Bihar Board 12th Maths Model Papers
Bihar Board 12th Maths Model Question Paper 5 in Hindi
समय : 3 घंटे 15 मिनट
अंक : 100
परिक्षार्थियों के लिए निर्देश
- परीक्षार्थी यथासंभव अपने शब्दों में ही उत्तर दें।
- दाहिनी ओर हाशिये पर दिये हुए अंक पूर्णांक निर्दिष्ट करते हैं।
- उत्तर देते समय परीक्षार्थी यथासंभव शब्द-सीमा का ध्यान रखें।
- इस प्रश्न पत्र को ध्यानपूर्वक पढ़ने के लिए पन्द्रह मिनट का अतिरिक्त समय दिया गया है।
- यह प्रश्न-पत्र के दो खण्डों में है, खण्ड-अ एवं खण्ड-ब।
- खण्ड-अ में 1-50 तक वस्तुनिष्ठ प्रश्न हैं, सभी प्रश्न अनिवार्य हैं। (प्रत्येक प्रश्न के लिए 1 अंक निर्धारित है), इनके उत्तर उपलब्ध कराये गये OMR शीट में दिये गये वृत्त को काले / नीले बॉल पेन से भरें। किसी भी प्रकार के व्हाइटनर/तरल पदार्थ/ब्लेड/नाखून आदि का OMR-शीट में प्रयोग करना मना है, अन्यथा परीक्षा परिणाम अमान्य होगा।
- खण्ड-ब में 25 लघुउत्तरीय प्रश्न हैं (प्रत्येक प्रश्न के लिए 2 अंक निर्धारित है) जिनमें से किन्ही 15 प्रश्नों के उत्तर देना अनिवार्य है। इसके अतिरिक्त खण्ड में 08 दीर्घ उत्तरीय प्रश्न (प्रत्येक प्रश्न के लिए 05 अंक निर्धारित हैं) जिनमें से किन्हीं 4 प्रश्नों के उत्तर देना है।
- किसी तरह के इलेक्ट्रॉनिक-यंत्र का इस्तेमाल वर्जित है।
खण्ड-अ : वस्तुनिष्ठ प्रश्न
प्रश्न संख्या 1 से 50 तक के प्रत्येक प्रश्न के साथ चार विकल्प दिए गए हैं, जिनमें से एक सही है। अपने द्वारा चुने गए सही विकल्प को OMR शीट पर चिह्नित करें। (50 × 1 = 50)
प्रश्न 1.
वास्तविक संख्याओं के समुच्चय R में एक सम्बन्ध इस प्रकार परिभाषित है : x-y यदि और केवल यदि x.y = 0 तो सम्बन्ध :
(a) स्वतुल्य है, परन्तु सममित नहीं है
(b) सममित है, परन्तु संक्रमक नहीं है
(c) संक्रमक है, परन्तु स्वतुल्य नहीं है
(d) एक तुल्यता सम्बन्ध है।
उत्तर:
(d) एक तुल्यता सम्बन्ध है।
प्रश्न 2.
मान लीजिए A = {a, b, c} एवं B = {e, f] है तो निम्नलिखित उपसमुच्चयों में कौन A से B में फलन है :
(a) {(a, e), (e, f), (b, e), (b, f}
(b) {(a, e), (b, f}
(c) {(a, f), (b, e), (c, e)}
(d) इनमें से कोई नहीं
उत्तर:
(c) {(a, f), (b, e), (c, e)}
प्रश्न 3.
मान लीजिए कि N में एक द्विआधारी संक्रिया * : a * b = a तथा b का L.C.M द्वारा परिभाषित है तब N में * का तत्समक अवयव है:
(a) 0
(b) 1
(c) -1
(d) इनमें से कोई नहीं
उत्तर:
(b) 1
प्रश्न 4.

उत्तर:
(d) \(\frac{\pi}{3}\)
प्रश्न 5.

उत्तर:
(a) \(\frac{17}{6}\)
प्रश्न 6.

उत्तर:
(b) \(\frac{\pi}{6}\)
प्रश्न 7.

