Bihar Board 12th Chemistry Model Papers
Bihar Board 12th Chemistry Model Question Paper 4 in Hindi
परिक्षार्थियों के लिए निर्देश :
- परीक्षार्थी यथासंभव अपने शब्दों में उत्तर दें।
- दाहिनी ओर हाशिये पर दिये हुए अंक पूर्णाक निर्दिष्ट करते हैं।
- उत्तर देते समय परीक्षार्थी यथासंभव शब्द-सीमा का ध्यान रखें ।
- इस प्रश्न पत्र को ध्यानपूर्वक पढ़ने के लिए 15 मिनट का अतिरिक्त समय दिया गया है ।
- यह प्रश्न पत्र दो खण्डों में है, खण्ड-अ एवं खण्ड-ब
- खण्ड-अ में 1-35 तक वस्तुनिष्ठ प्रश्न हैं, सभी प्रश्न अनिवार्य हैं । (प्रत्येक के लिए एक अंक निर्धारित है), इनके उत्तर उपलब्ध कराए गए ओ एम आर-शीट में दिए गए वृत्त को काले/नीले बॉल पेन से भरें । किसी भी प्रकार का व्हाइटनर/तरल पदार्थ/ब्लेड/नाखून आदि को ओ एम.आर. पत्रक में प्रयोग करना मना है, अन्यथा परीक्षा परिणाम अमान्य होगा ।
- खण्ड-ब में 18 लघु उत्तरीय प्रश्न हैं (प्रत्येक के लिए दो अंक निर्धारित है), जिनमें से किन्हीं 10 प्रश्नों का उत्तर देना अनिवार्य है । इसके अतिरिक्त इस खण्ड में 06 दीर्घ प्रश्न हैं (प्रत्येक के लिए 5 अंक निर्धारित है), जिनमें से किन्हीं 3 प्रश्नों का उत्तर देना है ।
- किसी तरह के इलेक्ट्रॉनिक यंत्र का उपयोग वर्जित है।
खण्ड-अ : वस्तुनिष्ठ प्रश्न
प्रश्न संख्या 1 से 35 तक के प्रत्येक प्रश्न के साथ चार विकल्प दिए गए हैं, जिनमें से एक सही है। अपने द्वारा चुने गए सही विकल्प को OMR शीट पर चिह्नित करें।(35 x 1 = 35)
प्रश्न 1.
एक घनीय ठोस दो तत्त्वों P व Q से बना है । Pके परमाणु घन के कोनों पर उपस्थित हैं तथा Q के परमाणु अंत:केंद्र पर उपस्थित हैं। यौगिक का सूत्र क्या है तथा P व Q की समन्वयन संख्याएँ क्या हैं ?
(a) PQ2,6:6
(b) PQ, 6:6
(c) P,Q,6:8
(d) PQ,8:8
उत्तर-
(d)PQ,8:8
प्रश्न 2.
किसी क्रिस्टलीय संरचना का त्रिज्या अनुपात (rc + lra-) 0.225 – 0.414 की परास में है। धनायनों के चारों ओर ऋणायनों की समन्वयन संख्या एवं व्यवस्थाएँ (Arrangements) हैं –
(a) 3, समतल त्रिकोणीय
(b) 6, अष्टफलकीय
(c) 4, चतुष्फलकीय
(d) 8, धनीय
उत्तर-
(c) 4, चतुष्फलकीय
![]()
प्रश्न 3.
CSCl क्रिस्टल में Cs+ व Cl– की समन्वयन संख्याएँ हैं –
(a) 8,8
(b) 4,4
(c) 6,6
(d) 8,4
उत्तर-
(a) 8,8
प्रश्न 4.
निम्न में से कौन-सा कथन सही नहीं है ?
(a) सिलिकन कार्बाइड सहसंयोजी क्रिस्टल है।
(b) आण्विक क्रिस्टलों की प्रकृति मृदु होती है ।
(c) कैल्सियम फ्लोराइड की संरचना में, Ca2+ की समन्वयन संख्या 4 होती है।
(d) त्रिज्या अनुपात में वृद्धि से समन्वयन संख्या में वृद्धि होती है।
उत्तर-
(c) कैल्सियम फ्लोराइड की संरचना में, Ca2+ की समन्वयन संख्या 4 होती है।
प्रश्न 5.
सोडियम क्लोराइड क्रिस्टल में सोडियम आयन को कितने क्लोराइड आयन घेरे हुए हैं ?
(a) 4
(b) 8
(c) 6
(d) 12
उत्तर-
(c) 6
प्रश्न 6.
648 g शुद्ध जल की मोललता होती है –
(a) 36m
(b) 55.5 m
(c) 3.6m
(d) 5.55 m
उत्तर-
(b) 55.5 m
![]()
प्रश्न 7.
NaCl विलयन के 0.25 M के 100 mL में कितने Na+ आयन उपस्थित होते हैं ?
(a) 0.025 x 1023
(b) 1.505 x 1022
(c) 15 x 1022
(d) 2.5 x 1023
उत्तर-
(b) 1.505 x 1022
प्रश्न 8.
निम्न अभिक्रिया के साथ गैल्वैनी सेल का मानक सेल विभव क्या होगा?

