी पर लगने वाला नेट बल कम हो जाता है। इसलिए डोरी की लम्बाई में वृद्धि में कमी आती है।
Bihar Board Class 9 Science गुरुत्वाकर्षण Textbook Questions and Answers
प्रश्न 1.
यदि दो वस्तुओं के बीच की दूरी को आधा कर दिया जाए तो उनके बीच गुरुत्वाकर्षण बल किस प्रकार बदलेगा ?
उत्तर:
गुरुत्वाकर्षण के सार्वत्रिक नियम के अनुसार, द्रव्यमान M व m के दो पिण्डों पर लगने वाला गुरुत्वाकर्षण बल उनके द्रव्यमानों के गुणनफल के अनुक्रमानुपाती व उनके बीच की दूरी d के व्युत्क्रमानुपाती होता है।
F ∝ \(\frac{\mathrm{M} m}{d^{2}}\)
या F α \(\frac{\mathrm{GMm}}{d^{2}}\)
अब अगर दूरी d को आधा कर दिया जाए तो दो वस्तुओं के बीच लगने वाला गुरुत्वाकर्षण बल होगा –
F ∝ \(\frac{4 \times \mathrm{GMm}}{d^{2}}\)
F = 4F
अतः अगर दो वस्तुओं के बीच की दूरी को आधा कर दिया जाए तो उनके बीच गुरुत्वाकर्षण बल चार गुना बढ़ जाएगा।
प्रश्न 2.
सभी वस्तुओं पर लगने वाला गुरुत्वीय बल उनके द्रव्यमान के समानुपाती होता है। फिर एक भारी वस्तु हल्की वस्तु के मुकाबले तेजी से क्यों नहीं गिरती ?
उत्तर:
सभी वस्तुएँ पृथ्वी पर एक स्थिर त्वरण से, जिसे गुरुत्वीय त्वरण कहते हैं, गिरती हैं। हवा की अनुपस्थिति में गुरुत्वीय त्वरण का मान स्थिर होता है व वस्तु के द्रव्यमान पर निर्भर नहीं करता। अतः भारी वस्तुएँ हल्की वस्तुओं के मुकाबले तेजी से नहीं गिरती।
![]()
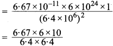
प्रश्न 3.
पृथ्वी तथा उसके पृष्ठ पर रखी किसी 1 kg की वस्तु के बीच गुरुत्वीय बल का परिमाण क्या होगा? (पृथ्वी का द्रव्यमान 6 x 1024 kg है तथा पृथ्वी की त्रिज्या 6.4 x 10 m है)।
हल:
दिया है, वस्तु का द्रव्यमान, m = 1 kg
पृथ्वी का द्रव्यमान, M = 6 x 1024 kg
पृथ्वी की त्रिज्या, r = 6 4 x 106 m
पृथ्वी तथा वस्तु के बीच लगने वाला गुरुत्वीय बल
F = \(\frac{\mathrm{GMm}}{r^{2}}\)

= 9.8 N (approx.)
प्रश्न 4.
पृथ्वी तथा चन्द्रमा एक-दूसरे को गुरुत्वीय बल से आकर्षित करते हैं। क्या पृथ्वी जिस बल से चन्द्रमा को आकर्षित करती है वह बल, उस बल से जिससे चन्द्रमा पृथ्वी को आकर्षित करता है बड़ा है या छोटा है या बराबर है ? बताइए। क्यों ?
उत्तर:
गुरुत्वाकर्षण के सार्वत्रिक नियम के अनुसार, दो वस्तुएँ एक-दूसरे को बराबर बल से आकर्षित करती हैं, किन्तु विपरीत दिशाओं में पृथ्वी चन्द्रमा को उतने ही बल से आकर्षित करती है जितने बल से चन्द्रमा पृथ्वी को आकर्षित करता है।
प्रश्न 5.
यदि चन्द्रमा पृथ्वी को आकर्षित करता है तो पृथ्वी चन्द्रमा की ओर गति क्यों नहीं करती ?
उत्तर:
गति के तीसरे नियम के अनुसार चन्द्रमा भी पृथ्वी को आकर्षित करता है। लेकिन गति के दूसरे नियम के अनुसार, किसी दिए हुए बल के लिए त्वरण वस्तु के द्रव्यमान के व्युत्क्रमानुपाती होता है।
F ∝ ma
a ∝ \(\frac {F}{ M }\)
अत: पृथ्वी का द्रव्यमान चन्द्रमा से बहुत अधिक होने के कारण पृथ्वी का चन्द्रमा की ओर त्वरण बहुत कम या नगण्य होता है। यही कारण है कि पृथ्वी चन्द्रमा की ओर गति नहीं करती।
![]()
प्रश्न 6.
