Bihar Board Class 9 Science Solutions Chapter 3 परमाणु एवं अणु

BSEB Bihar Board Class 9 Science Solutions Chapter 3 परमाणु एवं अणु

Bihar Board Class 9 Science Solutions Chapter 3 परमाणु एवं अणु Textbook Questions and Answers, Additional Important Questions, Notes.

Bihar Board Class 9 Science परमाणु एवं अणु  InText Questions and Answers

प्रश्न श्रृंखला # 01 (पृष्ठ संख्या 36) 

प्रश्न 1.
एक अभिक्रिया में 5.3 g सोडियम कार्बोनेट एवं 6-0 g एथेनॉइक अम्ल अभिकृत होते हैं। 2-2 g कार्बन डाइऑक्साइड, 8.2 g सोडियम एथेनॉएट एवं 0.9 g जल उत्पाद के रूप में प्राप्त होते हैं। इस अभिक्रिया द्वारा दिखाइए कि यह परीक्षण द्रव्यमान संरक्षण नियम के अनुरूप है।
सोडियम कार्बोनेट + एथेनॉइक अम्ल -> सोडियम एथेनॉएट + कार्बन डाइऑक्साइड + जल
हल:
दी गई अभिक्रिया में, सोडियम कार्बोनेट एथेनॉइक अम्ल से अभिक्रिया करके कार्बन डाइऑक्साइड, सोडियम एथेनॉएट व जल उत्पादित करता है। सोडियम कार्बोनेट + एथेनॉइक अम्ल -→ सोडियम एथेनॉएट + कार्बन डाइऑक्साइड + जल
सोडियम कार्बोनेट का द्रव्यमान = 5.3 g
एथेनॉइक अम्ल का द्रव्यमान = 6 g
सोडियम एथेनॉएट का द्रव्यमान = 8.2 g
कार्बन डाइऑक्साइड का द्रव्यमान = 2:2g
जल का द्रव्यमान = 0.9g
अभिक्रिया से पहले का द्रव्यमान = 5.3 + 6 = 11:3g
अभिक्रिया के पश्चात् द्रव्यमान = 8.2 + 2-2 + 0.9 = 11:3g
अतः अभिक्रिया से पहले कुल द्रव्यमान = अभिक्रिया के पश्चात् कुल द्रव्यमान
अत: यह परीक्षण द्रव्यमान संरक्षण नियम के अनुरूप है।

प्रश्न 2.
हाइड्रोजन एवं ऑक्सीजन द्रव्यमान के अनुसार 1:8 के अनुपात में संयोग करके जल निर्मित करते हैं। 3g हाइड्रोजन गैस के साथ पूर्णरूप से संयोग करने के लिए कितने ऑक्सीजन गैस के द्रव्यमान की आवश्यकता होगी?
हल:
दिया गया है कि हाइड्रोजन एवं ऑक्सीजन द्रव्यमान के अनुसार 1 : 8 के अनुपात में संयोग करके जल निर्मित करते हैं।
ऑक्सीजन गैस का द्रव्यमान जो 1g हाइड्रोजन से अभिक्रिया करता है = 8 g
अतः ऑक्सीजन गैस का द्रव्यमान जिसकी 3g हाइड्रोजन गैस के साथ पूर्णरूप संयोग करने के लिए आवश्यकता होगी = 8 x 3g
उत्तर:
= 24g

Bihar Board Class 9 Science Solutions Chapter 3 परमाणु एवं अणु

प्रश्न 3.
डाल्टन के परमाणु सिद्धान्त का कौन-सा अभिग्रहीत द्रव्यमान के संरक्षण के नियम का परिणाम है ?
उत्तर:
डाल्टन के परमाणु सिद्धान्त का अभिग्रहीत “परमाणु अविभाज्य सूक्ष्म कण होते हैं जो रासायनिक अभिक्रिया में न तो सृजित होते हैं न ही उनका विनाश होता है।” द्रव्यमान के संरक्षण के नियम का परिणाम है।