उत्तर:
(c) \(\frac{3}{4}\)
प्रश्न 8.
cos-1 x का प्रान्त है :
(a) [0, 1]
(b) [-1, 1]
(c) [-1, 0]
(d) [0, 0]
उत्तर:
(b) [-1, 1]
प्रश्न 9.
यदि A एक 3 × 3 कोटि का वर्ग आब्यूह है तो |KA| का मान होगा :
(a) K|A|
(b) K2 |A|
(c) K3 |A|
(d) 3K|A|
उत्तर:
(c) K3 |A|
प्रश्न 10.
यदि \(A=\left|\begin{array}{lll}
a_{11} & a_{12} & a_{13} \\
a_{21} & a_{22} & a_{23} \\
a_{31} & a_{33} & a_{33}
\end{array}\right|\) और aij का सहखण्ड Aij हो तो Δ का मान निम्न में से किस रूप में व्यक्त किया जा सकता है :
(a) a11 A31 + a12 A32 + a13 A33
(b) a11 A11 + a12 A21 + a13 A31
(c) a21 A11 + a22 A22 + a23 A13
(d) a11 A11 + a21 A21 + a31 A31
उत्तर:
(d) a11 A11 + a21 A21 + a31 A31
प्रश्न 11.
3 × 3 कोटि के ऐसे आब्यूहों की कुल संख्या कितनी होगी जिनकी प्रत्येक प्रविष्टि 0 या 1 है?
(a) 27
(b) 18
(c) 81
(d) 512
उत्तर:
(d) 512
प्रश्न 12.
यदि A = \(\left[\begin{array}{cc}
\alpha & \beta \\
\gamma & -\alpha
\end{array}\right]\) इस प्रकार है कि A2 = I, तो
(a) 1 + α2 + βγ = 0
(b) 1 – α2 + βγ = 0
(c) 1 – α2 – βγ = 0
(d) 1 + α2 – βγ = 0
उत्तर:
(c) 1 – α2 – βγ = 0
प्रश्न 13.

(a) 0
(b) abc
(c) 1/abc
(d) इनमें से कोई नहीं
उत्तर:
(a) 0
प्रश्न 14.
सारणिक \(\left|\begin{array}{ccc}
2 & 7 & 65 \\
3 & 8 & 75 \\
5 & 9 & 86
\end{array}\right|\) का मान है :
(a) 0
(b) 1
(c) 2
(d) 3
उत्तर:
(a) 0
प्रश्न 15.
\(\left|\begin{array}{lll}
1 & x & x^{2} \\
1 & y & y^{2} \\
1 & z & z^{2}
\end{array}\right|=\)
(a) (x – y) (y + z) (z + x)
(b) (x + y) (y – z) (z – x)
(c) (x – y) (y – z) (z + x)
(d) (x – y) (y – z) (z – x)
उत्तर:
(d) (x – y) (y – z) (z – x)
प्रश्न 16.

उत्तर:
(b) 4
प्रश्न 17.

(a) संतत है
(b) असंतत है
(c) परिभाषित है
(d) इनमें से कोई नहीं
उत्तर:
(b) असंतत है
प्रश्न 18.
फलन f(x) = 3x2 + 5x + 7 के लिए लेंगराँजे के माध्यमान प्रमेय का c, अन्तराल [1, 3] में मान होगा :
(a) 3
(b) 0
(c) 2
(d) 1
उत्तर:
(c) 2
प्रश्न 19.

