Bihar Board 12th Maths Model Papers
Bihar Board 12th Maths Model Question Paper 1 in English Medium
Time : 3 Hours 15 Min
Full Marks: 100
Instructions for the candidates :
- Candidates are required to give their answers in their own words as far as practicable.
- Figure in the right-hand margin indicates full marks.
- While answering the questions, the candidate should adhere to the word limit as far as practicable.
- 15 Minutes of extra time has been allotted for the candidate to read the questions carefully.
- This question paper is divided into two sections. Section-A and Section-B
- In Section A, there are 1-50 objective type questions which are compulsory, each carrying 1 mark. Darken the circle with blue/black ball pen against the correct option on the OMR Sheet provided to you. Do not use Whitener/Liquid/ Blade/Nail on OMR Sheet otherwise result will be invalid.
- In section-B, there are 25 short answer type questions (each carrying 2 marks), out of which only 15 (fifteen) questions are to be answered.
A part from this there is 08 Long Answer Type questions (each carrying 5 marks), out of which 4 questions are to be answered. - Use of any electronic device is prohibited.
Objective Type Questions
There are 1 to 50 objective type questions with 4 options, choose the correct option which, is to be answered on OMR Sheet. (50 x 1 = 50)
Question 1.
Which of the following has its inverse function one-one and onto?
(a) one-one onto
(b) one-one into
(c) many one onto
(d) many on into
Answer:
(a) one-one onto
![]()
Question 2.
A relation R in a set X is an equivalence relation if R is
(a) reflexive
(b) symmetric
(c) transitive
(d) All of above
Answer:
(d) All of above
Question 3.
The number of all one-one functions from set {a, b, c, d} to itself is
(a) 12
(b) 24
(c) 36
(d) None
Answer:
(b) 24
Question 4.
If \(-\frac{\pi}{2}<x<\frac{\pi}{2}\) then tan(tan-1 x) =
(a) tan x
(b) cotx
(c) x
(d) -x
Answer:
(c) x
![]()
Question 5.
Sin-1 x + Cos-1 y =
(a) 0
(b) \(\frac{\pi}{4}\)
(c) \(\frac{\pi}{2}\)
(d) π
Answer:
(c) \(\frac{\pi}{2}\)
Question 6.
If x > 0, y > 0, xy < 1, then tan-1x + tan-1 y =
(a) tan-1 (x+y)
(b) \(\tan ^{-1} \frac{x+y}{1-x y}\)
(c) tan-1
(d) sin-1(x + y)
Answer:
(b) \(\tan ^{-1} \frac{x+y}{1-x y}\)
Question 7.
(a) tan-12x
(b) \(\tan ^{-1} \frac{2 x}{1-x^{2}} \)
(c) \(\tan ^{-1} \frac{2 x}{1+x^{2}}\)
(d) \(\cot ^{-1} \frac{2}{x}\)
Answer:
(b) \(\tan ^{-1} \frac{2 x}{1-x^{2}} \)
Question 8.
\(2\left[\begin{array}{ll}
x & y \\
1 & m
\end{array}\right]\) =

Answer:
(c) \(\left[\begin{array}{cc}
2 x & 2 y \\
1 & 2 m
\end{array}\right]\)
![]()
Question 9.
\(5\left|\begin{array}{ll}
2 & 3 \\
3 & 4
\end{array}\right|=\)

Answer:
\(\left|\begin{array}{cc}
2 & 3 \\
15 & 20
\end{array}\right|\)
Question 10.
If A = \(\left[\begin{array}{cc}
5 & -5 \\
5 & -5
\end{array}\right]\) then A’ =

Answer:
(c) \(\left[\begin{array}{cc}
5 & 5 \\
-5 & -5
\end{array}\right]\)
Question 11.
\(\left|\begin{array}{ll}
1 & 0 \\
0 & 1
\end{array}\right|=\)
(a) 0
(b) 1
(c) -1
(d) 2
Answer:
(b) 1
Question 12.
\(\left[\begin{array}{ll}
\mathbf{a} & \mathbf{b} \\
\mathbf{c} & \mathbf{d}
\end{array}\right]+\left[\begin{array}{ll}
\mathbf{p} & \mathbf{q} \\
\mathbf{r} & \mathbf{s}
\end{array}\right]=\)