दो वस्तुओं के बीच लगने वाले गुरुत्वाकर्षण बल का क्या होगा, यदि
1. एक वस्तु का द्रव्यमान दो गुना कर दिया जाए ?
2. वस्तुओं के बीच की दूरी दो गुनी अथवा तीन गुनी कर दी जाए?
3. दोनों वस्तुओं के द्रव्यमान दो गुने कर दिए जाएँ ?
उत्तर:
दो वस्तुओं के बीच लगने वाले गुरुत्वाकर्षण बल (F) को निम्न सूत्र द्वारा व्यक्त किया जाता है –
F = \(\frac{\mathrm{GMm}}{r^{2}}\)
जहाँ M, m दो वस्तुओं के द्रव्यमान हैं व r उनके बीच की दूरी है, G गुरुत्वीय स्थिरांक है।
1. एक वस्तु का द्रव्यमान दो गुना करने पर
M = 2M
F = \(\frac{\mathrm{2GMm}}{r^{2}}\)
या F = 2F
अतः इस स्थिति में गुरुत्वाकर्षण बल दो गुना हो जाएगा।
2. वस्तुओं के बीच की दूरी दो गुनी करने पर
या r = 2r
F = \(\frac{\mathrm{2GMm}}{r^{2}}\)
F = \(\frac {1}{ 4 }\)F
अतः वस्तुओं के बीच की दूरी दो गुनी करने पर गुरुत्वाकर्षण बल F = \(\frac {1}{ 4 }\) हो जाएगा।
वस्तुओं के बीच की दूरी तीन गुनी करने पर
r = 3r
F = \(\frac{\mathrm{GMm}}{3r^{2}}\)
= \(\frac {1}{9}\)\(\frac{\mathrm{GMm}}{r^{2}}\)
F = \(\frac {1}{9}\)F
अतः वस्तुओं के बीच की दूरी तीन गुनी करने पर गुरुत्वाकर्षण बल गुने जाएगा।
![]()
3. दोनों वस्तुओं के द्रव्यवमान दो गुने करने पर या जब M= 2M, m = 2m

F’ = 4F
अत: दोनों वस्तुओं के द्रव्यमान दो गुने करने पर उनके बीच लगने वाला गुरुत्वाकर्षण बल चार गुना हो जाएगा।
प्रश्न 7.
गुरुत्वाकर्षण के सार्वत्रिक नियम के क्या महत्व हैं ?
उत्तर:
गुरुत्वाकर्षण का सार्वत्रिक नियम अनेक ऐसी परिघटनाओं की सफलतापूर्वक व्याख्या करता है जो असम्बद्ध मानी जाती थीं
- हमें पृथ्वी से बाँधे रखने वाला बल;
- पृथ्वी के चारों ओर चन्द्रमा की गति;
- सूर्य के चारों ओर ग्रहों की गति; तथा
- चन्द्रमा तथा सूर्य के कारण ज्वार-भाटा।
प्रश्न 8.
मुक्त पतन का त्वरण क्या है ?
उत्तर:
जब कोई वस्तु पृथ्वी की ओर गिरती है तो पृथ्वी के गुरुत्वाकर्षण बल के कारण उसके वेग के परिमाण में परिवर्तन होता है। वेग में कोई भी परिवर्तन त्वरण उत्पन्न करता है। जब भी कोई वस्तु पृथ्वी की ओर गिरती है, त्वरण कार्य करता है। इस त्वरण को मुक्त पतन का त्वरण कहते हैं जो पृथ्वी के गुरुत्वीय बल के कारण होता है।
![]()
प्रश्न 9.
पृथ्वी तथा किसी वस्तु के बीच गुरुत्वीय बल को हम क्या कहेंगे?
उत्तर:
पृथ्वी द्वारा किसी वस्तु पर लगाया जाने वाला आकर्षण बल गुरुत्वीय बल कहलाता है। इसको वस्तु का भार कहते हैं।
प्रश्न 10.