प्रश्न 4.
डाल्टन के परमाणु सिद्धान्त का कौन-सा अभिग्रहीत निश्चित अनुपात के नियम की व्याख्या करता है ?
उत्तर:
डाल्टन के परमाणु सिद्धान्त का अभिग्रहीत “किसी भी यौगिक में परमाणुओं की सापेक्ष संख्या एवं प्रकार निश्चित होते हैं।” निश्चित अनुपात के नियम की व्याख्या करता है।

प्रश्न श्रृंखला # 02 (पृष्ठ संख्या 40)

प्रश्न 1.
परमाणु द्रव्यमान इकाई को परिभाषित कीजिए।
उत्तर:
कार्बन-12 समस्थानिक के एक परमाणु द्रव्यमान के 1/12 वें भाग को मानक परमाणु द्रव्यमान इकाई के रूप में लेते हैं। इसको IUPAC के नवीनतम अनुमोदन द्वारा u-यूनीफाइड द्रव्यमान द्वारा प्रदर्शित करते हैं।

प्रश्न 2.
एक परमाणु को आँखों द्वारा देखना क्यों सम्भव नहीं होता?
उत्तर:
परमाणु का आकार बहुत छोटा होता है। इसका आकार इतना सूक्ष्म है कि हम इसे नगण्य मान सकते हैं। अतः इसको आँखों द्वारा देखना सम्भव नहीं है। अधिकांश तत्वों के परमाणु स्वतन्त्र रूप से अस्तित्व में भी नहीं रहते।

प्रश्न शृंखला # 03 (पृष्ठ संख्या 44)

प्रश्न 1.
निम्न के सूत्र लिखिए –

  1. सोडियम ऑक्साइड
  2. एलुमिनियम क्लोराइड
  3. सोडियम सल्फाइड
  4. मैग्नीशियम हाइड्रॉक्साइड।

उत्तर:

  1. सोडियम ऑक्साइड – Na2O
  2. ऐलुमिनियम क्लोराइड – AICl3
  3. सोडियम सल्फाइड – Na2S
  4. मैग्नीशियम हाइड्रॉक्साइड – Mg(OH)2

Bihar Board Class 9 Science Solutions Chapter 3 परमाणु एवं अणु

प्रश्न 2.
निम्नलिखित सूत्रों द्वारा प्रदर्शित यौगिकों के नाम लिखिए –

  1. Al2(SO4)3
  2. CaCl2
  3. K2SO4
  4. KNO3
  5. CaCO3.

उत्तर:

  1. Al2(SO4)3 – ऐलुमिनियम सल्फेट
  2. CaCl2 – कैल्सियम क्लोराइड
  3. K2SO2 – पोटैशियम सल्फेट
  4. KNO3 – पोटैशियम नाइट्रेट
  5. CaCO3 – कैल्सियम कार्बोनेट।

प्रश्न 3.
रासायनिक सूत्र का क्या तात्पर्य है ?
उत्तर:
किसी यौगिक का रासायनिक सूत्र उसके संघटक का प्रतीकात्मक निरूपण होता है।

प्रश्न 4.
निम्न में कितने परमाणु विद्यमान हैं ?
1. H2S अणु एवं
2. PO-34 – आयन।
उत्तर:
1. एक H2S अणु में तीन परमाणु विद्यमान हैं; दो हाइड्रोजन (H2) के व एक सल्फर (S) का।
2. PO3-2 आयन में पाँच परमाणु विद्यमान हैं। एक फॉस्फोरस का व चार ऑक्सीजन के।

Bihar Board Class 9 Science Solutions Chapter 3 परमाणु एवं अणु

प्रश्न श्रृंखला # 04 (पृष्ठ संख्या 46)

प्रश्न 1.
निम्न यौगिकों के आण्विक द्रव्यमान का परिकलन कीजिए –
H2, O2, Cl2, CO2, CH2, CH, CH4, NH3 एवं CH3OH.
हल:
H2 का आण्विक द्रव्यमान = 2 x H का परमाणु द्रव्यमान
= 2 x 1
उत्तर: = 2u

O2 का आण्विक द्रव्यमान = 2 x 0 का परमाणु द्रव्यमान
= 2 x 16
उत्तर:
= 32 u

Cl2 का आण्विक द्रव्यमान = 2 x Cl का परमाणु द्रव्यमान
2 x 35.5
उत्तर:
= 71u

CO2 का आण्विक द्रव्यमान = C का परमाणु द्रव्यमान
+ 2 x 0 का परमाणु द्रव्यमान, = 12 + 2 x 16
उत्तर:
= 44u