Answer:
\(\left[\begin{array}{cc}
a+p & b+q \\
c+r & d+s
\end{array}\right]\)
Question 13.
For a non-invertible matrix A,
(a) | A | = 0
(b)|A|≠ 0
(c) | A | = 1
(d) | A | = 2
Answer:
(b)|A|≠ 0
Question 14.
If 1 is an unit matrix of order 2 × 2 then I3 =
(a) 3I2
(b) 3 + I
(c) 3I
(d) I
Answer:
(d) I
![]()
Question 15.
If A = \(\left[\begin{array}{ll}
2 & 3 \\
4 & 5
\end{array}\right]\) and \(\left[\begin{array}{ll}
4 & 6 \\
8 & 10
\end{array}\right]\) then 2A – B =
(a) [0]
(b) [0,0]
(c) \(\left[\begin{array}{ll}
0 & 0 \\
0 & 0
\end{array}\right]\)
(d) [3]
Answer:
(c) \(\left[\begin{array}{ll}
0 & 0 \\
0 & 0
\end{array}\right]\)
Question 16.
If the order of two matrices A and B are 2×4 and 3×2 respectively then the order of AB is
(a) 2 x 2
(b) 4 x 3
(c) 2 x 3
(d) it is not possible to find AB
Answer:
(d) it is not possible to find AB
Question 17.
\(\frac{d}{d x}(\tan x)=\) =
(a) cot x
(b) Sec2x
(c) Secx tanx
(d) Secx
Answer:
(b) Sec2x
Question 18.
\(\frac{d}{d x}\left(\sin ^{3} x\right)=\)
(a) 3 cos3
(b) 3 sin2xcosx
(c) 3sin2x
(d) cos3x
Answer:
(b) 3 sin2xcosx
Question 19.
\(\frac{d}{d x}\) [3 (sin2 x + cos2x )] =
(a) 3
(b) 1
(c) 0
(d) 6 sin x cos x
Answer:
(c) 0
Question 20.
\(\frac{d}{d x}\) (e4x) =
(a) e4x
(b) ex
(c) \(\frac{e^{4 x}}{4}\)
(d) 4e4x
Answer:
(d) 4e4x
![]()
Question 21.
\(\frac{d}{d x}\left(x^{5}\right)=\)
(a) 5x5
(b) 5x4
(c) \(\frac{x^{6}}{6}\)
(d) \(\frac{x^{4}}{4} \)
Answer:
(b) 5x4
Question 22.
\(\frac{d}{d x}\) [log(x3)] =
(a) \(\frac{1}{x^{3}}\)
(b) \(\frac{3}{x}\)
(c) 3x
(d) \(\frac{3}{x^{3}}\)
Answer:
(b) \(\frac{3}{x}\)
Question 23.
If x= cosθ,y = sinθ then \(\frac{d y}{d x}\) =
(a) tanθ
(b) sec2θ
(c) cotθ
(d) – cotθ
Answer:
(d) – cotθ
Question 24.
\(\frac{d}{d x}\left(x^{1 / 3}\right)=\)

Answer:
(d) \(\frac{1}{3} x^{2 / 3}\)
Question 25.
∫ sin 2x dx =
(a) K + 2 cos2x
(b) \(\frac{\cos 2 x}{2}+K\)
(c) \(K-\frac{\cos 2 x}{2}\)
(d) \(K-\frac{\cos 2 x}{3}\)
Answer:
(c) \(K-\frac{\cos 2 x}{2}\)
Question 26.
∫x4dx =
(a) K + x5
(b) \(K+\frac{x^{4}}{5}\)
(c) \(K+\frac{x^{5}}{5}\)
(d) \(K+\frac{x^{5}}{4}\)
Answer:
(c) \(K+\frac{x^{5}}{5}\)
Question 27.
∫e3x dx =
(a) e3x + K
(b) K + 3e3x
(c) \(\frac{e^{3 x}}{3}+K\)
(d) \(\frac{e^{3 x}}{4}+K\)
Answer:
(c) \(\frac{e^{3 x}}{3}+K\)
![]()
Question 28.
\(\int \frac{3}{x} d x=\)
(a) K + 3x2
(b) \(K-\frac{3}{x^{2}}\)
(c) 3x + K
(d) K + 3 log|x|
Answer:
(d) K + 3 log|x|
Question 29.
∫3dx =
(a) 3 + K
(b) x + K
(c) 3x + K
(d) 3K
Answer:
(c) 3x + K
Question 30.
∫√x.dx =

