BSEB Bihar Board 12th Maths Important Questions Short Answer Type Part 2 are the best resource for students which helps in revision.
Bihar Board 12th Maths Important Questions Short Answer Type Part 2
Question 1.
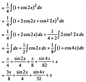
∫cos4x dx = ∫\(\frac {(2 cos² x)²}{4}\) dx
Answer:


Question 2.
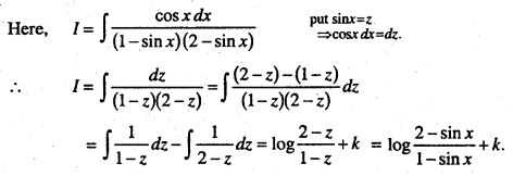
∫\(\frac { cosx dx)}{(1 – sin x)(2 – sin x)}\)
Answer:

Question 3.
∫\(\frac {sec²(log x)}{x}\) dx
Answer:
Let I = ∫\(\frac {sec²(log x)}{x}\) dx
Let log x = z, Diff. with repect for, we get
\(\frac {1}{x}\) = \(\frac {dz}{dx}\) = \(\frac {dx}{x}\) = dz
Putting this value in (1) we get
I = ∫sec² z dz = tan z + c = tan(log x )x.
Question 4.
Integrate the following
(i) ∫\(\frac {sin √x}{√x}\) dx
(ii) ∫\(\frac {cos x}{\sqrt{1-sin x}}\) dx
(iii) ∫\(\frac {dx}{1+e^{-x}}\) dx
Answer:
Let √x = t ⇒ \(\frac {1}{2√x}\) = dx = dt ⇒ \(\frac {dx}{√x}\)= 2 dt
∴ I = 2∫sin t dt – 2 cos t + k
= k – 2 cos√x.
(ii) Let 1 + sin x = m ⇒ cosx ax = am.
∴ ∫\(\frac {cos x}{\sqrt{1-sin x}}\) dx = ∫\(\frac {dm}{√m}\) = 2\(\sqrt {m + C}\) = 2\(\sqrt {1+5mx}\) + C

Let + ex = z ⇒ ex = dx = dz.
∴ ∫\(\frac {dz}{z}\) = log z + c = log(1 + ex) + C
Differential Equation
Question 1.
determine order and degree of following differential equations:
(i) \(\frac {d^4y}{dx^4}\) + sin (y”’) = 0
(ii) (\(\frac {ds}{dt}\))4 + 3s \(\frac {d²s}{dt²}\) = 0
Answer:
(i) The highest order derivative present in the given differential equation is \(\frac {d^4y}{dx^4}\). So its order is 4.
but degree is not define.
(ii) The highest order derivative present in the given differential equation
is \(\frac {d²s}{dt²}\), so its order is 2 and the highest power of \(\frac {d²s}{dt²}\) is one.
degree = 1
Question 2.
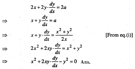
Form a differential equation of family of curve. y² = a(a² – x²)
Answer:
Given equation
y² = a(a² – x²)
Diff. w.r. to x

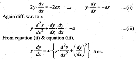
Question 3.
Form a differential equation of the family of curve.
y² + y² = 2ax
Answer:
Given equation
y² + y² = 2ax ……….. (i)
Diff. w.r. to x


Vector Algebra
Question 1.
For any two vectors \(\vec {a}\) and \(\vec {b}\)?
\(\vec {a}\) + \(\vec {b}\) = \(\vec {b}\) + \(\vec {a}\)
Answer:
Consider the parallelogram ABCD.

Let \(\vec {AB}\) = \(\vec {a}\) and \(\vec {BC}\) = \(\vec {b}\) then using the triangle law, from triangle ABC,
We have,
\(\vec {AC}\) = \(\vec {a}\) + \(\vec {b}\)
Now, since the opposite sides of a parallelogram are equal and parallel, we have,
\(\vec {AD}\) = \(\vec {BC}\)+ \(\vec {b}\) and
\(\vec {DC}\) = \(\vec {AB}\) = \(\vec {a}\)
Again using triangle law, from triangle ADC, We have
\(\vec {AC}\) = \(\vec {AD}\) + \(\vec {DC}\) = \(\vec {b}\) + \(\vec {a}\)
Hence, \(\vec {a}\) + \(\vec {b}\) = \(\vec {b}\) + \(\vec {a}\)
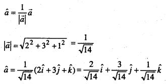
Question 2.
Find unit vector in the direction of vector :
\(\vec {a}\) = 2\(\hat {i}\) + 3\(\hat {j}\) + \(\hat {k}\)
Answer:
The unit vector in the direction of a vector \(\vec {a}\) is given by:


Question 3.
Find a vector in the direction of vector \(\vec {a}\) = \(\hat {i}\) – 2\(\vec {j}\) that has magnitude.
Answer:
The unit vector in the direction of the given vector \(\vec {a}\) is.
\(\hat {a}\) = \(\frac {1}{|\vec {a}|}\) \(\vec {a}\) = \(\frac {1}{√5}\) (\(\hat {i}\) + 2\(\hat {j}\)) \(\frac {1}{√5}\) \(\hat {i}\) – \(\frac {2}{√5}\) \(\hat {j}\)
∴ The vector having magnitude equal to 7 and in the direction of \(\vec {a}\) is
7\(\hat {a}\) = 7(\(\frac {1}{√5}\)\(\hat {i}\) – \(\frac {2}{√5}\)\(\hat {j}\)) = \(\frac {7}{√5}\) \(\hat {i}\) – \(\frac {14}{√5}\)\(\hat {j}\)
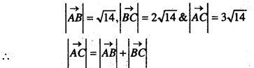
Question 4.
Show that the point A(2\(\hat {i}\) – \(\hat {j}\) + \(\hat {k}\)), B(\(\hat {i}\) – 3\(\hat {j}\) – 5\(\hat {k}\)), C(3\(\hat {i}\) – 4\(\hat {j}\) – 4\(\hat {k}\)) are the vertices of a right angled triangle.
Answer:
We have
\(\vec {AB}\) = (1 – 2)\(\hat {i}\) + (-3 + 1)\(\hat {j}\) + (-5 – 1)\(\hat {k}\) = –\(\hat {i}\) – 2\(\hat {j}\) – 6\(\hat {k}\)
\(\vec {BC}\) = (3 – 1)\(\hat {i}\) +(-4 + 3)\(\hat {j}\) + (-4 +5)\(\hat {k}\) = 2\(\hat {i}\) – \(\hat {j}\) + \(\hat {k}\)
\(\vec {CA}\) = (2 – 3)\(\hat {i}\) +(-4 + 4)\(\hat {j}\) + (1 + 4)\(\hat {k}\) = –\(\hat {i}\) + 3\(\hat {j}\) + 5\(\hat {k}\).
Further, note that
|\(\vec {AB}\)| = 41 = 6 + 35 = |\(\vec {BC}\)|² + |\(\vec {CA}\)|²
Hence, the triangle is a right angled triangle,
Question 5.
If the position vectors of the points P and Q are – \(\vec {i}\) + 2\(\vec {j}\) + 3\(\vec {k}\) and 7\(\vec {i}\) – 6\(\vec {k}\) respectively, find the direction cosines of \(\vec {PQ}\)
Answer:

Question 6.
यदि (If) \(\begin{aligned}
\overrightarrow{r_{1}} &=3 \vec{i}-2 \vec{j}+\vec{k} \\
\overrightarrow{r_{2}} &=2 \vec{i}-4 \vec{j}-3 \vec{k} \\
\overrightarrow{r_{3}} &=-\vec{i}+2 \vec{j}+2 \vec{k}
\end{aligned}\)
तो निम्नांकिता का मापांक ज्ञात करें (Find the modulus of the following);
\(2 \overrightarrow{r_{1}}-3 \overrightarrow{r_{2}}-5 \overrightarrow{r_{3}}\)
Answer:


Question 7.
Prove that \(2 \vec{i}- \vec{j}+ \vec{k} \vec{b}= \vec{i}-3 \vec{j}-5 \vec{k} \vec{c}=3 \vec{i}-4 \vec{j}-4 \vec{k}\) are the sides of a right angled triangle
Answer:
चूँकि \(\vec{a}+\vec{b}=(2 \vec{i}-\vec{j}+\vec{k})+(\vec{i}-3 \vec{j}-5 \vec{k})\)
= \(3 \vec{i}-4 \vec{j}-4 \vec{k}=\vec{c}\)
अतः \(\vec{a}, \vec{b}, \vec{c}\) एक त्रिभुज बनाते है

Question 8.
If \(\vec{a}, \vec{b}, \vec{c}\) are three vectors and \(a+\vec{b}+\vec{c}=\overrightarrow{0}\) prove that \(\vec{a} \times \vec{b}=\vec{b} \times \vec{c}=\vec{c} \times \vec{a}\)
Proof:
\(\vec{a}+\vec{b}+\vec{c}=\overrightarrow{0}\) ……………….. (1)
Taking is crossproduct with \(\vec{a}\) on left, we’ve