एक व्यक्ति A अपने मित्र के निर्देश पर ध्रुवों पर कुछ ग्राम सोना खरीदता है। वह इस सोने को विषुवत वृत पर अपने मित्र को देता है। क्या उसका मित्र खरीदे हुए सोने के भार से सन्तुष्ट होगा ? यदि नहीं, तो क्यों ? (संकेत : ध्रुवों पर g का मान विषुवत् वृत्त की अपेक्षा अधिक है।)
उत्तर:
पृथ्वी पर किसी वस्तु का भार = x वस्तु का द्रव्यमान
W = mg
m = वस्तु का द्रव्यमान
g = गुरुत्वीय त्वरण
गुरुत्वीय त्वरण का मान ध्रुवों पर विषुवत वृत्त की अपेक्षा अधिक होता है। अतः विषुवत वृत्त पर सोने का भार ध्रुवों की अपेक्षा कम होगा। इसी कारण अमित का मित्र खरीदे हुए सोने के भार से सन्तुष्ट नहीं होगा।
प्रश्न 11.
एक कागज की शीट उसी प्रकार की शीट को मरोड़कर बनाई गई गेंद से धीमी क्यों गिरती है ?
उत्तर:
जब एक कागज की शीट को मरोड़कर गेंद बनाई जाती है तो उसका घनत्व बढ़ जाता है। अतः हवा द्वारा उसकी गति पर लगाया गया प्रतिकर्षण कम हो जाता है जिससे वह कागज की शीट की अपेक्षा तेज गति से नीचे गिरती है।
![]()
प्रश्न 12.
चन्द्रमा की सतह पर गुरुत्वीय बल, पृथ्वी की सतह पर गुरुत्वीय बल की अपेक्षा 1/6 गुना है। एक 10 kg की वस्तु का चन्द्रमा पर तथा पृथ्वी पर न्यूटन में भार क्या होगा?
हल:
चन्द्रमा की सतह पर वस्तु का भार
= \(\frac { 1 }{ 6 }\) x वस्तु का पृथ्वी पर भार
W = M x g
g = 9.8 m/s2
अत: 10 kg की वस्तु का पृथ्वी पर भार
= 10 x 9.8 = 98N
उसी वस्तु का चन्द्रमा पर भार = \(\frac {98}{ 6 }\)
= 16.3N
प्रश्न 13.
एक गेंद ऊर्ध्वाधर दिशा में ऊपर की ओर 49 m/s के वेग से फेंकी जाती है। परिकलन कीजिए
1. अधिकतम ऊँचाई जहाँ तक कि गेंद पहुँचती है।
2. पृथ्वी की सतह पर वापस लौटने में लिया गया कुल समय।
हल:
1. हम जानते हैं,
v2 = u2 + 2gs
जहाँ u = गेंद का प्रारम्भिक वेग
v = गेंद का अन्तिम वेग
s = गेंद की ऊँचाई
g = गुरुत्वीय त्वरण
अधिकतम ऊँचाई पर अन्तिम वेग v = 0
व दिया है, u = 49 m/s
ऊर्ध्वाधर दिशा में,
![]()
g =- 9.8 m/s2
अगर अधिकतम ऊँचाई जहाँ तक गेंद पहुँचती है = h
समीकरण, v2 – u2 = 2gs से
02 – (49)2 = 2 x (-9.8) x h
h = \(\frac{49 \times 49}{2 \times 9 \cdot 8}\) = 122.5 m
अतः गेंद 122.5 m की अधिकतम ऊँचाई तक पहुँचती
2. पृथ्वी की सतह पर वापस लौटने में लिया गया समय अधिकतम ऊँचाई तक पहुँचने वाला समय यदि यह समय t है तो गेंद को ऊँचाई 122.5 m तक पहुँचने में लगने वाला समय निम्न समीकरण द्वारा ज्ञात किया जा सकता है –
v = u + gt
0 = 49 + (-9.8) x t
9.8t = 49
t = \(\frac {49}{9.8}\) = 55
चूँकि गिरने व ऊँचाई तक पहुँचने वाला समय बराबर होता है अतः गेंद द्वारा पृथ्वी की सतह पर लौटने में लिया गया कुल समय
= 5 +5 = 10s
प्रश्न 14.
19.6 m ऊँची एक मीनार की चोटी से एक पत्थर छोड़ा जाता है। पृथ्वी पर पहुँचने से पहले इसका अन्तिम वेग ज्ञात कीजिए।
हल:
गति के समीकरण द्वारा,
v2 – u2 = 2gs
यहाँ पत्थर का प्रारम्भिक वेग, u = 0
ऊँचाई, s = 19.6 m
गुरुत्वीय त्वरण, g = 9.8 m/s2
अन्तिम वेग, v = ?