उत्तर:
(a) \(-\frac{1}{x^{2}}\)
प्रश्न 20.
sin (x2 + 5) का अवकलन है :
(a) 2 sin (x + 5)
(b) 2 cos (x2 + 5)
(c) 2x cos (x2 + 5)
(d) इनमें से कोई नहीं
उत्तर:
(c) 2x cos (x2 + 5)
प्रश्न 21.
वक्र y = x3 – x + 1 की स्पर्श रेखा की प्रवणता, उस बिन्दु पर क्या होगा जिसका x निर्देशांक 2 है :
(a) 11
(b) 21
(c) 31
(d) 41
उत्तर:
(a) 11
प्रश्न 22.
वक्र x = t2 + 3t – 8, y = 2t2 – 2t – 5 के बिन्दु (2, -1) पर स्पर्श रेखा का ढाल है :
(a) \(\frac{7}{6}\)
(b) \(\frac{-6}{7}\)
(c) \(\frac{22}{7}\)
(d) \(\frac{6}{7}\)
उत्तर:
(d) \(\frac{6}{7}\)
प्रश्न 23.
वक्र y = 2x2 + 3 sinx के बिन्दु x = 0 पर अभिलंब की ढाल है :
(a) -3
(b) -1/3
(c) 3
(d) 1/3
उत्तर:
(b) -1/3
प्रश्न 24.
निम्नलिखित अन्तरालों में से किस अंतराल में f(x) = x100 + sin x – 1 द्वारा प्रदत्त फलन f निरंतर ह्रासमान है :
(a) (0, 1)
(b) \(\left(\frac{\pi}{2}, \pi\right)\)
(c) \(\left(0, \frac{\pi}{2}\right)\)
(d) इनमें से कोई नहीं
उत्तर:
(a) (0, 1)
प्रश्न 25.
यदि \(\left[\begin{array}{ll}
4 & 3 \\
x & 5
\end{array}\right]=\left[\begin{array}{ll}
y & z \\
1 & 5
\end{array}\right]\) तब x, y, z का मान होगा।
(a) 1, 2, 3
(b) 1, 4, 3
(c) 3, 4, 0
(d) 0, 0, 1
उत्तर:
(b) 1, 4, 3
प्रश्न 26.

उत्तर:
(a) \(\left[\begin{array}{ll}
6 & 26 \\
1 & 19
\end{array}\right]\)
प्रश्न 27.

उत्तर:
(a) \(\tan \frac{x}{2}+k\)
प्रश्न 28.

उत्तर:
(a) log 2
प्रश्न 29.
∫o.dx बराबर है:
(a) k
(b) 0
(c) 1
(d) -1
उत्तर:
(a) k
प्रश्न 30.

उत्तर:
(d) log x + k
प्रश्न 31.
वक्र y = x2, रेखा, x = 1, x = 2 और x-अक्षं से घिरे क्षेत्र का क्षेत्रफल है:
(a) \(\frac{7}{3}\)
(b) \(\frac{8}{3}\)
(c) \(\frac{11}{3}\)
(d) \(\frac{13}{3}\)
उत्तर:
(a) \(\frac{7}{3}\)
प्रश्न 32.
अवकल समीकरण \(1+\left(\frac{d y}{d x}\right)^{2}=\frac{d^{2} y}{d x^{2}}\) का घात है
(a) 1
(b) 2
(c) 3
(d) 4
उत्तर:
(a) 1
प्रश्न 33.
अवकल समीकरण \(\frac{d^{2} y}{d x^{2}}+x^{3}\left(\frac{d y}{d x}\right)^{3}=x^{4}\) की कोटि है
(a) 1
(b) 2
(c) 3
(d) 4
उत्तर:
(b) 2
प्रश्न 34.
अवकल समीकरण \(\frac{\mathrm{d}^{4} \mathrm{y}}{\mathrm{dx}^{4}}+\sin \left(\mathrm{y}^{\prime \prime \prime}\right)=0\) की घात और कोटि है :
(a) परिभाषित नहीं 4
(b) 0, 4
(c) 1, 4
(d) 2, 4
उत्तर:
(a) परिभाषित नहीं 4
प्रश्न 35.
\(\frac{d x}{d y}=h\left(\frac{x}{y}\right)\) के रूप वाले समघातीय अवकल समीकरण को हल करने के लिए निम्नलिखित में से कौन-सा प्रतिस्थापन किया जाता है :
(a) y = vx
(b) v = yx
(c) x = vy
(d) x = v
उत्तर:
(c) x = vy
प्रश्न 36.
अवकल समीकरण ex dy + (yex + 2x)dx = 0 का व्यापक हल है :
(a) xex + x2 = C
(b) xey + y2 = C
(c) yex + x2 = C
(d) yex + x2 = C
उत्तर:
(c) yex + x2 = C
प्रश्न 37.
सदिशों \(2 \hat{i}-3 \hat{j}+2 \hat{k}\) एवं \(\hat{i}+4 \hat{j}+5 \hat{k}\) के बीच का कोण है :
(a) 30°
(b) 90°
(c) 45°
(d) 60°
उत्तर:
(b) 90°
प्रश्न 38.