(a) 0.74V
(b) 1.14v
(c) 034V
(d) -0.34V
उत्तर-
(c) 034V
प्रश्न 9.
सेल में Zn | Zn2+ || Cu2+| Cu, ऋणात्मक सीमान्त (Terminal)
(a) Cu
(b) Cu2+
(c) Zn
(d) zn2+
उत्तर-
(c) Zn
प्रश्न 10.
अभिक्रिया 2N2O5→4NO2 + O2 के लिए, दर एवं दर स्थिरांक क्रमशः 1.02 x 10-4mol L-1s-1 एवं 3.4×10-5s-1 हैं। molL-1 में N2O5 का सान्द्रण होगा
(a) 3.4 x 10-4
(b) 3.0
(c) 5.2
(d) 3.2 x 10-5
उत्तर-
(b) 3.0
![]()
प्रश्न 11.

(a) 2k’ =k
(b) k’ = 2k
(c) k’ =k
(d) k = 1/4k’
उत्तर-
(b) k’ = 2k
प्रश्न 12
निम्न में से कौन-सा गुण भौतिक अधिशोषण का है ?
(a) उच्च विशिष्टता
(b) अनुत्क्रमणीयता
(c) अविशिष्टता .
(d) इनमें से कोई नहीं
उत्तर-
(c) अविशिष्टता .
प्रश्न 13.
निम्न में से कौन-सी गैस चारकोल पर न्यूनतम अवशोषित होती है ?
(a) HCl
(b) NH3
(c) O2
(d) CO2
उत्तर-
(c) O2
प्रश्न 14.
पायरोलुसाइट है
(a) Mn का एक सल्फाइड अयस्क
(b) Mn का एक ऑक्साइड अयस्क
(c)P का एक कार्बाइड अयस्क
(d) Zn का एक क्लोराइड अयस्क
उत्तर-
(b) Mn का एक ऑक्साइड अयस्क
प्रश्न 15.
निम्न में से कौन-सा एक सल्फाइड अयस्क नहीं है ?
(a) गेलेना
(b) आयरन पायराइट
(c) मेग्नेटाइट
(d) कॉपर ग्लांस
उत्तर-
(c) मेग्नेटाइट
![]()
प्रश्न 16.
नाइट्रोजन स्थायी N2 अणु बनाता है किन्तु फॉस्फोरस P2 से P4 में परिवर्तित हो जाता है क्योंकि ।
(a) pπ-pπ आबन्धन फॉस्फोरस में प्रबल होता है।
(b) pπ-pπ आबन्धन फॉस्फोरस में दुर्बल होता है।
(c) फॉस्फोरस में त्रिबन्ध उपस्थित होता है।
(d) एकल P-आबन्ध, N-N आबन्ध से दुर्बल होता है।
उत्तर-
(b) pπ-pπ आबन्धन फॉस्फोरस में दुर्बल होता है।
प्रश्न 17.
निम्न में से कौन-सी स्पीशीज में अत्यधिक द्विध्रुव आघूर्ण होता है ?
(a) SbH3
(b) PH3
(c) NH3
(d) AsH3
उत्तर-
(b) PH3
प्रश्न 18.
निम्न में से कौन किस संक्रमण धातु आयन का चुम्बकीय आघूर्ण अधिकतम होता है ?
(a) Cu2+
(b) Ni2+
(c) Co2+
(d) Fe2+
उत्तर-
(d) Fe2+
प्रश्न 19.
निम्न में से कौन-सा यौगिक रंगयुक्त नहीं होता है ?
(a) Na2[CuCl4]
(b) Na2[CdCl4]
(c) K4 [Fe(CN)6 ]
(d) K3[Fe(CN)6]
उत्तर-
(b) Na2[CdCl4]
![]()
प्रश्न 20.
उपसहसंयोजन यौगिकों के वर्नर के सिद्धांत के अनुसार,
(a) प्राथमिक संयोजकता, आयनिक संयोजकता होती है।
(b) द्वितीयक संयोजकता, आयनिक संयोजकता होती है।
(c) प्राथमिक एवं द्वितीयक संयाजकताएँ आयनिक संयोजकताएँ होती हैं ।
(d) न तो प्राथमिक और न ही द्वितीयक संयोजकता, आयनिक संयोजकता होती है।
उत्तर-
(a) प्राथमिक संयोजकता, आयनिक संयोजकता होती है।
प्रश्न 21.
निम्न आयनों पर आवेश x एवं y हैं
(i) [Co(NH3)2Cl4]x
(ii) [Fe(CN)6]
(Co की ऑक्सीकरण अवस्था + 3 है तथा Fe उसके संधित संकुलों में +2 है)
(a) x = + 1,y=-1
(b) x= – 1, y= +3
(c) x = – 1, y = -4
(d) x =-2, y=-3
उत्तर-
(c) x = – 1, y = -4
प्रश्न 22.
तृतीयक ब्यूटिल क्लोराइड का IUPAC नाम है
(a) 2-क्लोरो-2-मेथिलप्रोपेन
(b) 3-क्लोरोब्यूटेन
(c) 4-क्लोरोब्यूटेन
(d) 1,2-क्लोरो-3-मेथिलप्रोपेन
उत्तर-
(a) 2-क्लोरो-2-मेथिलप्रोपेन
प्रश्न 23.
(CH3)2CH-CH)2-CH2Br का IUPAC नाम है –
(a) i-ब्रोमोपेन्टेन
(b) 1-ब्रोमो-3-मेथिलब्यूटेन
(c) 2-मेथिल-4-ब्रोमोब्यूटेन
(d) 3-मेथिल-3-ब्रोमोब्यूटेन
उत्तर-
(b) 1-ब्रोमो-3-मेथिलब्यूटेन
प्रश्न 24.
अभिक्रियाओं के निम्न क्रम में,