समीकरण में उपर्युक्त मान रखने पर
v2 = 02 + 2 x 9.8 x 19.6 = (19.6)2
⇒ v = \(\sqrt{(19 \cdot 6)^{2}}\)
= 19.6 m/s
अतः पृथ्वी पर पहुँचने से पहले पत्थर का अन्तिम वेग 19.6 m/s है।
![]()
प्रश्न 15.
कोई पत्थर ऊर्ध्वाधर दिशा में ऊपर की ओर 40 m/s के प्रारम्भिक वेग से फेंका गया है। g = 10 m/s2 लेते हुए पत्थर द्वारा पहुँची अधिकतम ऊँचाई ज्ञात कीजिए। नेट विस्थापन तथा पत्थर द्वारा चली गई कुल दूरी कितनी होगी?
हल:
गुरुत्वाकर्षण के प्रभाव में गति के समीकरण से,
v2 – u2 = 2gs
जहाँ, u = पत्थर का प्रारम्भिक वेग = 40 m/s
v = पत्थर का अन्तिम वेग = 0
s = पत्थर की ऊँचाई
g= गुरुत्वीय त्वरण = -10 m/s2
माना कि पत्थर की अधिकतम ऊँचाई h है।
अतः v2 – u2 = 2gh से
0- (40)2 = 2 x (-10) x h
h = 40 x 40 = 80 m
अतः ऊपर जाने व नीचे आने में पत्थर द्वारा चली गई कुल दूरी = 80 + 80 = 160 m
ऊपर जाने व नीचे आने में पत्थर का कुल विस्थापन = 80 + (- 80) = 0
![]()
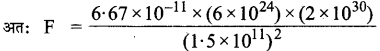
प्रश्न 16.
पृथ्वी तथा सूर्य के बीच गुरुत्वाकर्षण बल का परिकलन कीजिए। दिया है, पृथ्वी का द्रव्यमान = 6 x 1024 kg तथा सूर्य का द्रव्यमान = 2 x 1030 kg। दोनों के बीच औसत दूरी 1.5 x 1011 m है।
हल:
दिया है, पृथ्वी का द्रव्यमान, ME = 6 x 1024 kg
सूर्य का द्रव्यमान, Ms = 2 x 1030 kg
पृथ्वी तथा सूर्य के बीच की औसत दूरी, d=1.5 x 1011m
गुरुत्वाकर्षण के सार्वत्रिक नियम से,
F = \(\frac{\mathrm{GM}_{\mathrm{E}} \mathrm{M}_{\mathrm{s}}}{d^{2}}\)

= 3.56 x 1022 N
प्रश्न 17.
कोई पत्थर 100 m ऊँची किसी मीनार की चोटी से गिराया गया और उसी समय कोई दूसरा पत्थर 25 m/s के वेग से ऊर्ध्वाधर दिशा में ऊपर की ओर फेंका गया। परिकलन कीजिए कि दोनों पत्थर कब और कहाँ मिलेंगे।
हल:
माना कि दोनों पत्थर बिन्दु t पर मिलते हैं व उनकी जमीन से ऊँचाई h है। मीनार की ऊँचाई, h = 100 m. पहला पत्थर जो मीनार की छत से गिराया गया उसके द्वारा तय की गई दूरी x निम्न समीकरण द्वारा ज्ञात की जा सकती है –
s = ut + \(\frac {1}{2}\) gt2
5 = 100 – x
100 – x = ut + \(\frac {1}{2}\) gt2 ….(1)
ऊपर की तरफ फेंके गए पत्थर द्वारा तय की गई दूरी
x = ut – \(\frac {1}{2}\) gt2
यहाँ प्रारम्भिक वेग,
u = 25 m/s
![]()
अतः x = 25t – \(\frac {1}{2}\) gt2 …(2)
समीकरण (1) व (2) को जोड़ने पर
100 = 25t
या t = 4s
t के इस मान को समीकरण (2) में रखने पर
x = 25 x 4 – \(\frac {1}{2}\) 9.8 x (4)2
= 100 – 78.4
= 21.6 m.
अतः दोनों पत्थर 4s के पश्चात् दूरी 21.6 m पर मिलेंगे।
प्रश्न 18.