उत्तर:
(b) \(\frac{5}{7}\)
प्रश्न 39.
बिन्दु (3, 4, 2) और (5, 6, -3) को मिलाने वाली रेखा पर सदिश \(2 \hat{i}-3 \hat{j}-6 \hat{k}\) का प्रक्षेप है :
(a) \(\frac{2}{3}\)
(b) \(\frac{4}{3}\)
(c) \(-\frac{4}{3}\)
(d) \(\frac{5}{3}\)
उत्तर:
(b) \(\frac{4}{3}\)
प्रश्न 40.
यदि संक्रिया * परिभाषित है कि a * b = a2 + b2 तो (1*2)*5 है:
(a) 3125
(b) 625
(c) 125
(d) 50
उत्तर:
(d) 50
प्रश्न 41.
तल 7x + 4y – 2z + 5 = 0 अभिलंब के दिअनुपात हैं :
(a) 7, 4, 5
(b) 7, 4, -2
(c) 7, 4, 2
(d) 0, 0, 0
उत्तर:
(b) 7, 4, -2
प्रश्न 42.

उत्तर:
(c) a1a2 + b1b2 + c1c2 = 0
प्रश्न 43.
x-अक्ष क्रमशः x, y और अक्षों के साथ क्रमशः 0°, 90°, 90° का कोण बनाता है, तब x-अक्ष की दिक् कोज्या है :
(a) 0, 0, 1
(b) 1, 0, 0
(c) 0, 0, 1
(d) 0, 1, 0
उत्तर:
(b) 1, 0, 0
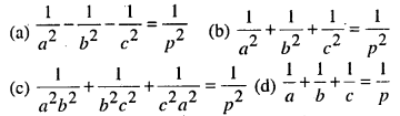
प्रश्न 44.
यदि a, b, c अन्तः खण्ड काटने वाली समतल की मूल बिन्दु से दूरी p है तब