Again taking cross product of (1) with \(\vec{b}\) on left, we get

From (2) and (3), weve \(\vec{a} \times \vec{b}=\vec{b} \times \vec{c}=\vec{c} \times \vec{a}\)
Question 9.
Find the projection of the vector \(\vec{a}=2 \hat{i}+3 \hat{j}+2 \hat{k}\) on the vector
\(\vec{b}=\hat{i}+2 \hat{j}+\hat{k}\)
Solution:
The projection of vector \(\vec{a}\) ón the vector \(\vec{b}\) is given by

Question 10.
Show that the point A(\(-2 \hat{i}+3 \hat{j}+5 \hat{k}\)).B(\(\hat{i}+2 \hat{j}+3 \hat{k}\))and (\(7 \hat{i}-\hat{k}\)) are collancar. .
Solution:
We have
\(\vec {AB}\) = (1 + 2)\(\hat {i}\) + (2 – 3)\(\hat {j}\) + (3 – 5)\(\hat {k}\) = 3\(3\hat {i}\) – \(\hat {j}\) – 2\(\hat {k}\)
\(\vec {BC}\) = (7 – 1)\(\hat {i}\) +(0 – 2)\(\hat {j}\) + (-1 -3)\(\hat {k}\) = 6\(\hat {i}\) – 2\(\hat {j}\) – 4\(\hat {k}\)
\(\vec {CA}\) = (7 + 2)\(\hat {i}\) +(0 – 3)\(\hat {j}\) + (-5 – 5)\(\hat {k}\) = 9\(\hat {i}\) 3\(\hat {j}\) – 6\(\hat {k}\).

Hence the points A, B and Care collinear.

Question 11.
Find the area of a parallelogram whose adjacent sides are given by the vectors \(\vec{a}=3 \hat{i}+\hat{j}+4 \hat{k}\) and \(\vec{b}=\hat{i}-\hat{j}+\hat{k}\)
Solution:
The area of a parallelogram with \(\vec{a}\) and \(\vec{b}\) as its adjacent sides is given by \(|\vec{a} \times \vec{b}|\)
\(\vec{a} \times \vec{b}=\left|\begin{array}{ccc}
\hat{i} & \hat{j} & \hat{k} \\
3 & 1 & 4 \\
1 & -1 & 1
\end{array}\right|=5 \hat{i}+\hat{j}-4 \hat{k}\)
\(\vec{a} \times \vec{b}=\sqrt{25+1+6}=\sqrt{42}\)
Hence the required area \(\sqrt{42}\)
Probability
Question 1.
If P(A) = \(\frac { 7 }{ 13 }\) \(\frac { 9 }{ 13 }\) and P(B) = \(\frac { 4 }{ 13 }\) and P(A∩B) = evaluate P(A/B)
Solution:
We have P(A/B) = \(\frac{P(A \cap B)}{P(B)}=\frac{\frac{4}{13}}{\frac{9}{13}}=\frac{4}{9}\)
Question 2.
A family has two children. What is the probabiity that both the children are boys given that at lest one of them is a boy?
Solution:
Let b stand for boy and g for girl.
The sample space of the experiment is
S = ((b, b),(g, b),(b, g), (g, g))
Let E and F denote the following events.
E: ‘both the children are boys’
F:’ atleast on the child is a boy’ ,
Then, E = {(b,b)} and F = {(b,b),(g,b),(b,gi}
Noi, E ∩ F = {(b, b)} .
Thus P(F) = \(\frac { 3 }{ 4 }\) and P(E∩F) = \(\frac { 1 }{ 4 }\)

Question 3.
A die is thrown If E is the eient the number appearing is a multiple of 3’ and F be the event ‘the number appearing is evem Then find whether E and F are independent.
Solution:
We know the sample space is S = { 1, 2, 3,4, 5, 6}
Now E = {3,6},
F = {2,4,6) and E ∩ F = {6}
Then, P(E) = \(\frac{2}{6}=\frac{1}{3}\)
P(F) = \(\frac{3}{6}=\frac{1}{2}\)
and P(E∩F) = \(\frac{1}{6}\)
Clearly P(E∩F)= P(E).P(F)
Hence E and F are independent events.

Question 4.
An unbaised dic is thrown twice, Let the event A be odd number on the first throw and B thc event ‘odd number on the second throw.
Check the independence of the events A and B.
Solution:
If all the 36 elementary events of the experiment are consided to be equally likely.
We have,
P(A) = \(\frac{18}{36}=\frac{1}{2}\)
and = \(\frac{18}{36}=\frac{1}{2}\)
Also P(A ∩B) = P (odd number on both throws)
\(\frac{9}{36}=\frac{1}{4}\)
Now, P(A)P(B) = \(\frac{1}{2} \times \frac{1}{2}=\frac{1}{4}\)
CIçarly, P(A∩B) = P(A) x P(B)
Thus A and B are independènt events.