CH4 का आण्विक द्रव्यमान = C का परमाणु द्रव्यमान
+ 4 x H का परमाणु द्रव्यमान
= 12 + 4 x 1 =
उत्तर:
= 16u

C2H6 का आण्विक द्रव्यमान = 2 x C का परमाणु द्रव्यमान
+ 6 x H का परमाणु द्रव्यमान
= 2 x 12 + 6 x 1
उत्तर:
= 30 u

C2H4 का आण्विक द्रव्यमान= 2 x C का परमाणु द्रव्यमान
+4 x H का परमाणु द्रव्यमान
= 2 x 12 + 4 x 1
उत्तर:
= 28u

Bihar Board Class 9 Science Solutions Chapter 3 परमाणु एवं अणु

NH3 का आण्विक द्रव्यमान = N का परमाणु द्रव्यमान
+3 x H का परमाणु द्रव्यमान
= 14 + 3 x 1
उत्तर:
= 17u

CH3OH का आण्विक द्रव्यमान = C का परमाणु द्रव्यमान
+3 x H का परमाणु द्रव्यमान + 0 का परमाणु द्रव्यमान + H का परमाणु द्रव्यमान
= 12 + 3 x 1+ 8 + 1
उत्तर:
= 24u

प्रश्न 2.
निम्न यौगिकों के सूत्र इकाई द्रव्यमान का परिकलन कीजिए –
ZnO, Na2O एवं KCO3
दिया गया है –
Zn का परमाणु द्रव्यमान = 65 u
Na का परमाणु द्रव्यमान = 23 u
K का परमाणु द्रव्यमान = 39 u
C का परमाणु द्रव्यमान = 12 u
O का परमाणु द्रव्यमान = 16u है।
हल:
ZnO का सूत्र इकाई द्रव्यमान = Zn का परमाणु द्रव्यमान
+ O का परमाणु द्रव्यमान
= 65 + 16
उत्तर:
= 81 u

Na20 का सूत्र इकाई द्रव्यमान = 2 x Na का परमाणु
द्रव्यमान + 0 का परमाणु द्रव्यमान
= 2 x 23 + 16
उत्तर:
= 62 u

K2CO3 का सूत्र इकाई द्रव्यमान = 2 x K का परमाणु द्रव्यमान + C का परमाणु द्रव्यमान + 3 x O का परमाणु द्रव्यमान
= 2 x 39 + 12 + 3 x 16
= 78 + 12 + 48
उत्तर:
= 138 u

Bihar Board Class 9 Science Solutions Chapter 3 परमाणु एवं अणु

प्रश्न श्रृंखला # 05 (पृष्ठ संख्या 48)

प्रश्न 1.
यदि कार्बन परमाणु के एक मोल का द्रव्यमान 12g है तो कार्बन के एक परमाणु का द्रव्यमान क्या होगा?
हल:
कार्बन परमाणु के एक मोल का द्रव्यमान = 12 g तो, 6.022 x 1023 कार्बन परमाणुओं का द्रव्यमान = 12 g
अतः कार्बन के एक परमाणु का द्रव्यमान = 12 + (6.022 x 1223)
उत्तर: = 1.9926 x 10-23 g

प्रश्न 2.
किसमें अधिक परमाणु होंगे: 100g सोडियम अथवा 100 g लोहा (Fe)? (Na का परमाणु द्रव्यमान = 23u, Fe का परमाणु द्रव्यमान = 56u)
हल:
Na का परमाणु द्रव्यमान = 23 (दिया है)
तो, Na का ग्राम परमाणु द्रव्यमान = 23 g
23 g Na = 6.022 x 1023 परमाणु
अतः 100 g Na में हैं = 6.022 x 1023
= 23 x 100 परमाणु
= 2.6182 x 1024 परमाणु

Fe का परमाणु द्रव्यमान = 56 u (दिया है)
तो Fe का ग्राम परमाणु द्रव्यमान = 56g
अब, 56 g Fe में हैं = 6.022 x 1023 परमाणु
अतः 100 g Fe में है = 6.022 x 1023 परमाणु
= 1.0753 x 1023परमाणु
उत्तर:
अतः 100 g Na में 100 g re से अधिक परमाणु होंगे।

