Bihar Board 12th Maths Model Papers
Bihar Board 12th Maths Model Question Paper 3 in Hindi
समय : 3 घंटे 15 मिनट
अंक : 100
परिक्षार्थियों के लिए निर्देश
- परीक्षार्थी यथासंभव अपने शब्दों में ही उत्तर दें।
- दाहिनी ओर हाशिये पर दिये हुए अंक पूर्णांक निर्दिष्ट करते हैं।
- उत्तर देते समय परीक्षार्थी यथासंभव शब्द-सीमा का ध्यान रखें।
- इस प्रश्न पत्र को ध्यानपूर्वक पढ़ने के लिए पन्द्रह मिनट का अतिरिक्त समय दिया गया है।
- यह प्रश्न-पत्र के दो खण्डों में है, खण्ड-अ एवं खण्ड-ब।
- खण्ड-अ में 1-50 तक वस्तुनिष्ठ प्रश्न हैं, सभी प्रश्न अनिवार्य हैं। (प्रत्येक प्रश्न के लिए 1 अंक निर्धारित है), इनके उत्तर उपलब्ध कराये गये OMR शीट में दिये गये वृत्त को काले / नीले बॉल पेन से भरें। किसी भी प्रकार के व्हाइटनर/तरल पदार्थ/ब्लेड/नाखून आदि का OMR-शीट में प्रयोग करना मना है, अन्यथा परीक्षा परिणाम अमान्य होगा।
- खण्ड-ब में 25 लघुउत्तरीय प्रश्न हैं (प्रत्येक प्रश्न के लिए 2 अंक निर्धारित है) जिनमें से किन्ही 15 प्रश्नों के उत्तर देना अनिवार्य है। इसके अतिरिक्त खण्ड में 08 दीर्घ उत्तरीय प्रश्न (प्रत्येक प्रश्न के लिए 05 अंक निर्धारित हैं) जिनमें से किन्हीं 4 प्रश्नों के उत्तर देना है।
- किसी तरह के इलेक्ट्रॉनिक-यंत्र का इस्तेमाल वर्जित है।
खण्ड-अ : वस्तुनिष्ठ प्रश्न
प्रश्न संख्या 1 से 50 तक के प्रत्येक प्रश्न के साथ चार विकल्प दिए गए हैं, जिनमें से एक सही है। अपने द्वारा चुने गए सही विकल्प को OMR शीट पर चिह्नित करें। (50 × 1 = 50)
प्रश्न 1.
प्राकृतिक संख्याओं के समुच्चय में संबंध ‘से छोटा’ है।
(a) केवल स्वतुल्य
(b) केवल सममित
(c) तुल्यता संबंध
(d) केवल संक्रमक
उत्तर:
(d) केवल संक्रमक
प्रश्न 2.
यदि फलन f : R → R इस प्रकार परिभाषित है कि f(x) = (3 – x3)1/3 तो fof(x) है :
(a) x1/3
(b) x3
(c) (3 – x3)
(d) x
उत्तर:
(d) x
प्रश्न 3.
यदि संक्रिया * परिभाषित है कि a * b = a2 + b2 तो (1 * 2) * 5 है :
(a) 3125
(b) 625
(c) 125
(d) 50
उत्तर:
(d) 50
प्रश्न 4.

उत्तर:
(c) \(\frac{4 \pi}{3}\)
प्रश्न 5.
tan-1 √3 – cot-1(-√3) =
(a) π
(b) 0
(c) 2√3
(d) \(-\frac{\pi}{2}\)
उत्तर:
(d) \(-\frac{\pi}{2}\)
प्रश्न 6.

उत्तर:
(d) \(\frac{\pi}{3}\)
प्रश्न 7.

उत्तर:
(c) \(\cot ^{-1} \frac{1}{x}\)
प्रश्न 8.

उत्तर:
\(\frac{\pi}{4}\)
प्रश्न 9.