निर्मित यौगिक Q होगा –
(a) ऐनिलीन
(b) फीनॉल
(c) बेंजेल्डीहाइड
(d) बेंजीन सल्फोनिक अम्ल
उत्तर-
(b) फीनॉल
![]()
प्रश्न 25.
किसी ऐल्कीन CH3CH = CH2 को H2O2की उपस्थिति में B2H2 के साथ उपचारित किया जाता है। निर्मित अंतिम उत्पाद है
(a) CH3CH2CHO
(b) CH3CH(OH)CH3
(c) CH3CH2CH2OH
(d) (CH3CH2CH2)3B
उत्तर-
(c) CH3CH2CH2OH
प्रश्न 26.
डाइईन, ब्यूटा-1, 3-डाइईन का ऐल्डिहाइडों को बनाने के लिये ओजोनीकरण किया गया । निम्न में कौन-से ऐल्डिहाइड इस अभिक्रिया के दौरान प्राप्त होंगे?

उत्तर-
(a)
प्रश्न 27.
कार्बनिक यौगिक के ओजोनीकरण से प्राप्त उत्पादों में से एक के रूप में फॉर्मेल्डिहाइड है। यह इसकी उपस्थिति को पुष्ट करता है
(a) दो एथिलेनिक द्विआबन्ध
(b) विनाइल समूह
(c) आइसोप्रोपिल समूह
(d) ऐसीटिलेनिक ट्रिपल आबन्ध
उत्तर-
(b) विनाइल समूह
प्रश्न 28.
जब एथिल आयोडाइड की अधिकता को अमोनिया से उपचारित किया जाता है, तो उत्पाद है
(a) एथिलऐमीन
(b) डाइएथिलऐमीन
(c) ट्राइएथिलऐमीन
(d) टेट्राएथिलअमोनियम आयोडाइड
उत्तर-
(d) टेट्राएथिलअमोनियम आयोडाइड
प्रश्न 29.
किस अभिक्रिया के द्वारा ऐमाइड का परिवर्तन ऐमीन में किया जाता है ?
(a) हॉफमेन
(b) क्लाइजेन
(c) पर्किन
(d) केकुले
उत्तर-
(a) हॉफमेन
प्रश्न 30.
ग्लाइकोसाइडिक बन्ध है
(a) एमाइड बन्ध
(b) एस्टर बन्ध
(c) ईथर बन्ध
(d) ऐसीटिल बन्ध
उत्तर-
(c) ईथर बन्ध
प्रश्न 31.
स्टार्च दो पॉलीसैकेराइडों को बनाता है जो हैं
(a) एमाइलोपेक्टिन एवं ग्लाइकोजन
(b) एमाइलोज एवं ग्लाइकोजन
(c) एमाइलोज एवं एमाइलोपेक्टिन
(d) सेल्यूलोज एवं ग्लाइकोजन
उत्तर-
(c) एमाइलोज एवं एमाइलोपेक्टिन
प्रश्न 32.
निम्न में से कौन-से थर्मोप्लास्टिक, बहुलक हैं ?
(a) पॉलीथीन, यूरिया-फॉर्मेल्डिहाइड, पॉलीविनाइल
(b) बैकलाइट, पॉलीथीन, पॉलिस्टिीन
(c) पॉलीथीन, पॉलिस्टिरीन, पॉलीविनाइल
(d) यूरिया-फॉर्मेल्डिहाइड, पॉलिस्टिरीन, बैकेलाइट
उत्तर-
(c) पॉलीथीन, पॉलिस्टिरीन, पॉलीविनाइल
![]()
प्रश्न 33.
ग्लाइकोजन, प्राकृतिक रूप से प्राप्त एकबहुलक जो पशुओं में संचित होता है, है