क्रियाकलाप 3.1 (पृष्ठ संख्या 34)

प्रश्न 1.
शंक्वाकार फ्लास्क में क्या अभिक्रिया हुई ?
उत्तर:
बेरियम क्लोराइड के विलयन व सोडियम सल्फेट के विलयन की अभिक्रिया में सफेद बेरियम सल्फेट का अवक्षेप (precipitate) व सोडियम क्लोराइड का जलीय विलयन प्राप्त होते हैं। __

प्रश्न 2.
क्या आप सोचते हैं कि कोई रासायनिक अभिक्रिया हुई ?
उत्तर:
बेरियम क्लोराइड (X) व सोडियम सल्फेट (Y) के विलयन के परस्पर मिश्रित होने पर निम्न अभिक्रिया होगी BaCl2 (aq.) + Na2SO4(aq.)→ BaSO4(s) + 2NaCl(aq.)

Bihar Board Class 9 Science Solutions Chapter 3 परमाणु एवं अणु

प्रश्न 3.
फ्लास्क के मुख पर कॉर्क क्यों लगाते हैं ? .
उत्तर:
फ्लास्क के मुख पर कॉर्क इसलिए लगाते हैं ताकि फ्लास्क को घुमाने पर विलयन बाहर न छलके।

प्रश्न 4.
क्या फ्लास्क के द्रव्यमान व अंतर्वस्तुओं में कोई परिवर्तन हुआ?
उत्तर:
फ्लास्क के द्रव्यमान में कोई परिवर्तन नहीं हुआ। अभिक्रिया से पहले का द्रव्यमान व बाद के द्रव्यमान समान रहते हैं, द्रव्यमान संरक्षण नियम के अनुसार। अभिक्रिया के पश्चात् बेरियम सल्फेट व सोडियम क्लोराइड प्राप्त होते हैं।

क्रियाकलाप 3.2 (पृष्ठ संख्या 41)

प्रश्न 1.
सारणी में दिये गए यौगिकों (जल, अमोनिया, कार्बन डाइऑक्साइड) के अणुओं में प्रयुक्त तत्वों के परमाणुओं की संख्या के अनुपातों को ज्ञात कीजिए।
हल :
Bihar Board Class 9 Science Solutions Chapter 3 परमाणु एवं अणु
इस प्रकार जल अणु, अमोनिया अणु व कार्बन डाइऑक्साइड अणु में प्रयुक्त परमाणुओं की संख्या का अनुपात क्रमशः
H: 0 = 2 : 1, N : H = 1 : 3 व C:0 = 1 : 2 है।

Bihar Board Class 9 Science परमाणु एवं अणु Textbook Questions and Answers

प्रश्न 1.
0.24g ऑक्सीजन एवं बोरॉन युक्त यौगिक के नमूने में विश्लेषण द्वारा यह पाया गया कि उसमें 0.096g बोरॉन एवं 0 – 144g ऑक्सीजन है। उस यौगिक के प्रतिशत संघटक का भारात्मक रूप में परिकलन कीजिए।
हल:
यौगिक का कुल द्रव्यमान = 0.24 g (दिया है)
बोरॉन का द्रव्यमान = 0.096 g (दिया है)
ऑक्सीजन का द्रव्यमान = 0.144 g (दिया है)
अतः यौगिक में बोरॉन का भारात्मक प्रतिशत = \(\frac {0.096}{ 0.24 }\) x 100%
उत्तर:
= 40%
यौगिक में ऑक्सीजन का भारात्मक प्रतिशत
\(\frac {0.144}{ 0.24 }\) x 100%
उत्तर:
= 60%