उत्तर:
(a) (a) \(\left[\begin{array}{ll}
0 & 0 \\
0 & 0
\end{array}\right]\)
प्रश्न 10.
यदि A = \(\left[\begin{array}{rrr}
1 & 1 & 0 \\
0 & 1 & 0 \\
a & b & -1
\end{array}\right]\) तो A2 =
(a) एकांक आव्यूह
(b) A
(c) रिक्त आव्यूह
(d) -A
उत्तर:
(a) एकांक आव्यूह
प्रश्न 11.
यदि A = \(\left[\begin{array}{ll}
1 & 2 \\
4 & 2
\end{array}\right]\), तो |2A| =
(a) 2 |A|
(b) 4 |A|
(c) 8 |A|
(d) इनमें से कोई नहीं
उत्तर:
(b) 4 |A|
प्रश्न 12.

उत्तर:
(b) \(\left[\begin{array}{cc}
\cos \theta & \sin \theta \\
-\sin \theta & \cos \theta
\end{array}\right]\)
प्रश्न 13.
A = [aij]m×n एक वर्ग आव्यूह है यदि :
(a) m = n
(b) m < n
(c) m > n
(d) इनमें से कोई नहीं
उत्तर:
(a) m = n
प्रश्न 14.
यदि A और B वर्ग आव्यूह हैं, तो (AB)’ :
(a) B’A’
(b) A’B’
(c) AB’
(d) A’B
उत्तर:
(a) B’A’
प्रश्न 15.

उत्तर:
(c) \(\left[\begin{array}{rr}
\cos \theta & \sin \theta \\
-\sin \theta & \cos \theta
\end{array}\right]\)
प्रश्न 16.

उत्तर:
(c) -5
प्रश्न 17.

उत्तर:
(c) \(\frac{-1}{\sqrt{1-x^{2}}}\)
प्रश्न 18.

उत्तर:
(b) \(\frac{-\sin (\log x)}{x}\)
प्रश्न 19.

उत्तर:
(d) 0
प्रश्न 20.
यदि y = log xx, तो \(\frac{d y}{d x}=\)
(a) 1
(b) log x
(c) log(ex)
(d) इनमें से कोई नहीं
उत्तर:
(c) log(ex)
प्रश्न 21.
वक्र y = x2 के (0, 0) बिंदु पर स्पर्शी द्वारा, x-अक्ष की धनात्मक दिशा के साथ बनाया गया कोण है :
(a) 90°
(b) 0°
(c) 45°
(d) 30°
उत्तर:
(c) 45°
प्रश्न 22.
किसी उत्पाद की x इकाइयों के विक्रय से प्राप्त कुल आय R(x) रुपयों में R(x) = 13x2 + 26x + 15 से प्रदत्त है। तब सीमांत आय क्या होगा जब x = 7 है :
(a) 208 रु.
(b) 308 रु.
(c) 140 रु.
(d) 508 रु.
उत्तर:
(a) 208 रु.
प्रश्न 23.
वक्र y = 2x2 + 3 sinx के बिन्दु x = 0 पर अभिलम्ब की प्रवणता है :
(a) 3
(b) \(\frac{1}{3}\)
(c) -3
(d) \(-\frac{1}{3}\)
उत्तर:
(d) \(-\frac{1}{3}\)
प्रश्न 24.
फलन f (x) = x3 – 6x2 + 12x – 18
(a) प्रत्येक x ∈ R में निरंतर ह्रासमान है
(b) ∀ x ∈ R में निरंतर वर्धमान है
(c) ] -∞, 0 [ में वर्धमान और [0, ∞ [ में ह्रासमान है
(d) इनमें से कोई नहीं
उत्तर:
(b) ∀ x ∈ R में निरंतर वर्धमान है
प्रश्न 25.

उत्तर:
(d) \(\cot ^{-1} x+k\)
प्रश्न 26.

उत्तर:
(a) \(\frac{1}{a} \tan ^{-1} \frac{x}{a}+k\)
प्रश्न 27.

उत्तर:
(a) \(\frac{1}{3}(1+\log x)^{3}+C\)
प्रश्न 28.
\(\int_{|x|}^{2} | d x=\)
(a) 0
(b) 2
(c) 1
(d) 4
उत्तर:
(d) 4
प्रश्न 29.

उत्तर:
(b) \(\frac{\pi}{4}\)
प्रश्न 30.