(a) मोनोसैकेराइड
(b) डाइसैकेराइड
(c) ट्राइसैकेराइड
(d) पॉलीसैकेराइड
उत्तर-
(d) पॉलीसैकेराइड
प्रश्न 34.
बार्बीट्यूरिक अम्ल एवं इसके व्युत्पन्नों को इस रूप में जाना जाता है
(a) प्रशान्तक (ट्रैक्विलाइजर्स)
(b) पूतिरोधी (ऐन्टीसेप्टिक)
(c) दर्द निवारक (ऐनेलजेसिक)
(d) ज्वर निवारक (एन्टीपयरीटिक)
उत्तर-
(a) प्रशान्तक (ट्रैक्विलाइजर्स)
प्रश्न 35.
वह औषधि जो ज्वर निवारक के साथ-साथ दर्द निवारक भी होती है, वह है
(a) क्लोरोक्वीन
(b) पेनिसिलीन
(c) क्लोरडाइएजेपॉक्साइड
(d) 4-ऐसीटामाइडोफिनॉल
उत्तर-
(d) 4-ऐसीटामाइडोफिनॉल
खण्ड-ब : गैर-वस्तुनिष्ठ प्रश्न
प्रश्न संख्या 1 से 18 तक सभी लघु उत्तरीय कोटि के प्रश्न हैं। इस कोटि के प्रत्येक के लिए 2 अंक निर्धारित है । आप किन्हीं दस (10) प्रश्नों के उत्तर दें। (10 x 2 = 20)
लघु उत्तरीय प्रश्न
प्रश्न 1.
निम्नलिखित संकुल यौगिकों का IUPAC नाम लिखें:
(क) [Pt (NH3Cl]2] Cl2
(ख) [Cr (NH3)4Cl2]+
उत्तर-
(क) डाइएमीन डाइक्लोरिडो प्लैटिनम (iv) क्लोराइड (ख) टेट्रा एमीन डाइक्लोरिडो क्रोमियम (III) आयन
![]()
प्रश्न 2.
(क) Cd2+ के लवण सफेद होते हैं ?
(ख) H3PO3 क्यों एक अवकारक अभिकर्मक के रूप में कार्य करता है जबकि H3PO4 ऐसा नहीं करता है ?
उत्तर-
(क) चूँकि Cd2+ के पास केवल युग्मित इलेक्ट्रोन है अत: d-d transitin cd2+ के लवण में संभव नहीं है ।

(ख) H3PO3 में P का ऑक्सीकरण संख्या + 3 होता है अर्थात् इसकी ऑक्सीकरण संख्या बढ़ सकती है अर्थात् यह अवकारक अभिकर्मक की तरह कार्य करता है जबकि H3PO4 में P का ऑक्सीकरण संख्या + 5 है जो कि बढ़ नहीं सकता है अत: H3PO4 अवकारक अभिकर्मक के रूप में कार्य नहीं करता है।
प्रश्न 3.
दिए गए यौगिकों के IUPAC नाम लिखें :
(a) [Cu (NH3)4]Cl2
(b) KA4[Fe (CN)6]
उत्तर-
(a) टेट्राएमीन कॉपर (II) क्लोराइड
(b) पोटैशियम हैक्सोसायनो फेरेट (II)
प्रश्न 4.
निम्नलिखित परिवर्तन आप कैसे करेंगे?
(a) इथाइल ऐल्कोहल से इथिलीन
(b) ऐसीटिलीन से बेंजीन ।
उत्तर-