Answer:
(c) \(\frac{2}{3} x^{3 / 2}+K\)
Question 31.
\(\int_{0}^{\pi / 2} \sin x d x=\)
(a) 0
(b) 1
(c) -1
(d) \(\frac{\pi}{2}\)
Answer:
(b) 1
Question 32.
\(\int_{0}^{1} e^{x} d x=\)
(a) e
(b) e + 1
(c) e – 1
(d) 2e
Answer:
(c) e – 1
Question 33.
The solution of the equation \(\frac{d x}{x}=\frac{d y}{y}\) is
(a) x = Ky
(b) xy = K
(c) x + y = K
(d) x – y = K
Answer:
(a) x = Ky
Question 34.
The solution of the differential equation cosx dx + cosy dy = 0 is
(a) sinx + cosy = K
(b) sinx + siny = K
(c) cosx + cosy = K
(d) None of these
Answer:
(b) sinx + siny = K
Question 35.
The solution of exdx + eydy = 0
(a) ex + ey= K
(b) ex – ey = K
(c) ex+y = K
(d) None of these
Answer:
(a) ex + ey= K
Question 36.
The integrating factor of the linear differential equation \(\frac{d y}{d x}+x y=x^{3}\) is
(a) ex
(b) \(e^{\frac{x^{2}}{2}}\)
(c) x
(d) None of these
Answre:
(b) \(e^{\frac{x^{2}}{2}}\)
Question 37.
∫ logdx =
(a) x log x – x + K
(b) x log x + x + K
(c) \(\frac{1}{x}+K\)
(d) \(\frac{1}{2}(\log x)^{2}+K\)
Answer:
(a) x log x – x + K
![]()
Question 38.
\(\int \frac{d x}{1+x^{2}}=\)
(a) tan-1 x + K
(b) sin-1 x + K
(c) cos-1 x + K
(d) cot-1 x + K
Answer:
(a) tan-1 x + K
Question 39.
\(\overrightarrow{| \vec{i}} |=\)
(a) 0
(b) 1
(c) 2
(d) 3
Answer:
(b) 1
Question 40.
\(\vec{i} \cdot \vec{i}=\)
(a) 0
(b) 1
(c) \(\vec{j}\)
(d) \(\vec{k}\)
Answer:
(b) 1
Question 41.
\(\vec{i} \times \vec{i}=\)
(a) \(\vec{i}\)
(b) \(\vec{0}\)
(c) \(\vec{j}\)
(d) \(\vec{k}\)
Answer:
(b) \(\vec{0}\)
Question 42.
If O is the origin and the position vector of a point(2,3,4) then \(\overrightarrow{\mathrm{OA}}=\)