उत्तर:
(a) \(\frac{1}{3} e^{x^{3}}+C\)
प्रश्न 31.
प्रथम चतुर्थांश में वृत्त x2 + y2 = 4 एवं रेखा और x = 0, x = 2 से घिरे क्षेत्र का क्षेत्रफल है :
(a) π
(b) \(\frac{\pi}{2}\)
(c) \(\frac{\pi}{3}\)
(d) \(\frac{\pi}{4}\)
उत्तर:
(a) π
प्रश्न 32.
अवकल समीकरण \(\frac{d^{2} y}{d x^{2}}+x^{3}\left(\frac{d y}{d x}\right)^{2}=x^{4}\) की कोटि निम्नांकित
में कौन-सी होगी?
(a) 1
(b) 2
(c) 3
(d) 0
उत्तर:
(b) 2
प्रश्न 33.
वक्र y = a sin px + b cos px का अवकल समीकरण है :
(a) y” + py = 0
(b) y” + p2y = 0
(c) y” – py = 0
(d) y” – p2y = 0
उत्तर:
(b) y” + p2y = 0
प्रश्न 34.
अवकल समीकरण \(2 x^{2} \frac{d^{2} y}{d x^{2}}-3 \frac{d y}{d x}+y=0\) की कोटि है :
(a) 2
(b) 1
(c) 0
(d) परिभाषित नहीं
उत्तर:
(a) 2
प्रश्न 35.
अवकल समीकरण \(x \frac{d y}{d x}-y=2 x^{2}\) का समाकलन गुणांक है :
(a) e-x
(b) e-y
(c) 1/x
(d) x
उत्तर:
(a) e-x
प्रश्न 36.
\(|-\vec{i}+2 \vec{j}-3 \vec{k}|=\)
(a) √15
(b) √3
(c) 2
(d) √14
उत्तर:
(d) √14
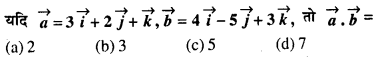
प्रश्न 37.

उत्तर:
(c) 5
प्रश्न 38.
\(\vec{a} \times \vec{a}=\)
(a) 1
(b) 0
(c) a2
(d) a
उत्तर:
(b) 0
प्रश्न 39.
\(\vec{k} \cdot \vec{k}=\)
(a) 0
(b) 1
(c) \(\vec{i}\)
(d) \(\vec{j}\)
उत्तर:
(b) 1
प्रश्न 40.
यदि \(2 \vec{i}+\vec{j}+\vec{k}, 6 \vec{i}-\vec{j}+2 \vec{k}\) एवं \(14 \vec{i}-5 \vec{j}+4 \vec{k}\) क्रमशः बिन्दु A, B,C के स्थिति सदिश हैं, तो :
(a) A, B, C समरेखीय हैं
(b) A, B, C असमरेखीय हैं
(c) AB L BC
(d) इनमें से कोई नहीं।
उत्तर:
(a) A, B, C समरेखीय हैं
प्रश्न 41.
यदि l, m, n एक सरल रेखा की दिक् कोज्याएँ हैं, तो
(a) l2 + m2 – n2 = 1
(b) l2 – m2 + n2 = 1
(c) l2 – m2 – n2 = 1
(d) l2 + m2 + n2 = 1
उत्तर:
(d) l2 + m2 + n2 = 1
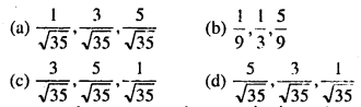
प्रश्न 42.
किसी सरल रेखा के दिक् अनुपात 1, 3, 5 हैं, तो रेखा की दिक् कोज्याएँ हैं :

उत्तर:
(a) \(\frac{1}{\sqrt{35}}, \frac{3}{\sqrt{35}}, \frac{5}{\sqrt{35}}\)
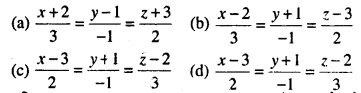
प्रश्न 43.
एक सरल रेखा (2, -1, 3) से गुजरती है और इसके दिक् अनुपात 3, -1, 2 हैं। इस रेखा के समीकरण है :