![]()
प्रश्न 5.
निम्नलिखित की व्याख्या करें :
(a) हाइड्रोजन आयोडाइड (HI), हाइड्रोजन फ्लोराइड (HF) से शक्तिशाली अम्ल है।
(b) फ्लोरीन की इलेक्ट्रॉन बंधुता क्लोरीन से कम होता है।
उत्तर-
(a) HI के वियोजन ऊर्जा का मान MF की तुलना में कम है और HI आसानी से आयनीकृत हो जाता है । अत: HF कमजोर अम्ल है HI से ।
(b) फ्लोरीन की छोटी आकृति होने के कारण इलेक्ट्रॉन प्रतिकर्षण का मान बढ़ जाता है । अत: आनेवाले इलेक्ट्रॉन पर फ्लोरीन, क्लोरीन की तुलना में कम नाभिकीय आकर्षण बल लगाना है । अतः फ्लोरीन की इलेक्ट्रॉन बंधुता का मान क्लोरीन से कम होता है।
प्रश्न 6.
अवशोषण एवम् अधिशोषण में विभेद करें।
उत्तर-
अवशोषण तथा अधिशोषण में अंतर निम्न है
अवशोषण-(i) इस प्रक्रिया में एक पदार्थ दूसरे पदार्थ में समान रूप से वितरित रहते हैं । (ii) इसमें सम्पूर्ण पदार्थ में सान्द्रण समान रहता है । (iii) अवशोषण समान गति से होता है ।
अधिशोषण-(i) इस प्रक्रिया में एक पदार्थ दूसरे पदार्थ के सतह पर जमा होते हैं । (ii) इसमें सतह पर अंदर की अपेक्षा सान्द्रण अधिक होता है । (iii) अधिशोषण शुरू में तीव्र गति से होता है पर जब रिक्त सतह नहीं रहता है तो धीमी हो जाती है।
प्रश्न 7.
फार्मिक अम्ल ऐसीटिक अम्ल से शक्तिशाली है कारण बताइए:
उत्तर-

एसीटिक अम्ल एसीटिक अम्ल में CH3-समूह + I-प्रभाव को बढ़ा देता है जो 0-H के वियोजन को कम कर देता है । इसी कारण फार्मिक अम्ल, एसीटिक अम्ल से सबल है ।
प्रश्न 8.
प्रगलन की परिभाषा दें:
उत्तर-
प्रगलन (smelting) : प्रगलन वह प्रक्रिया है जिसमें धातु को अयस्क से द्रवित अवस्था में निष्कर्षित किया जाता है । जैसे-लोहे को इसके अयस्क से अभिधमन भट्ठी में प्रद्रवित करके निकाला जाता है ।
![]()
प्रश्न 9.
कोलाइड बनाने की दो विधियों को लिखें ।
उत्तर-
(i) संघनन विधि (Condensation method) (ii) परिक्षेपण विधि (Dispersion method)
प्रश्न 10.
तनु घोल के अणुसंख्य गुणधर्म को लिखें । विभिन्न प्रकार के अणुसंख्य गुणधर्मों को लिखें।
उत्तर-
अणु संख्यक गुणधर्म : अणुसंख्यक गुणधर्म तनु विलयनों के वे गुण होते हैं, जो विलेय कणों की संख्या पर निर्भर करते हैं न कि उनके प्रकृति पर ये निम्नलिखित हैं। ___ (i) वाष्प-दाब में आपेक्षिक अवनमन (ii) क्वथनांक में उन्नयन (iii) हिमांक में अवनमन (iv) परासरण दाब ।
प्रश्न 11.
प्रथम कोटि की अभिक्रिया के वेग स्थिरांक का मान 60 sec-1 है। इसी अभिक्रिया के 75% पूरा होने में कितना समय लगेगा?
उत्तर-
माना प्रारंभिक सान्द्रता = a ML-1 , माना t समय में 75% भाग पूरा हो जाता है ।

प्रश्न 12.
प्रमाणित करें कि प्रथम-कोटि अभिक्रिया का अर्द्ध-जीवनकाल आरम्भिक सान्द्रण पर निर्भर नहीं करता है।
उत्तर-

स्पष्टतः प्रथम कोटि अभिक्रिया का अर्द्धकाल उसके अभिकारक के प्रारंभिक सान्द्रण पर निर्भर नहीं करता है ।
![]()
प्रश्न 13:
मानक इलेक्ट्रॉड विभव की परिभाषा दें ।
उत्तर-
मानक इलेक्ट्रोड विभव : जब किसी धातु छड़ को IM सान्द्रण वाले विलयन जिसका तापमान 298k हो में डुबाने के बाद दोनों विभवों के बीच उत्पन्न विभव को मानक इलेक्टोड विभव कहते हैं ।
मानक इलेक्ट्रोड विभव निर्धारण के लिए किसी धातु इलेक्ट्रोड को मानक हाइड्रोजन इलेक्ट्रोड से जोड़ा जाता है ।
प्रश्न 14.
सक्रिय ऊर्जा क्या है ? किसी अभिक्रिया के वेग स्थिरांक और सक्रिय ऊर्जा में सम्बन्ध स्थापित करें ।
उत्तर-
सक्रिय ऊर्जा : किसी भी रासायनिक प्रतिक्रिया को सम्पन्न होने के लिए यह आवश्यक है कि अभिकारकों के अणुओं में एक निश्चित न्यूनतम ऊर्जा होनी चाहिए । ऊर्जा की वह न्यूनतम मात्रा जो अभिकारक के अणुओं के पास होनी चाहिए जिससे कि वे उत्पाद में परिवर्तन हो सके देहली ऊर्जा कहलाती है । अभिकारक के जिन अणुओं की ऊर्जा देहली ऊर्जा से कम होती है, उत्पादों में प्रवर्तित नहीं हो पाता है । अतः वह अतिरिक्त ऊर्जा जो अभिकारक के अणु देहली ऊर्जा के बराबर के लिए ग्रहण करते हैं सक्रिय ऊर्जा कहलाता है।
अभिक्रिया के वेग स्थिरांक एवं सक्रिय ऊर्जा में संबंधआहेनियस समी. से,