उत्तर:
(b) \(\frac{1}{a^{2}}+\frac{1}{b^{2}}+\frac{1}{c^{2}}=\frac{1}{p^{2}}\)
प्रश्न 45.
दिक् अनुपात a1, b1, c1 और a2, b2, c2 वाली रेखाएँ समान्तर हैं यदि
(a) a1a2 – b1b2 – c1c2 = 0
(b) a1a2 + b1b2 + c1c2 = 0
(c) a1b1 + a2b2 + a3b3 = 0
(d) \(\frac{a_{1}}{a_{2}}=\frac{b_{1}}{b_{2}}=\frac{c_{1}}{c_{2}}\)
उत्तर:
(d) \(\frac{a_{1}}{a_{2}}=\frac{b_{1}}{b_{2}}=\frac{c_{1}}{c_{2}}\)
प्रश्न 46.
यदि P(\(\frac{\mathrm{A}}{\mathrm{B}}\)) > P(A) तब निम्न में से कौन सही है :
(a) P (B/A) < P(b)
(b) P(A ∩ B) < P(a).P(b)
(c) P(B/A) > P(b)
(d) P(B/A) = P(b)
उत्तर:
(c) P(B/A) > P(b)
प्रश्न 47.
एक बॉक्स में 100 बल्ब हैं, जिसमें 10 त्रुटियुक्त है। तब 5 बल्ब के नमूने से एक बल्ब त्रुटियुक्त न होने की प्रायिकता है :
(a) 10-1
(b) \(\left(\frac{1}{2}\right)^{5}\)
(c) \(\left(\frac{9}{10}\right)^{5}\)
(d) \(\frac{9}{10}\)
उत्तर:
(c) \(\left(\frac{9}{10}\right)^{5}\)
प्रश्न 48.
दो घटनाओं A और B को परस्पर स्वतंत्र कहते हैं यदि
(a) P(A’B’) = [1 – P(A)][1 – P(B)]
(b) P(A) = P(B)
(c) P(A) + P(B) = 1
(d) A और B परस्पर अपबर्जी है
उत्तर:
(a) P(A’B’) = [1 – P(A)][1 – P(B)]
प्रश्न 49.
एक पासे को 6 बार उछाला जाता है। यदि संख्या प्राप्त होना सफलता है तब 5 सफलता प्राप्त करने कि प्रायिकता है :
(a) \(\frac{3}{32}\)
(b) \(\frac{7}{64}\)
(c) \(\frac{63}{64}\)
(d) इनमें से कोई नहीं
उत्तर:
(a) \(\frac{3}{32}\)
प्रश्न 50.
एक पासों के साथ एक द्विक प्राप्त करने की प्रायिकता है :
(a) \(\frac{2}{3}\)
(b) \(\frac{1}{6}\)
(c) \(\frac{5}{6}\)
(d) \(\frac{5}{36}\)
उत्तर:
(b) \(\frac{1}{6}\)
खण्ड-ब : गैर-वस्तुनिष्ठ प्रश्न
लघु उत्तरीय प्रश्न
प्रश्न संख्या 1 से 25 तक लघु उत्तरीय कोटि के हैं। प्रत्येक के लिए 2 अंक निर्धारित हैं। इनमें से किसी 15 प्रश्न का उत्तर दें।
प्रश्न 1.
जाँच कीजिए कि क्या R में R = {(a, b) : a ≤ b3} द्वारा परिभाषित संबंध स्वतुल्य, सममित अथवा संक्रमक है?
हल :
दिया है, R = वास्तविक संख्याओं का समुच्चय
और सम्बन्ध R = {(a, b) : a ≤ b3}
R स्वतुल्य नहीं है, क्योंकि यदि a = \(\frac{1}{2}\), b3 = \(\frac{1}{8}\)
अर्थात् \(\frac{1}{2}\), \(\frac{1}{8}\) से कम या बराबर नहीं है।
R सममित नहीं है, क्योंकि यदि a ≤ b3 तो b, a3 से कम या बराबर नहीं है।
यदि a = 1, b = 2, 1 < 23 परन्तु 2, 13 से कम नहीं है।
R संक्रमक नहीं है, क्योंकि यदि a ≤ b3, b ≤ c3 तो a ≤ c3 का सत्य होना आवश्यक नहीं है।
यदि a = 7, b = 2, c = 1.5
a < b3 या, 7 < 23 = 8 सत्य है, b ≤ c3, 2 < (1.5)3 सत्य है, परन्तु 7 < (1.5)3 सत्य नहीं।
अत: R स्वतुल्य सममित व संक्रमक में से कोई भी नहीं है।
प्रश्न 2.

हल :

प्रश्न 3.

हल :
![]()

प्रश्न 4.

हल :

प्रश्न 5.
यदि A = \(\left[\begin{array}{cc}
\cos \alpha & \sin \alpha \\
\sin \alpha & \cos \alpha
\end{array}\right]\), तो सत्यापित कीजिए कि A’A = I.
हल:

प्रश्न 6.
सारणिक के गुणधर्मों का प्रयोग कर मान ज्ञात कीजिए :
\(\left|\begin{array}{lll}
1 & a & b c \\
1 & b & c a \\
1 & c & a b
\end{array}\right|\)
हल :

प्रश्न 7.
सिद्ध करें कि \(\left|\begin{array}{lll}
a & b & c \\
a^{2} & b^{2} & c^{2} \\
a^{3} & b^{3} & c^{3}
\end{array}\right|\) = abc(a – b)(b – c)(c – a).
हल :

प्रश्न 8.
अवकलन कीजिए : xsin x
हल :


प्रश्न 9.