उत्तर:
(b) \(\frac{x-2}{3}=\frac{y+1}{-1}=\frac{z-3}{2}\)
प्रश्न 44.
यदि 2x + 5y – 6z + 3 = 0 एक समतल का समीकरण हो, तो दिए गए समतल के समांतर समतल का समीकरण होगा :
(a) 3x + 5y – 6z + 3 = 0
(b) 2x – 5y – 6z + 3 = 0
(c) 2x + 5y – 6z + k = 0
(d) इनमें से कोई नहीं।
उत्तर:
(c) 2x + 5y – 6z + k = 0
प्रश्न 45.
यदि A और B दो स्वतंत्र घटनाएँ हों तो
(a) P(AB’) = P(A) P(B)
(b) P(AB’) = P(A) P(B’)
(c) P(AB’) = P(A’) + P(B)
(d) P(AB’) = P(A) + P(B’)
उत्तर:
(b) P(AB’) = P(A) P(B’)
प्रश्न 46.
ताश के 52 पत्तों में से यदि एक पत्ता खींचा जाए तो इसके इक्का होने की प्रायिकता है:
(a) \(\frac{1}{26}\)
(b) \(\frac{1}{13}\)
(c) \(\frac{1}{52}\)
(d) \(\frac{1}{4}\)
उत्तर:
(c) \(\frac{1}{52}\)
प्रश्न 47.

उत्तर:
(c) \(\frac{3}{4}\)
प्रश्न 48.
यदि A और B घटनाएं इस प्रकार हों कि

उत्तर:
(c) \(\frac{5}{12}\)
प्रश्न 49.
यदि A और B घटनाएँ इस प्रकार हों कि

उत्तर:
(b) \(\frac{5}{8}\)
प्रश्न 50.

उत्तर:
(a) \(\frac{1}{15}\)
खण्ड-ब : गैर-वस्तुनिष्ठ प्रश्न
लघु उत्तरीय प्रश्न
प्रश्न संख्या 1 से 25 तक लघु उत्तरीय कोटि के हैं। प्रत्येक के लिए 2 अंक निर्धारित हैं। इनमें से किसी 15 प्रश्नों का उत्तर दें। (15 x 2 = 30)
प्रश्न 1.
f(x) = 4x + 3 द्वारा प्रदत्त फलन f : R → R पर विचार कीजिए। सिद्ध कीजिए कि f व्युत्क्रमणीय है। f का प्रतिलोम फलन ज्ञात कीजिए।
हल :
दिया है, f : R → R और f(x) = 4x + 3
f(x1) = f(x2)
या, 4x1 + 3 = 4x2 +3
या, 4x1 = 4x2
या, x1 = x2
अतः f एकैकी है
फिर मान लिया कि y = 4x + 3
x = \(\frac{y-3}{4}\)
सहप्रांत में y का प्रत्येक अवयव प्रांत में किसी न किसी अवयव का प्रतिबिम्ब है
f आच्छादक है। अतः f-1(x) = g(y) = \(\frac{y-3}{4}\)
प्रश्न 2.
सिद्ध करें कि 4(cot-1 3 + cosec-1 √5) = π
हल :


प्रश्न 3.

हल :


प्रश्न 4.

हल :


प्रश्न 5.
\(\left[\begin{array}{cc}
3 & 5 \\
1 & -1
\end{array}\right]\) को एक सममित और विषम समित आव्यूह के योगफल के रूप में व्यक्त कीजिए।
हल :


प्रश्न 6.

हल :


प्रश्न 7.

हल :


प्रश्न 8.
यदि xy = yx हो, तो \(\frac{d y}{d x}\) निकालें।
हल :
दिया हुआ है : xy = yx
दोनों तरफ log लेने पर, y log x = x log y
दोनों तरफ अवकलन करने पर x के सापेक्ष में


प्रश्न 9.
x के सापेक्ष अबकलन कीजिए : sec{tan(√x)}
हल :

प्रश्न 10.
यदि x = a(θ + sinθ), y = a(1 – cosθ) हो तो \(\frac{d y}{d x}\) ज़ात कीजिए
हल :

प्रश्न 11.
समाकलन कीजिए : \(\int \frac{d x}{1+\tan x}\)
हल :

प्रश्न 12.
मान ज्ञात कीजिए : \(\int_{0}^{\frac{\pi}{2}} \frac{\sin x}{1+\cos ^{2} x} d x\)
हल :

प्रश्न 13.
समाकलन कीजिए : \(\int e^{x} \cos x d x\)
हल :

प्रश्न 14.
हल कीजिए : (1 + x2) dy = (1 + y2) dx
हल :