इस प्रकार Ea के बढ़ने से k का मान घटता है ।
प्रश्न 15.
भौतिक अधिशोषण और रासायनिक अधिशोषण में मुख्य अंतर क्या है ?
उत्तर-
भौतिक अधिशोषण तथा रासायनिक अधिशोषण में अंतर निम्न है
भौतिक अधिशोषण : (i) अधिशोषण और अधिशोषण के बीच वान्डरवॉल बल होता है । (ii) अधिशोषण की ऊष्मा कम होती है (20-40 kJ/mol) (iii) यह उत्क्रमणीय होता है । (iv) यह कम ताप पर होता है तथा ताप में वृद्धि के साथ घटता है ।
रासायनिक अधिशोषण : (i) अधिशोषण एवं अधिशोषण के बीच प्रबल रासायनिक बंध होता है । (ii) अधिशोषण की ऊष्मा उच्च होती है (80 – 240 kJ/mol) (iii) यह अनुत्क्रमणीय होता है । (iv) यह उच्च ताप पर होता है ।
प्रश्न 16.
किसी रासायनिक अभिक्रिया A + B→ प्रतिफल, के अभिक्रिया का दर अगर R=K [A]1/2[B]3/2 है, तो अभिक्रिया की कोटी क्या होगी?
उत्तर-
A+ B → Production

![]()
प्रश्न 17.
टिन्डल प्रभाव क्या है ? व्याख्या करें।
उत्तर-
जब प्रकाश की एक बीम को कोलॉइडी घोल से होकर गुजरने देते हैं । घोल के अन्दर प्रकाश-बीम का रास्ता चमकने लगता है इस क्रिया को टिंडल प्रभाव कहते हैं । सामान्य घोलों में ऐसा नहीं होता है । जब सूर्य के प्रकाश की एक बीम किसी छेद द्वारा अंधेरे घर में पहुँचती है, तो उसमें चमकते हुए धूल कण आसानी से देखे जा सकते है । हवा में धूल कण एक कोलॉइडी विलयन बनाते हैं।
कोलॉइडी कणों का यह गुण उनके द्वारा प्रकाश के प्रकीर्णन के कारण होता है।
प्रश्न 18.
संक्रमण तत्व रंगीन यौगिक बनाते हैं। व्याख्या करें।
उत्तर-
रंगीन लवण का निर्माण-संक्रमण तत्व रंगीन लवण का निर्माण करते हैं, क्योंकि संक्रमण तन्वों आयनों में कक्षक के अयुग्मित इलेक्ट्रॉन बाह्य वातावरण से ऊर्जा अवशोषित करके उच्च ऊर्जा तलों में संक्रमण कर जाता है और पुनः लौटने समय ऊर्जा को प्रकाश के रूप में उत्सर्जन करता है। इस प्रकार संक्रमण तत्व रंगीन लवण का निर्माण करता है।
दीर्घ उत्तरीय प्रश्न
प्रश्नों संख्या 19 से 24 तक दीर्घ उत्तरीय प्रश्न है । इस कोटि के प्रत्येक प्रश्न के लिए 5 अंक निर्धारित है । आप किन्हीं तीन प्रश्नों के उत्तर दें।
(3 x 5 = 15)
प्रश्न 19.
(a) सम्पर्क विधि द्वारा सल्फ्यूरिक अम्ल के उत्पादन की विधि का सिद्धान्त लिखें।
(b) सल्फेट आयन की जाँच आप कैसे करेंगे?
उत्तर-
सम्पर्क विधि से गन्धकाम्ल के निर्माण का सिद्धान्त : सल्फर डाई ऑक्साइड तथा ऑक्सीजन मिलाकर सल्फर ट्राईऑक्साइड (SO3) का निर्माण करती है ।
2SO2(g)+O2 (g) ⇌ 2SO3(g), ∆H = -45.2Kcal. यह एक उत्क्रमणीय तथा उष्माक्षेपी प्रतिक्रिया है, तथा फार्वड भी है अतः नियमानुसार कम ताप और अधिक दाद पर SO3 का निर्माण ज्यादा होगा । इसके लिए उपयुक्त ताप 670-720kilथा दाब 1.5-1.7 वायुमंडलीय दाब उपयुक्त है । वैनेडियम पेन्टाऑक्साइड (V2O5) उत्प्रेरक के रूप में प्रयुक्त किया जाता है । बनने वाली सल्फर डाइऑक्साइड को सान्द्र गंधकाम्ल के अवशोषित कराने पर ओलियम बनता है