हल :

प्रश्न 10.
सारणिकों के गुणधर्मों का प्रयोग कर सिद्ध कीजिए :
\(\left|\begin{array}{ccc}
1 & a & a^{2} \\
1 & b & b^{2} \\
1 & c & c^{2}
\end{array}\right|\) = (a – b) (b – c) (c – a)
हल :


प्रश्न 11.
x log x समाकलनों को ज्ञात कीजिए।
हल :

प्रश्न 12.
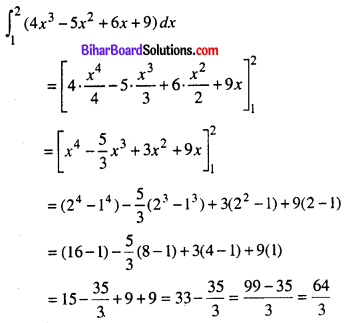
निम्नलिखित निश्चित समाकलन का मान ज्ञात कीजिए :
\(\int_{1}^{2}\left(4 x^{3}-5 x^{2}+6 x+9\right) d x\)
हल :

प्रश्न 13.
निम्नलिखित का समाकलन ज्ञात कीजिए : \(e^{x}\left(\frac{1+\sin x}{1+\cos x}\right)\)
हल :


प्रश्न 14.
व्यापक हल ज्ञात कीजिए :
sec2x tan y dx + sec2y tan x dy = 0
हल :

प्रश्न 15.
दर्शाइए कि दिया गया अवकल समीकरण समघातीय है और इन्हें हल कीजिए :
(x – y) dy – (x + y) dx = 0
हल :


प्रश्न 16.
सिद्ध कीजिए कि समचतुर्भुज के विकर्ण एक दूसरे से समकोण पर प्रतिच्छेद करते है।
हल :
माना कि OABC एक समचतुर्भुज है, जिसके विकर्ण एक-दूसरे से D पर प्रतिच्छेद करते हैं। माना कि O मूल बिन्दु तथा A और C का स्थिति सदिश क्रमशः
\(\vec{a}\) और \(\vec{c}\) हैं तब \(\vec{OA}\) = \(\vec{a}\) तथा \(\vec{OC}\) = \(\vec{c}\)


प्रश्न 17.

हल :

प्रश्न 18.
उस समतल का समीकरण ज्ञात कीजिए जो समतलों 3x – y + 2z – 4 = 0 और x + y + z – 2 = 0 के प्रतिच्छेदन तथा बिंदु (2, 2, 1) से होकर जाता है।
हल :

प्रश्न 19.

हल :


प्रश्न 20.

हल :



प्रश्न 21.
मान लीजिए कि जन्म लेने वाले बच्चे का लड़का या लड़की होना समसंभाव्य है। यदि किसी परिवार में दो बच्चे हैं, तो दोनों बच्चों के लड़की होने की सप्रतिबंध प्रायिकता क्या है, यदि यह दिया गया है कि
(i) सबसे छोटा बच्चा लड़की है
(ii) न्यूनतम एक बच्चा लड़की है।
हल :
मान लिया कि दो लड़की G1 तथा G2 और दो लड़का B1 तथा B2 से सूचित किया जाता है।
प्रतिदर्श समष्टि S= {(G1G2), (G1B2), (G2B1), (B1B2)}
मान लिया कि A = दोनों बच्चे लड़की हैं = {G1G2}
B = छोटा बच्चा लड़की है = {G1G2, B1G2}
C = न्यूनतम एक बच्चा लड़की है = {G1B2, G1G2, B1G2}
A ∩ B = {G1G2}, तथा A ∩ C = {G1G2}
साथ ही

प्रश्न 22.
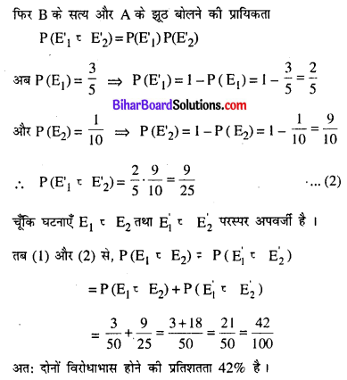
A, 60% तथा B, 90% सत्य बोलता है, तो किसी एक ही तथ्य पर दोनों विरोधाभास होने की क्या प्रतिशतता है?
हल :
उनके कथनों में विरोधाभास होगा यदि एक सत्य बोलता हो और दूसरा असत्य
यहाँ n(S) = 100
माना E1 = A का सत्य बोलना तब n(E1) = 60


प्रश्न 23.