प्रश्न 15.
व्यापक हल ज्ञात कीजिए :
(1 + x2) dy + 2xy dx = cotx dx, (x ≠ 0)
हल :
दिया है, (1 + x2) dy + 2xy dx = cotx (x ≠ 0)


प्रश्न 16.
सदिश विधि से सिद्ध कीजिए कि a = b cos C + c cos B
हल :

प्रश्न 17.
एक समांतर चतुर्भुज की संलग्न भुजाएँ \(2 \hat{i}-4 \hat{j}+5 \hat{k}\) और \(\hat{\mathbf{i}}-\mathbf{2} \hat{\mathbf{j}}-\mathbf{3} \hat{\mathbf{k}}\) हैं। इसके विकर्ण के समांतर एक मात्रक सदिश ज्ञात कीजिए। इसका क्षेत्रफल भी ज्ञात कीजिए।
हल :
मान लिया कि समान्तर चतुर्भुज की संलग्न भुजाएँ \(\overrightarrow{O A}\) तथा \(\overrightarrow{O B}\)
क्रमश: \(\vec{a}=2 \hat{i}+4 \hat{j}+5 \hat{k}\) और \(\vec{b}=\hat{i}-2 \hat{j}-3 \hat{k}\).


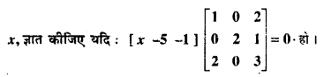
प्रश्न 18.

हल :

प्रश्न 19.

हल :
![]()

प्रश्न 20.

हल :


प्रश्न 21.
एक पासे को 6 बार उछाला जाता है। यदि ‘पासे पर सम संख्या प्राप्त होना’ एक सालता है निमालिान की प्र.पिकताएँ क्या होंगी?
(i) ‘तथ्यत: 5 सफलताएँ?
(i) धन-ध सामागा?
हल :

प्रश्न 22.
52 ताशों की गड्डी से प* पत्ता खा जाता है। शेष पतों से दो पत्ते निकाले जाते है जो ईंट के पत्ते हैं। खो गए पत्ते की ईंट होने की प्रायिकता क्या है?
हल :
E1 = ईंट के पत्ते की खोने की घटना
E2 = ईंट के पत्ते नहीं खोने की घटना।
52 ताश के पत्तों में 13 ईंट के पत्ते होते हैं
\(P\left(E_{1}\right)=\frac{^{13} C_{1}}{52}=\frac{13}{52}=\frac{1}{4}\)
39 पत्ते ऐसे हैं जो ईंट नहीं है
\(P\left(E_{2}\right)=\frac{39}{52}=\frac{3}{4}\)
(i) जब एक ईंट का पत्ता खो जाता है तब कुल 51 पत्तों में 12 पत्ता ईंट का बचता है।
इन 12 पत्तों में से 2 ईंट के पत्ता निकालने की प्रायिकता
\(P\left(A / E_{1}\right)=\frac{^{12} C_{2}}{51}=\frac{12 \times 11}{51 \times 50}\)
जहाँ A खोए पत्ते को प्रदर्शित करता है।
जब ईंट का पत्ता नहीं खोए तब 13 पत्तों में से 2 पत्ते ईंट का निकालने की प्रापिकता

प्रश्न 23.
यदि f : R → R जहाँ f(x) = x2 – 3x + 2 द्वारा परिभाषित है तो f(f(x)) ज्ञात कीजिए।
हल :
दिया है, f : R → R
f(x) = x2 – 3x + 2 द्वारा परिभाषित है।
f(f(x)) =f(x2 – 3x + 2)
= (x2 – 3x + 2)2 – 3 (x2 – 3x + 2) + 2
= (x4 + 9x2 + 4 – 5x3 – 12x + 4x2) + (-3x2 + 9x – 6) + 2
= x4 – 6x3 + 10x2 – 3x
प्रश्न 24.
सिद्ध कीजिए कि :
![]()
हल :

प्रश्न 25.
सिद्ध कीजिए कि :
![]()
हल :


दीर्घ उत्तरीय प्रश्न
प्रश्न संख्या 26 से 33 तक दीर्घ उत्तरीय कोटि के प्रश्न हैं। प्रत्येक के लिए 5 अंक निर्धारित हैं। प्रत्येक प्रश्न के साथ “अथवा” का विकल्प दिया गया है। आपको प्रश्न या अथवा में से किसी एक का उत्तर देना है।
प्रश्न 26.
सिद्ध कीजिए कि वक्र x = y2 और xy = k एक दूसरे को समकोण पर काटती है, यदि 8k2 = 1 है।
हल :
मान लिया कि वक्र का प्रतिच्छेदन बिन्दु (x1, y1) है।

प्रश्न 27.
यदि y = sin[cos{tan(sin-1 x)], तो \(\frac{d y}{d x}\) का मान निकालें।
हल :


प्रश्न 28.