ओलियम ओलियम में आवश्यक जल की मात्रा मिलाने पर गंधकाम्ल प्राप्त होता है।
H2S2O7+ H2O → 2H2SO4
SO42- आयन का परीक्षण : सल्फेट आयन वाले यौगिकों को Bacl, के साथ प्रतिक्रिया कराने पर BaSO4, उजला अवक्षेप मिलता है ।

प्रश्न 20.
कार्बोहाइड्रेट क्या हैं ? इनका वर्गीकरण कैसे किया गया है?
उत्तर-
कार्बोहाइड्रेट : कार्बोहाइड्रेट प्राकृतिक कार्बनिक अवयव है जो हमारे भोजन के ऊर्जा के सस्ते श्रोत माना जाता है । यह कार्बन, हाइड्रोजन | तथा ऑक्सीजन से निर्मित वह रासायनिक यौगिक जो पॉली हाइड्रोक्सी एल्डिहाइड अथवा कीटोन हो, कार्बोहाइड्रेट कहलाता है इसका सामान्य सूत्र Cx(H2O)y होता है । पौधा में कार्बोहाइड्रेट का निर्माण प्रकाश-संश्लेषण की क्रिया के द्वारा होता है जबकि जन्तु में CO2तथा H2O के अपघटन से बनता है । ग्लूकोज [C6 (H2O)6 तथा [C12(H2O)11] सुक्रोज इसका उदाहरण है।
कार्बोहाइड्रेट को तीन वर्गों में बाँटा गया है- (i) मानोसैकराइड (ii) ऑलिगोसैकेराइड (iii) पॉलीसैकराइड
(i) मानोसैकराइड : सभी कार्बोहाइड्रेट जल अपघट के फलस्वरूप मानोसैकराइड बनता है और इसे और अधिक सरल यौगिक में अपघटित नहीं किया जा सकता है । ग्लूकोस तथा फ्रक्टोस इनके मुख्य उदाहरण हैं ।

(ii) ऑलिगोसैकराइड : जो कार्बोहाइड्रेट जल द्वारा अपघटित होकर एक से ज्यादा (लगभग 2-10) मोनोसैकराइड देते हों ऑलिसैकराइड कहलाता है। तनु अम्लों अथवा इंजाइमों द्वारा जल अपघटित होने पर ये समान अथवा भिन्न मोनोसैकराइड के दो अणु बनाते हैं।

(iii) पौलिसैकराइड : वह कार्बोहाइड्रेट जिसमें हजारों मोनोसैकराइड इकाइयाँ ग्लाइकोसिडिक बंधन द्वारा जुड़े हो, फॉलिसैकराइड कहलाता है । स्टार्च, सेलूलोस, ग्लाइकोजीन तथा डेक्सीड्रीन इसके प्रमुख उदाहरण हैं ।
![]()
![]()
प्रश्न 21.
निम्नलिखित की व्याख्या करें :
(a) कोल्बे अभिक्रिया (b) वुर्ज अभिक्रिया (c) कार्बाइल ऐमीन अभिक्रिया।
उत्तर-
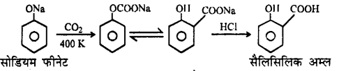
(a) कोल्बे अभिक्रिया : जब CO, गैस को 400K ताप और 4. 7 वायुदाब पर फीनेट से होकर प्रवाहित की जाती है, तो सैलिसिलिक अम्ल प्राप्त होता है । यह अभिक्रिया कोल्बे अभिक्रिया कहलाती है ।

(b) वुर्ज अभिक्रिया : जब ऐल्किल हैलाइड की अभिक्रिया शुष्क ईथर की उपस्थिति में सोडियम धातु की साथ कराई जाती है तो ऐल्केन बनता है। यह अभिक्रिया वुर्ज अभिक्रिया कहलाती है।