Answer:
(b) \(2 \vec{i}+3 \vec{j}+3 \vec{k}\)
Question 43.
\(\overrightarrow{| i}+2 \vec{j}+3 \vec{K} |=\)
(a) 14
(b) 6
(c) 1
(d) √14
Answer:
(d) √14
Question 44.
\((2 \vec{i}-3 \vec{j}+4 \vec{k}) \cdot(3 \vec{i}+4 \vec{j}-5 \vec{k})=\)
(a) 14
(b) -14
(c) 26
(d) -26
Answer:
(d) -26
![]()
Question 45.
The direction cosines of the y-axis are
(a) 0, 0, 0
(b) 1, 0, 0
(c) 0, 1, 0
(d) 0, 0, 1
Answer:
(c) 0, 1, 0
Question 46.
The condition for two lines having direction cosines I1 m1,n1 and I2, m2, n2 being parallel is
(a) l1l2 + m1m2 + n1n2 = 0
(b) \(\frac{I_{1}}{I_{2}}+\frac{m_{1}}{m_{2}}+\frac{n_{1}}{n_{2}}=0\)
(c) \(\frac{I_{1}}{I_{2}}=\frac{m_{1}}{m_{2}}=\frac{n_{1}}{n_{2}}\)
(d) None of these
Answer:
(c) \(\frac{I_{1}}{I_{2}}=\frac{m_{1}}{m_{2}}=\frac{n_{1}}{n_{2}}\)
Question 47.
The equation of a plane parallel to the plane x + 2y + 3z + 5 = 0 is
(a) x + 2y + 3z + 5 = 0
(b) x – 2y + 3z + 5 = 0
(c) x + 2y – 3z + 5 = 0
(d) None of these
Answer:
(d) None of these
Question 48.
The equation of a plane parallel to yz-plane is
(a) x + K
(b) y = K
(c) z = K
(d) None of these
Answer:
(a) x + K
Question 49.
If A and B be two arbitrary events where A ≠ φ then P (A∩B) =
(a) P (A). P (B/A)
(b) P (A) + P (B/A)
(c) P (A) – P (B/A)
(d) None of these
Answer:
(a) P (A). P (B/A)
Question 50.
The function in a linear programming problem whose maximum or minimum value has to be determined is called
(a) Objective function
(b) Constraint
(c) Both (a) and (b)
(d) None of these
Answer:
(a) Objective function
Non-Objective Type Questions
Short Answer Type Questions
Question No. 1 to 25 are short answer type questions. Each question of this category carries 2 marks. Answer any 15 questions. (15 x 2 = 30)
Question 1.
Examine whether the function f: R → R is one-one or many-one where f (x) = | x |, x ∈ R
Answer:
We have f(-1) = |- 1| = 1 and f(-1) = | 1 | = 1
Thus two different elements in R have the same Image,
∴ f is not one-one function, f is many one function.
Question 2.
Prove that 2 \(\tan ^{-1} \frac{1}{5}+\tan ^{-1} \frac{1}{4}=\tan ^{-1} \frac{32}{43}\)
Answer:

Question 3.
Solve for x : cot-1 x + sin -1\(\frac{1}{\sqrt{5}}\) = \(\frac{\pi}{4}\)
Answer:


Question 4.
Find the value of x from the following
\(\left[\begin{array}{cc}
2 x-y & 5 \\
3 & y
\end{array}\right]=\left[\begin{array}{cc}
6 & 5 \\
3 & -2
\end{array}\right]\)
Answer:
Given that \(\left[\begin{array}{cc}
2 x-y & 5 \\
3 & y
\end{array}\right]=\left[\begin{array}{cc}
6 & 5 \\
3 & -2
\end{array}\right]\)
∴ 2x – y = 6 ………..(1)
y = -2………..(2)
from (i) 2x + 2 = 6 ⇒ 2x = 4. ∴ x = 2
∴x = 2, y = 2
![]()
Question 5.
Evaluate:
\(\left|\begin{array}{ccc}
16 & 9 & 7 \\
23 & 16 & 7 \\
32 & 19 & 13
\end{array}\right|\)
Answer:

Question 6.
When Evaluate x : \(\left|\begin{array}{ll}
x & 4 \\
2 & 2 x
\end{array}\right|=0\)
Answer:
Given that \(\left|\begin{array}{ll}
x & 4 \\
2 & 2 x
\end{array}\right|=0\)
⇒ 2x2 – 8 = 0
⇒ 2x2 = 8
⇒ x2 = 4
∴ x = ±2
Question 7.
If A = \(\left[\begin{array}{c}
2 \\
-4 \\
3
\end{array}\right]\) and B = [ 2 3 4] then find B’A’
Answer:

Question 8.
If y + x = sin (y +x) then find dy/dx
Answer:

Question 9.
If \(y=\log \left(x^{2} \sqrt{x^{2}+1}\right)\) then find \(\frac{d y}{d x}\)
Answer:

![]()
Question 10.
If x = a cosθ, y = b sinθ, then find dy/dx
Answer:
Given that x = acosθ
D.W.R. to θ \(\frac{d x}{d \theta}\) = -asinθ…(i)
and y = bsinθ
D.w.r. to θ ; \(\frac{d y}{d \theta}\) = bcosθ …(ii)
\(\frac{(\mathrm{ii})}{(\mathrm{i})} \frac{d y}{d x}=-\frac{b}{a} \cot \theta\)
Question 11.
Integrate ∫ (sin x +cos x)2dx.
Answer:
Let I = ∫ (sin x + cos x)2 dx
= ∫ (sin2x + cos2x + 2sinx-cosx)dlv
= ∫ (l + sin 2x)clx = ∫ dx + ∫ sin 2x dx
= \(x-\frac{\cos 2 x}{2}+c\)
Question 12.
Evaluate: \(\int_{0}^{\pi / 2} \frac{d x}{1+\sin x}\)
Answer:

Question 13.
Evaluate : \(\int_{0}^{\pi / 2} \frac{\sin x d x}{\sin x+\cos x}\)
Answer:



Question 14.
Solve \(\frac{d y}{d x}\) – y tanx =-ysec2x.
Answer:
Given differentia] Equation is \(\frac{d y}{d x}\) – y tanx =-ysec2x.
This is L.D.E. of the form \(\frac{d y}{d x}\) + Py = Q
Here p = – tan x Q = sec2x

∴ Solution of given diff. eqn. is
y x l.F.= ∫ Q-(lF)dx + C
⇒ ycosx = ∫sec2x.cosxdx + C
⇒ ycosx = ∫ secxdx + C
⇒ ycosx = log |secx + tanx| + C
This is requried solution of given diff. eqn.
Question 15.
Integrate : ∫x2exdx
Answer:
Let I = ∫x2exdx

Question 16.
Find the scalar product of \(\overrightarrow{5} \vec{i}+\vec{j}-3 \vec{k}\) and \(3 \vec{i}-\overrightarrow{4 j}+7 \vec{K}\)
Answer:
Let \(\vec{a}=5 \hat{l}+\hat{j}-3 \hat{k}\) and \(\vec{b}=3 \hat{\imath}-4 \hat{j}-7 \hat{k}\)
∴ \(\vec{a} \cdot \vec{b}\) = (5 x 3) + (1 x -4)÷(- 3 x 7)
15 – 4 – 21 = – 10
Question 17.
If \(\vec{a}=3 \vec{i}+4 \vec{j}-5 \vec{k}\) and b = \(7 \vec{i}-3 \vec{j}+6 \vec{K}\) then find \((\vec{a}+\vec{b}) \times(\vec{a}-\vec{b})\)
Answer:

Question 18.
Find the acute angle between two straight lines whose direction ratios are (1,1,0) and (2,1,2).
Answer:
Direction ratios of the first line are 1,1,0
∴Its direction cosines are

Direction ratios of the second line are 2,1,2
its direction cosines are

Question 19.
Find the values of p so that the lines \(\frac{11-x}{p}=\frac{3 y-3}{2}=\frac{17-z}{5}\) and
\(\frac{x-22}{3 p}=\frac{2 y-7}{27 p}=\frac{z-100}{6 / 5}\) are perpendicular to each other.
Answer:


⇒ -3p2 + 9p – 6 = 0
⇒ 3p2 – 9p + 6 = 0
⇒ p2 – 3p + 2 = 0
⇒ p2 – 2p – p + 2 = 0
⇒ p(p – 2) -1 (p – 2) =0
⇒ (p – 2) (p – 1) = 0
∴ p = 2, 1
Question 20.
Prove that the two planes, 3x – 4y + 5z = 0 and 2x – y – 2z = 5 are mutually perpendicular.
Answer:
Given equations of plane are 3x – 4y + 5z = 0 …(i)
and 2x-y-2z = 5 …(ii)
Here a1= 3 b1= – 4, c1 = 5; a2 = 2, b2 = -1 c2=- 2
a1a2 + b1b2 + c1c2; 6 + 4 – 10 = 0
Since product of Direction’ratios at two planes are zero, plane (i) & (ii) are perpendicular.
![]()
Question 21.
What is the probability of occurrence of a number greater than 2 if it is known that only even num¬bers can occur ?
Answer:
Let S = {1,2,3,4,5,6}; A = {2,4,6}
B= {3, 4, 5,6}