हल :

प्रश्न 29.
वक्र x2 = 4y एवं रेखा x = 4y – 2 से घिरे क्षेत्र का क्षेत्रफल ज्ञात कीजिए।
हल :
दिया गया वक्र x2 = 4y … (1)
जो उपर की ओर खुलने वाला परवलय है, जिसका शीर्ष (0, 0) और y-अक्ष के परितः सममित है।
और रेखा का समीकरण x = 4y – 2 …(2)
(1) और (2) को हल करने पर,



प्रश्न 30.
यदि \(\overrightarrow{\mathbf{a}}, \overrightarrow{\mathbf{b}}, \overrightarrow{\mathbf{c}}\) समान परिमाणों वाले परस्पर लंबवत् सदिश हैं तो दर्शाइए कि सदिश \(\vec{a}+\vec{b}+\vec{c}\) सदिशों \(\overrightarrow{\mathbf{a}}, \overrightarrow{\mathbf{b}}\) तथा \(\overrightarrow{\mathrm{c}}\) के साथ बराबर मुका हुआ है।
हल :



प्रश्न 31.

हल :

प्रश्न 32.
निम्न अवरोधों के अंर्तगत Z = 3x + 4y का अधिकतमीकरण कीजिए :
x + y ≤ 4, x ≥ 0, y ≥ 0
हल :
उद्देश्य फलन. : Z = 3x + 4y अवरोध हैं x + y ≤ 4, x, y ≥ 0
x + y ≤ 4 के संगत रेखा समीकरण x + y = 4, का आरेख बिन्दु A(4, 0) और B(0, 4) से होकर जाती है।

x + y ≤ 4 में x = 0, y = 0 रखने पर, 0 ≤ 4 जो सत्य है।
मूल बिन्दु इस क्षेत्र में स्थित है
अर्थात x + y ≤ 4 का क्षेत्र रेखा x + y = 4 और इस के नीचे मूल. बिन्दु की ओर है।
x ≥ 0, का क्षेत्र y- अक्ष की दा जोर और y-अक्ष है!
y ≥ 0, क्षेत्र के बिन्दु x-अक्ष पर है और x-अक्ष के ऊपर है इन से बना उभयनिष्ठ क्षेत्र ΔOAB हैं :
उद्देश्य फलन Z = 3x + 4y
O(0, 0) पर Z = 0
B(0, 4) पर Z = 0 + 16 = 16
C(4, 0) पर Z = 12 + 0 = 12
अत: Z का अधिकता मान दिन्दु B(0, 4) पर 16 है :
प्रश्न 33.
एक कपनी दो तरह की गुड़िया A और B बनाती है। दोनों गुड़ियों का संयुक्त उत्पादन का स्तर 1200 गुड़िया प्रति सप्ताह से अधिक नहीं हो सकता है। B प्रकार की गुड़ियों की माँग अधिक से अधिक A की मांग की आधी हो सकती है। A का उत्पादन स्तर B के उत्पादन स्तर से अधिक से अधिक 600 इकाई ज्यादा हो सकता है। यदि कंपनी को A पर 12 रु० और B पर 16 रु० प्रति गुड़िया लाभ होता है, तो अधिकतम लाभ के लिए कंपनी को प्रत्येक प्रकार की गुड़िया का प्रति सप्ताह कितना उत्पादन करना चाहिए ?
हल :
माना कि कंपनी A प्रकार के x गुडिया एवं B प्रकार के y गुड़िया बनाती है।



इस प्रकार Z का मान x = 3800, y = 400 पर अधिकतम 16000 प्राप्त होता है। अत: कंपनी A प्रकार का 800 और B प्रकार का 400 गुड़िया प्रति सप्ताह उत्पादन करने पर अधिकतम लाभ 16000 रु. होगा।