(c) कार्बाइल एमिन अभिक्रिया-जब क्लोरोफॉर्म तथा प्राथमिक एमिन को KOH की उपस्थिति में साथ गर्म किया जाता है तो अइसोसाइनाइट बनता है।
![]()
प्रश्न 22.
निम्नलिखित में प्रत्येक का एक-एक उदाहरण दें: (a) संश्लिष्ट रबर (b) प्राकृतिक रूप में पाये जाने वाले ऐमीनो एसिड (c) संघनन पॉलिमर (d) अतिरिक्त पॉलिमर (e) कृत्रिम मधुरक।।
उत्तर-
(a) संश्लिष्ट रबर-नियो प्रीन (b) ग्लाइसिन, ज्वीटर आयन-नायलॉन-6 (c) संघनन पॉलिमर-थाइलॉन 6, 6 (d) अतिरिक्त पमैलीमर-ब्यूना-5 (f) कृत्रिम मधुरक-ऐस्पोर्टम
प्रश्न 23.
एल्युमिनियम का निष्कर्षण बॉक्साइट अयस्क से कैसे किया जाता है। इसमें निहित सिद्धान्त का उल्लेख करें। एल्युमिनियम सान्द्र सल्फ्यूरिक अम्ल के साथ कैसे अभिक्रिया करता है ? ।
उत्तर-
एलुमिनियम का निष्कर्षण : एल्युमिनियम का मुख्य अयस्क बॉक्साइड (Al2O3.2H2O) है । प्रकृतिक बॉक्साइड में सिलिका फेरिक ऑक्साइड तथा अशुद्धियाँ रहती है जिसे बेयर विधि द्वारा अलग किया जाता है।
प्रथम चरण :

प्राप्त Al(OH)3 को छान लिया जाता है । निष्पादन विधि द्वारा ऐलुमिना | (Al2O3) प्राप्त किया जाता है । 2Al(OH)3 → Al2O3 + 3H2O
दूसरा चरण : इलेक्ट्रोलाइसिस : Al2O3 (alumina) को क्रायोलाइट के साथ मिलाकर इलेक्ट्रोलाइसिस कराया जाता है । इस तरह हम एल्युमिनियम पाते हैं।

![]()
प्रश्न 24.
निम्नलिखित की व्याख्या करें : (a) PCl5 ज्ञात है जबकि NCl5 ज्ञात नहीं है।
(b) फ्लोरीन सिर्फ एक ऑक्सीकरण अवस्था प्रकट करता है जबकि शेष हैलोजन्स विभिन्न ऑक्सीकरण अवस्था प्रकट करते हैं।
(c) अक्रिय गैसें एक-परमाणविक होती हैं।
(d) फूलों पर क्लोरीन द्वारा विरंजक-गुण स्थायी होता है जबकि | सल्फर डाइऑक्साइड द्वारा अस्थायी होता है। .
उत्तर-
(a) N7 → 1s22s22p3
(b) N17 → 1s22s22p63s23p53d10
नाइट्रोजन में d-ऑर्बिटल की अनुपस्थिति है जबकि क्लोरीन में 3d- ऑर्बिटल है जिसके कारण उत्तेजित अवस्था में यह पाँच संयोजकता प्रदर्शित करता है और और Pcl5 बनाता है जबकि Ncl5 नहीं बनाता है ।।
(b) क्योंकि फ्लोरीन में d-कक्षक नहीं होता है इसलिए फ्लोरीन में स्थित p इलेक्ट्रॉन उत्तेजित नहीं हो पाता है । अतः यह +1, +3, +5 और +7 ऑक्सीकरण अवस्थाएँ प्रदर्शित नहीं करता जबकि अन्य हैलोजन तत्वों में रिक्त
d-कक्षक होने के कारण ये +1, +3, +5 और +7 ऑक्सीकरण प्रदर्शित करते हैं।
(c) अक्रिय गैसें केवल ऑक्सीकारक ही बनाती है इसलिए यह एक परमाणविक होती है।
(d) क्लोरीन एक प्रबल विरंजक पदार्थ है जो नियोजित होकर नवजात ऑक्सीजन बनाता है। यह नवजात, ऑक्सीजन क्लोरीन में विरंजन गुण को प्रदर्शित करता है।
Cl2 + H2O→ 2HCl + [O]
रंगीन पदार्थ + [O] → रंगहीन पदार्थ SO2 जल से प्रतिक्रिया कर नवजात हाइड्रोजन देता है।
SO2 + 2H2O→ H2SO4 + 2[H]
रंगीन पदार्थ + [H] → रंगहीन पदार्थ हवा में आद्रित होकर पुन: यह रंगीन हो जाता है । अतः क्लोरीन द्वारा पदार्थ का विरंजन स्थाई है जबकि SO2 द्वारा अस्थाई ।