Bihar Board Class 9 Science Solutions Chapter 3 परमाणु एवं अणु

प्रश्न 2.
3.0 g कार्बन 8.00 g ऑक्सीजन में जलकर 11.00g कार्बन डाइऑक्साइड निर्मित करता है। जब 3:00 g कार्बन को 50.00 g ऑक्सीजन में जलायेंगे तो कितने ग्राम कार्बन डाइऑक्साइड का निर्माण होगा? आपका उत्तर रासायनिक संयोजन के किस नियम पर आधारित होगा?
हल:
3.0g कार्बन 8:00 g ऑक्सीजन से मिलकर 11 g कार्बन डाइऑक्साइड निर्मित करता है। अगर 3 g कार्बन को 50 g ऑक्सीजन में जलायेंगे, तो 3 g कार्बन, 8 g ऑक्सीजन से क्रिया करेगा। शेष 42 g ऑक्सीजन अभिक्रिया नहीं करेगा या अनअभिकृत रहेगा। यहाँ भी, 11 g कार्बन डाइऑक्साइड का ही निर्माण होगा। यह उत्तर निश्चित अनुपात के नियम पर आधारित है।

प्रश्न 3.
बहुपरमाणुक आयन क्या होते हैं ? उदाहरण दीजिए।
उत्तर:
परमाणुओं का वह पुंज जो आयन की तरह व्यवहार करता है उसे बहुपरमाणुक आयन कहते हैं। उनके ऊपर एक निश्चित आवेश होता है। उदाहरण के लिए – नाइट्रेट (NO3), हाइड्रॉक्साइड आयन (OH)।

प्रश्न 4.
निम्नलिखित के रासायनिक सूत्र लिखिए –
(a) मैग्नीशियम क्लोराइड
(b) कैल्सियम क्लोराइड
(c) कॉपर नाइट्रेट
(d) ऐलुमिनियम क्लोराइड
(e) कैल्सियम कार्बोनेट।
उत्तर:
(a) मैग्नीशियम क्लोराइड – MgCl2
(b) कैल्सियम क्लोराइड – CaCl2
(c) कॉपर नाइट्रेट – Cu(NO3)2
(d) ऐलुमिनियम क्लोराइड – AlCl3
(e) कैल्सियम कार्बोनेट – CaCO3

प्रश्न 5.
निम्नलिखित यौगिकों में विद्यमान तत्वों का नाम दीजिए
(a) बुझा हुआ चूना
(b) हाइड्रोजन ब्रोमाइड
(c) बेकिंग पाउडर (खाने वाला सोडा)
(d) पोटैशियम सल्फेट।
उत्तर:
(a) बुझा हुआ चूना में कैल्सियम व ऑक्सीजन हैं।
(b) हाइड्रोजन ब्रोमाइड (HBr) में हाइड्रोजन व ब्रोमीन हैं।
(c) बेकिंग पाउडर में सोडियम, हाइड्रोजन, कार्बन व ऑक्सीजन हैं।
(d) पोटैशियम सल्फेट में पोटैशियम, सल्फर व ऑक्सीजन हैं।

Bihar Board Class 9 Science Solutions Chapter 3 परमाणु एवं अणु

प्रश्न 6.
निम्नलिखित पदार्थों के मोलर द्रव्यमान का परिकलन कीजिए
(a) एथाइन, C2H2
(b) सल्फर अणु, S2
(c) फॉस्फोरस अणु, P4
(फॉस्फोरस का परमाणु द्रव्यमान = 31)
(d) हाइड्रोक्लोरिक अम्ल, HCl
(e) नाइट्रिक अम्ल, HNO2I
हल:
(a) एथाइन, C2H2
एथाइन का मोलर द्रव्यमान, C2H2 = 2 x 12 + 2 x 1
उत्तर:
= 26 g

(b) सल्फर अणु, S8 सल्फर अणु S8 का मोलर द्रव्यमान = 8 x 32
उत्तर:
= 256 g

(c) फॉस्फोरस अणु, P4 (फॉस्फोरस का परमाणु द्रव्यमान = 31)
फॉस्फोरस अणु का मोलर द्रव्यमान P4
= 4 x 31
उत्तर:
= 124 g

(d) हाइड्रोक्लोरिक अम्ल, HCl हाइड्रोक्लोरिक अम्ल का मोलर ‘द्रव्यमान, HCl
= 1 + 35.5
= 36.5g

(e) नाइट्रिक अम्ल, HNO3 नाइट्रिक अम्ल का मोलर द्रव्यमान, HNO3
= 1 + 14 + 3 x 16
उत्तर:
= 63 g