हल :


प्रश्न 24.
यदि x + y = sec-1 (x + y) तो \(\frac{d y}{d x}\) निकालें।
हल :

प्रश्न 25.
\(\sqrt{e^{\sqrt{x}}}\), x > 0 निम्नलिखित के x के सापेक्ष अवकलन कीजिए।
हल :

दीर्घ उत्तरीय प्रश्न
प्रश्न संख्या 26 से 33 तक दीर्घ उत्तरीय कोटि के प्रश्न हैं। प्रत्येक के लिए 5 अंक निर्धारित हैं। प्रत्येक प्रश्न के साथ “अथवा” का विकल्प दिया गया है। आपको प्रश्न या अथवा में से किसी एक का उत्तर देना है।
प्रश्न 26.
सिद्ध कीजिए कि R त्रिज्या के गोले के अंतर्गत विशालतम शंकु का आयतन, गोले के आयतन का \(\frac{8}{27}\) होता है।
हल :
मान लिया कि R त्रिज्या वाले एक गोले के अन्तर्गत उच्चतम आयतन V की एक शंकु है। स्पष्ट है कि उच्चतम आयतन के लिए शंकु का अक्ष गोले के व्यास के साथ होना चाहिए। मान लिया कि OC = x है, तब



प्रश्न 27.
x के सापेक्ष अवकलन कीजिए : (log x)x + xlog x
हल :

प्रश्न 28.
निश्चित समाकलन का मान झात कीजिए : \(\int_{0}^{\pi} \frac{x \tan x}{\sec x+\tan x} d x\)
हल :



प्रश्न 29.
दीर्घ वन \(\frac{x^{2}}{a^{2}}+\frac{y^{2}}{b^{2}}=1\) से घिरे क्षेत्र का क्षेत्रफल ज्ञात कीजिए।
हल :



प्रश्न 30.
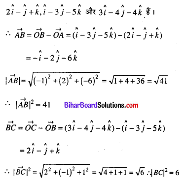
दर्शाइए कि सदिश \(2 \hat{i}-\hat{j}+\hat{k}, \hat{i}-3 \hat{j}-5 \hat{k}\) और \(3 \hat{i}-4 \hat{j}-4 \hat{k}\) एक समकोण त्रिभुज के शीर्षों की रचना करते हैं।
हल :
मान लिया कि बिन्दुओं A, B और C के स्थिति सदिश क्रमशः


प्रश्न 31.
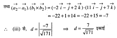
दर्शाइए (1, -1, 2), (3, 4, -2) से होकर जाने वाली रेखा बिन्दुओं (0, 3, 2)और (3, 5, 6) से जाने वाली रेखा पर लम्ब है।
हलः
मान लिया कि (1, -1, 2), (3, 4, -2)क्रमशः बिन्दुएँ A, B हैं।
AB की दिक् अनुपात : 3 – 1, 4-(-1), -2-2 या, 2, 5, -4 मान लिया कि (0, 3, 2) और (3, 5, 6) क्रमशः बिन्दुएँ C और D हैं।
CD की दिक् अनुपात : 3 – 0, 5 – 3, 6 – 2 या 3, 2, 4
AB, CD पर लम्ब होगा यदि a1a2 + b1b2 + c1c2 = 0
अर्थात 2 × 3 + 5 × 2 + (-4) × 4 = 6 + 10 – 16 = 0
जो सत्य है। अत : AB ⊥ CD.
प्रश्न 32.
निम्न व्यवरोधों के अन्तर्गत x + y ≤ 50, 3x + y ≤ 90, x ≥ 0, y ≥ 0 में Z = 4x + y का अधिकतम मान ज्ञात कीजिए।
हल :
दिए गए व्यवरोधों x + y ≤ 50 ⇒ x + y = 50 …(1)
3x + y ≤ 90 ⇒ 3x + y = 90 …(2)
x ≥ 0, y ≥ 0 ⇒ x = 0, y = 0 …(3)
के अन्तर्गत उद्देश्य फलन z = 4x + y का अधिकतमीकरण करना है। सर्वप्रथम (1) से (3) तक असमीकरण के संगत समीकरण का आलेख खींचते हैं। आलेख से सुसंगत क्षेत्र OABC प्राप्त होता है, जो परिबद्ध है। बिन्दु B का निर्देशक समीकरण (1) और (2) को हल करने से प्राप्त होता है। आलेख से स्पष्ट है कि कोनीय बिन्दुओं के निर्देशांक क्रमश:
O(0, 0), A(30, 0), B(20, 30) तथा C(0, 50) है।