ऊर्ध्वाधर दिशा में ऊपर की ओर फेंकी गई एक गेंद 6 s पश्चात् फेंकने वाले के पास लौट आती है। ज्ञात कीजिए
(a) यह किस वेग से ऊपर फेंकी गई।
(b) गेंद द्वारा पहुँची गई अधिकतम ऊँचाई; तथा
(c) 4s पश्चात् गेंद की स्थिति।
हल:
(a) ऊपर जाने में लगने वाला समय = नीचे आने में लगने वाला समय गेंद ऊपर जाने व नीचे आने में कुल 6s लेती है। अत: यह अधिकतम ऊँचाई तक पहुँचने में 3 s लेगी।
अधिकतम ऊँचाई पर अन्तिम वेग, v = 0
गुरुत्वीय त्वरण, g = – 9.8 m/s2
समीकरण, v = u + gt से
0 =u + (-9.8 x 3)
u = 9.8 x 3 = 29.4 m/s
अत: गेंद 29.4 m/s वेग से ऊपर फेंकी गई।
![]()
(b) माना गेंद द्वारा पहुँची गई अधिकतम ऊँचाई h है। प्रारम्भिक वेग, ऊपर जाने में
u = 29.4 m/s
अन्तिम वेग, v = 0
गुरुत्वीय त्वरण, g = – 9.8 m/s2
गति के समीकरण,
s = ut+ \(\frac {1}{2}\) at2 से
h = 29.4 x 3 + \(\frac {1}{2}\) x (-9.8) x 32
= 44.1 m
(c) गेंद अधिकतम ऊँचाई 3 s में ग्रहण करती है। इस ऊँचाई तक पहुँचने के पश्चात् यह नीचे गिरती है। इस स्थिति में,
u = 0
4s के पश्चात् गेंद की स्थिति गेंद द्वारा 4 s – 3 s = 1 s में तय की गई दूरी होगी।
s = ut + \(\frac {1}{2}\) gt2 से
s = 0 x t + \(\frac {1}{2}\) x 9.8 x 12
= 4.9 m
कुल ऊँचाई = 44.1 m
4s के पश्चात् गेंद की ऊँचाई = 44.1 – 4.9 = 39.2 m
अतः 4 s के पश्चात् गेंद पृथ्वी से 39.2 m की ऊँचाई पर
प्रश्न 19.
किसी द्रव में डुबोई गई वस्तु पर उत्प्लावन बल किस दिशा में कार्य करता है?
उत्तर:
किसी द्रव में डुबोई गई वस्तु पर उत्प्लावन बल ऊपर की दिशा में कार्य करता है।
![]()
प्रश्न 20.
पानी के भीतर किसी प्लास्टिक के गुटके को छोड़ने पर यह पानी के पृष्ठ पर क्यों आ जाता है ?
उत्तर:
जब किसी वस्तु को पानी में डुबोया जाता है तो उस पर दो बल कार्य करते हैं
1. गुरुत्वाकर्षण बल जो वस्तु को नीचे की ओर खींचता है।
2. उत्प्लावन बल जो वस्तु को ऊपर की ओर धकेलता है।
यहाँ प्लास्टिक के गुटके पर लगने वाला उत्प्लावन बल गुरुत्वाकर्षण बल से अधिक है।
अतः पानी के भीतर इसे छोड़ने पर यह पानी के पृष्ठ पर आ जाता है।
प्रश्न 21.
50g के किसी पदार्थ का आयतन 20 cm है। यदि पानी का घनत्व 1gcm-3 हो तो पदार्थ तैरेगा या डूबेगा?
हल:
अगर वस्तु का घनत्व तरल के घनत्व से अधिक होता है तो वह उसमें डूब जाती है अन्यथा उसमें तैरती है।

= \(\frac {50}{20}\) = 2.5 g/cm
वस्तु का घनत्व पानी के घनत्व (1 g/cms) से अधिक है।
अत: वह पानी में डूब जाएगी।
प्रश्न 22.
500 g के एक मोहरबन्द पैकेट का आयतन 350 cm है। पैकेट 1 g cm-3 घनत्व वाले पानी में तैरेगा या डूबेगा ? इस पैकेट द्वारा विस्थापित पानी का द्रव्यमान कितना होगा ?
हल:
![]()
\(\frac {500}{350}\) = 1.428 g cm-3
पैकेट का घनत्व पानी के घनत्व (1g cm-3) से अधिक है अतः यह पानी में डूब जायेगा। पैकेट द्वारा विस्थापित पानी का द्रव्यमान उसके आयतन (350 cm-3) के बराबर होगा = 350 g.