Bihar Board Class 9 Science Solutions Chapter 3 परमाणु एवं अणु

प्रश्न 7.
निम्न का द्रव्यमान क्या होगा –
(a) 1 मोल नाइट्रोजन परमाणु ?
(b) 4 मोल ऐलुमिनियम परमाणु (ऐलुमिनियम का परमाणु द्रव्यमान = 27) ?
(c) 10 मोल सोडियम सल्फाइट (Na2S03)?
हल:
(a) 1 मोल नाइट्रोजन अणु का द्रव्यमान 14g है।
(b) 4 मोल ऐलुमिनियम परमाणु का द्रव्यमान
= 4 x 27
= 108 g उत्तर

(c) 10 मोल सोडियम सल्फाइट (Na2SO3) का द्रव्यमान
= 10 x [2 x 23 + 32 + 3 x 16] = 10 x 126
= 1260 g

प्रश्न 8.
मोल में परिवर्तित कीजिए –
(a) 12 g ऑक्सीजन गैस
(b) 20g जल
(c) 22 g कार्बन डाइऑक्साइड।
हल:
(a) 32 g ऑक्सीजन गैस = 1 मोल अतः,
12 g ऑक्सीजन गैस = \(\frac {12}{ 13 }\)  मोल
उत्तर:
= 0:375 मोल

(b) 18 g जल = 1 मोल
अतः, 20 g जल = \(\frac {20}{ 18 }\) मोल
उत्तर:
= 1.111 मोल

(c) 44 g कार्बन डाइऑक्साइड = 1 मोल
अतः, 22 g कार्बन डाइऑक्साइड = \(\frac {22}{44}\) = 0.5मोल
उत्तर:
= 0.5 मोल

Bihar Board Class 9 Science Solutions Chapter 3 परमाणु एवं अणु

प्रश्न 9.
निम्न का द्रव्यमान क्या होगा?
(a) 0 – 2 मोल ऑक्सीजन परमाणु
(b) 0.5 मोल जल अणु।
हल:
(a) 1 मोल ऑक्सीजन परमाणुओं का द्रव्यमान = 16 g
अतः 0.2 मोल ऑक्सीजन परमाणुओं का द्रव्यमान
= 0.2 x 16
उत्तर:
= 3:2 g

(b) 1 मोल जल अणु का द्रव्यमान = 18 g
अतः, 0.5 मोल जल अणुओं का द्रव्यमान
= 0.5 x 18
उत्तर:
= 9 g

प्रश्न 10.
16 g ठोस सल्फर में सल्फर (S) के अणुओं की संख्या का परिकलन कीजिए।
हल:
1 मोल ठोस सल्फर (S8) = 8 x 32 g
= 256g
अतः, 256 g ठोस सल्फर में हैं = 6.022 x 1023 अणु
तो, 16 g ठोस सल्फर में हैं = Bihar Board Class 9 Science Solutions Chapter 3 परमाणु एवं अणु  16 अणु
उत्तर:
= 3.76375 x 1022अणु

Bihar Board Class 9 Science Solutions Chapter 3 परमाणु एवं अणु

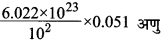
प्रश्न 11.
0.051 g ऐलुमिनियम ऑक्साइड (Al03) में ऐलुमिनियम आयन की संख्या का परिकलन कीजिए। (ऐलुमिनियम का परमाणु द्रव्यमान 274 है)
हल:
1 मोल ऐलुमिनियम ऑक्साइड (Al2O2)
= 2 x 27 + 3 x 16
= 102 g
अतः 102 g Al2O3 = 6.022 x 1022 Al2O3 के अणु
तो, 0.051 g Al203 में हैं
Bihar Board Class 9 Science Solutions Chapter 3 परमाणु एवं अणु
= 3.011 x 1020 अणु

ऐलुमिनियम ऑक्साइड के एक अणु में विद्यमान ऐलुमिनियम आयन (Al3+) = 2
अत: 3.011 x 1020 ऐलुमिनियम ऑक्साइड (Al2O3)
अणु में विद्यमान ऐलुमिनियम आयन (Al3+)
= 2 x 3.011 x 1020
उत्तर:
= 6.011 x 1020

\( \sqrt{5} \)