अन्त कानीय विधि का प्रयोग कर 2 का अधिकतम मान ज्ञात करते है।
कोनीय बिन्दु Z = 4x + y
O(0, 0), z = 4 × 0 + 0 = 0
A(30, 0), z = 4 × 30 + 0 = 120
B (20, 30), z = 4 × 20 + 30 = 110
C(0, 50), z = 4 × 0 + 50 = 50
उपर्युक्त सारणी से स्पष्ट है कि z का अधिकतम मान बिन्दु A(30, 0) पर 120 है।
प्रश्न 33.
निम्नांकित LPP का आलेखीय हल निकालें :
अधिकतमीकरण करें : Z = 8x + 7y जबकि 3x + y ≤ 66
x + y ≤ 45, x ≤ 20, y ≤ 40, x, y ≥ 0
हल :
दिए गए उद्देश्य फलन Z = 8x + 7y का निम्न व्यवरोधों के अन्तर्गत
3x + y ≤ 66 ⇒ 3x + y = 66 …(i)
x + y ≤ 45 ⇒ x + y = 45 …(ii)
x ≤ 20 ⇒ x = 20 ….. (iii)
y ≤ 40 ⇒ y = 40 ….(iv)
तथा x, y ≥ 0 ⇒ x = 0, y = 0 …..(v)
उद्देश्य फलन 2 का अधिकतम मान ज्ञात करना है।
सर्वप्रथम (i) से (v) के असमीकरण के संगत समीकरण का आलेख खींचते हैं।
असमीकरण (iv) के संगत समीकरण y = 40 y-अक्ष को A (0, 40) पर, असमीकरण (iv) और (ii) के कटान बिन्दु B (5,40), असमीकरण (i) और (ii) के संगत समीकरण का आलेख बिन्दु \(c\left(\frac{63}{6}, \frac{69}{2}\right)\) पर, असमीकरण (i) और (iii) बिन्दु D (20, 6) और असमीकरण (iii) और x-अक्ष बिन्दु E (20, 0) पर प्रतिच्छेद करती है। इस प्रकार सुसंगत क्षेत्र ABCDE प्राप्त होता है, जो परिवद्ध है। अब कोनीय बिन्दु विधि से Z का अधिकतम मान ज्ञात करते हैं।
कोनीय बिन्दु Z = 8x + 7y
A(0, 40), Z = 8 × 0 + 7 × 40 = 280
B (5, 40), Z = 8 × 5 + 7 × 40 = 320
\(C\left(\frac{63}{6}, \frac{69}{2}\right)\), \(Z=8 \cdot \frac{63}{6}+7 \cdot \frac{69}{2}=325.5\)
D(20, 6), Z = 8 × 20 + 7 × 6 = 206
E (20,0), Z = 8 × 20 + 0 = 160

उपर्युक्त सारणी से स्पष्ट है कि \(c\left(\frac{63}{6}, \frac{69}{2}\right)\) पर Z का मान अधिकतम 325.5 है। अतः दिए गए व्यवरोधों के अन्तर्गत उद्देश्य फलन Z का अधिकतम मान 325.5 है।