Question 22.
A person tosses a coin 3 times. Find the probability of occurrence of exactly one head.
Answer:
Let p = Probability of getting a head in one trial

Question 23.
If y = sin x + cosx, then find \(\frac{d^{2} y}{d x^{2}}\)
Answre:
Given that y = sinx + cosx; D.w.r. to x both sides
∴ \(\frac{d y}{d x}\) = cps x – sin x, Again D.w.r.to x both sides
⇒ \(\frac{d^{2} y}{d x^{2}}\) = – sin x – cosx (sinx + cosx)
Question 24.
Find the values of \(\left|\begin{array}{lll}
a & a^{2} & a^{3} \\
b & b^{2} & b^{3} \\
c & c^{2} & c^{3}
\end{array}\right|\)
Answer:


Question 25.
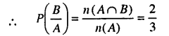
If A and B be two events and 2P (A) = P (B) = 6/13 and P (A/B) = 1/3, then find (P(A ∪ B)
Answer:

![]()
Long Answer Type Questions
Question no. 26 to 33 are long answer type questions. Each question carries 5 marks.
Answer any 4 questions out of these. (4 × 5 = 20)
Question 26.
If y = \(e^{x^{x}}\) then find \(\frac{d y}{d x}\)
Answer:

Question 27.
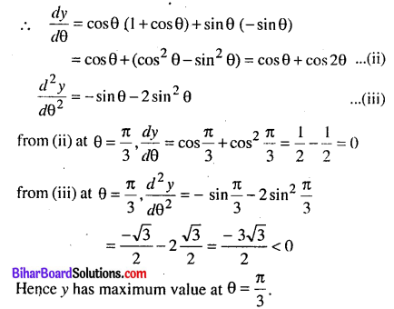
Prove that sinθ (1 + cosθ)has maximum value at θ = \(\frac{\pi}{3}\)
Answer:
Let y = sinθ(1 + cosθ)
D .w.r. to 0 both sides

Question 28.
Evaluate : \(\int_{0}^{\pi} \frac{x}{1+\sin x} d x\)
Answer:

Question 29.
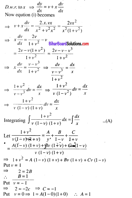
Solve: (x2 + y2)\(\frac{d y}{d x}\) = 2xy
Answer:
Given differential equ. is (x2 + y2)\(\frac{d y}{d x}\) = 2xy

This is Homogeneons diff. equation put y = vx


![]()
Question 30.
Maximize : Z = 50x + 15y
subject to : 5A + y ≤ 5, x + y ≤ 3 and x, y ≥ 0
Answer:
Its corresponding equation
5x + y = 5 …… (i)
x + y = 3 ……..(ii)

Question 31.
A speaks the truth in 75% casses and B in 80% of the cases. In what percentage of cases are they likely to contradict each other in stating the same fact ?
Answer:
Let E = The Event of A speaking the truth and F = The Event of B speaking the truth.
Then P(E) = \(\frac{75}{100}=\frac{3}{4}\) and P(F) = \(\frac{80}{100}=\frac{4}{5}\)
Required probability P(A & B contradicting each other)
= P(EF̄) or ĒF) = P(EF̄+ĒF)= P(E)- P(F̄) + P(Ē).P(F)
= P(E) .[1 – P(F)]+[1 – P(E). P(F)]
∴ A &.B are likely to contradict each other in 35% cases.
Question 32.
Find the acute angle between the straight line \(\frac{x}{1}=\frac{y}{3}=\frac{z}{0}\) and plane 2x + y = 5
Answer:
Given that \(\frac{x}{1}=\frac{y}{3}=\frac{z}{0}\) and 2x + y = 5
Here a1, b1, c1 & a2 = 2, b2= 1, c2 = 0
∴ Acute angle between the given line and plane is

![]()
Question 33.
Factorize. \(\left|\begin{array}{ccc}
(b+c)^{2} & a^{2} & a^{2} \\
b^{2} & (c+a)^{2} & b^{2} \\
c^{2} & c^{2} & (a+b)^{2}
\end{array}\right|\)
Answer:

