Bihar Board 12th Maths Objective Questions and Answers
Bihar Board 12th Maths Objective Answers Chapter 11 Three Dimensional Geometry
Question 1.
Direction cosines of the line that makes equal angles with the three axes in space are

Answer:
(c) \(\pm \frac{1}{\sqrt{3}}, \pm \frac{1}{\sqrt{3}}, \pm \frac{1}{\sqrt{3}}\)
Question 2.
If the direction ratios of a line are 1, -3, 2, then its direction cosines are

Answer:
(a) \(\frac{1}{\sqrt{14}}, \frac{-3}{\sqrt{14}}, \frac{2}{\sqrt{14}}\)
Question 3.
The cosines of the angle between any two diagonals of a cube is
(a) \(\frac{1}{3}\)
(b) \(\frac{1}{2}\)
(c) \(\frac{2}{3}\)
(d) \(\frac{1}{\sqrt{3}}\)
Answer:
(a) \(\frac{1}{3}\)
Question 4.
Which of the following is false?
(a) 30°, 45°, 60° can be the direction angles of a line is space.
(b) 90°, 135°, 45° can be the direction angles of a line is space.
(c) 120°, 60°, 45° can be the direction angles of a line in space.
(d) 60°, 45°, 60° can be the direction angles of a line in space.
Answer:
(a) 30°, 45°, 60° can be the direction angles of a line is space.
Question 5.
A line makes angles α, β and γ with the co-ordinate axes. If α + β = 90°, then γ is equal to
(a) 0°
(b) 90°
(c) 180°
(d) None of these
Answer:
(b) 90°
Question 6.
If a line makes an angle θ1, θ2, θ3 with the axis respectively, then cos 2θ1 + cos 2θ2 + cos 2θ3 =
(a) -4
(b) -2
(c) -3
(d) -1
Answer:
(d) -1
Question 7.
The coordinates of a point P are (3, 12, 4) w.r.t. origin O, then the direction cosines of OP are

Answer:
(d) \(\frac{3}{13}, \frac{12}{13}, \frac{4}{13}\)
Question 8.
Find the direction cosines of the line joining A(0, 7, 10) and B(-1, 6, 6).

Answer:
(b) \(\frac{1}{3 \sqrt{2}}, \frac{1}{3 \sqrt{2}}, \frac{4}{3 \sqrt{2}}\)
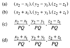
Question 9.
The direction cosines of a line passing through two points P(x1, y1, z1) and Q(x2, y2, z2) are

Answer:
(c) \(\frac{x_{2}-x_{1}}{P Q}, \frac{y_{2}-y_{1}}{P Q}, \frac{z_{2}-z_{1}}{P Q}\)
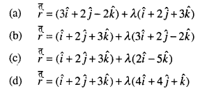
Question 10.
The equation of a line which passes through the point (1, 2, 3) and is parallel to the vector \(3 \hat{i}+2 \hat{j}-2 \hat{k}\), is

Answer:
(b) \(r=(\hat{i}+2 \hat{j}+3 \hat{k})+\lambda(3 \hat{i}+2 \hat{j}-2 \hat{k})\)
Question 11.
The equation of line passing through the point (-3, 2, -4) and equally inclined to the axes are
(a) x – 3 = y + 2 = z – 4
(b) x + 3 = y – 2 = z + 4
(c) \(\frac{x+3}{1}=\frac{y-2}{2}=\frac{z+4}{3}\)
(d) None of these
Answer:
(b) x + 3 = y – 2 = z + 4
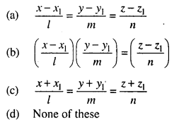
Question 12.
If l, m and n are the direction cosines of line l, then the equation of the line (l) passing through (x1, y1, z1) is

Answer:
(a) \(\frac{x-x_{1}}{l}=\frac{y-y_{1}}{m}=\frac{z-z_{1}}{n}\)
Question 13.
In the figure, a be the position vector of the point A with respect to the origin O. l is a line parallel to a
vector b. The vector equation of line l is

Answer:
(c) r = a + λb
Question 14.
The certesian equation of the line l when it passes through the point (x1, y1, z1) and parallel to the vector
b = \(a \hat{i}+b \hat{j}+c \hat{k}\), is
(a) x – x1 = y – y1 = z – z1
(b) x + x1 = y + y1 = z + z1
(c) \(\frac{x+x_{1}}{a}=\frac{y+y_{1}}{b}=\frac{z+z_{1}}{c}\)
(d) \(\frac{x-x_{1}}{a}=\frac{y-y_{1}}{b}=\frac{z-z_{1}}{c}\)
Answer:
(d) \(\frac{x-x_{1}}{a}=\frac{y-y_{1}}{b}=\frac{z-z_{1}}{c}\)
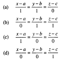
Question 15.
The equation of the straight line passing through the point (a, b, c) and parallel to Z-axis is

Answer:
(d) \(\frac{x-a}{0}=\frac{y-b}{0}=\frac{z-c}{1}\)
Question 16.
The coordinates of a point on the line \(\frac{x+2}{3}=\frac{y+1}{2}=\frac{z-3}{2}\) at a distance of \(\frac{6}{\sqrt{12}}\) from the point (1, 2, 3) is
(a) (56, 43, 111)
(b) \(\left(\frac{56}{17}, \frac{43}{17}, \frac{111}{17}\right)\)
(c) (2, 1, 3)
(d) (-2, -1, -3)
Answer:
(b) \(\left(\frac{56}{17}, \frac{43}{17}, \frac{111}{17}\right)\)
Question 17.
Find the coordinatets of the point where the line through the points (5, 1, 6) and (3, 4, 1) crosses the yz-plane.
(a) \(\left(0,-\frac{17}{2}, \frac{13}{2}\right)\)
(b) \(\left(0, \frac{17}{2},-\frac{13}{2}\right)\)
(c) \(\left(10, \frac{19}{2}, \frac{13}{2}\right)\)
(d) (0, 17, 13)
Answer:
(b) \(\left(0, \frac{17}{2},-\frac{13}{2}\right)\)
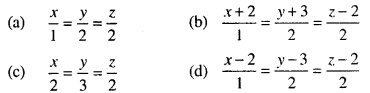
Question 18.
The point A(1, 2, 3), B(-1, -2, -1) and C(2, 3, 2) are three vertices of a parallelogram ABCD. Find the equation of CD.

Answer:
(d) \(\frac{x-2}{1}=\frac{y-3}{2}=\frac{z-2}{2}\)
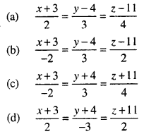
Question 19.
The equation of the line joining the points (-3, 4, 11) and (1, -2, 7) is

Answer:
(b) \(\frac{x+3}{-2}=\frac{y-4}{3}=\frac{z-11}{2}\)
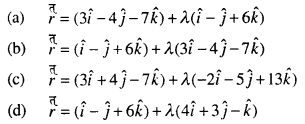
Question 20.
The vector equation of the line through the points A(3, 4, -7) and B(1, -1, 6) is

Answer:
(c) \(r=(3 \hat{i}+4 \hat{j}-7 \hat{k})+\lambda(-2 \hat{i}-5 \hat{j}+13 \hat{k})\)
Question 21.
The vactor equation of the symmetrical form of equation of straight line \(\frac{x+5}{3}=\frac{y+4}{7}=\frac{z-6}{2}\) is

Answer:
(d) \(r=(5 \hat{i}-4 \hat{j}+6 \hat{k})+\mu(3 \hat{i}+7 \hat{j}+2 \hat{k})\)
Question 22.
Vector equation of the line 6x – 3 = 3y + 4 = 2z – 2 is

Answer:
(c) \(r=\frac{1}{2} \hat{i}-\frac{4}{3} \hat{j}+\hat{k}+\lambda\left(\frac{1}{6} \hat{i}+\frac{1}{3} \hat{j}+\frac{1}{2} \hat{k}\right)\)
Question 23.

Answer:
(b) \(\frac{9}{2}\)
Question 24.

Answer:
(a) -5
Question 25.
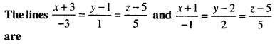
The angle between the straight lines
![]()
Answer:
(a) 45°
(b) 30°
(c) 60°
(d) 90°
Answer:
(d) 90°
Question 26.

Answer:
(d) \(\frac{\pi}{6}\)
Question 27.
The angle between the line 2x = 3y = -z and 6x = -y = -4z is
(a) 30°
(b) 45°
(c) 90°
(d) 0°
Answer:
(c) 90°
Question 28.
The angle between the lines 3x = 6y = 2z and \(\frac{x-2}{-5}=\frac{y-1}{7}=\frac{z-3}{1}\) is
(a) \(\frac{\pi}{6}\)
(b) \(\frac{\pi}{4}\)
(c) \(\frac{\pi}{3}\)
(d) \(\frac{\pi}{2}\)
Answer:
(d) \(\frac{\pi}{2}\)
Question 29.
Find the angle between the pair of lines given by

Answer:
(a) \(\cos ^{-1}\left(\frac{19}{21}\right)\)
Question 30.
The angle between the lines x = 1, y = 2 and y = -1, z = 0 is
(a) 90°
(b) 30°
(c) 60°
(d) 0°
Answer:
(a) 90°
Question 31.

Answer:
(b) \(\frac{\pi}{2}\)
Question 32.
The angle between the lines passing through the points (4, 7, 8), (2, 3, 4) and (-1, -2, 1), (1, 2, 5) is
(a) 0
(b) \(\frac{\pi}{2}\)
(c) \(\frac{\pi}{4}\)
(d) \(\frac{\pi}{6}\)
Answer:
(a) 0
Question 33.

Answer:
(d) Both (a) and (b)
Question 34.

Answer:
(a) \(\frac{x-1}{1}=\frac{y-2}{3}=\frac{z+3}{4}\)
Question 35.

Answer:
(a) \(-\frac{10}{7}\)
Question 36.

Answer:
(b) \(\frac{70}{11}\)
Question 37.
The shortest distance between the lines

Answer:
(d) \(\frac{1}{\sqrt{6}}\)
Question 38.
The shortest distance between the lines \(\frac{x-3}{3}=\frac{y-8}{-1}=\frac{z-3}{1}\) and \(\frac{x+3}{-3}=\frac{y+7}{2}=\frac{z-6}{4}\) is equal
(a) 3√30
(b) √30
(c) 2√30
(d) None of these
Answer:
(a) 3√30
Question 39.
The shortest distance between the lines x = y = z and x + 1 – y = \(\frac{z}{0}\) is
(a) \(\frac{1}{2}\)
(b) \(\frac{1}{\sqrt{2}}\)
(c) \(\frac{1}{\sqrt{3}}\)
(d) \(\frac{1}{\sqrt{6}}\)
Answer:
(d) \(\frac{1}{\sqrt{6}}\)
Question 40.
The shortest distance between the lines x = y + 2 = 6z – 6 and x + 1 = 2y = -12z is
(a) \(\frac{1}{2}\)
(b) 2
(c) 1
(d) \(\frac{3}{2}\)
Answer:
(b) 2
Question 41.

Answer:
(a) 0
Question 42.

Answer:
(b) \(\frac{\left|\left(\tilde{a}_{2}-a_{1}\right) \times b\right|}{|b|}\)
Question 43.

Answer:
(b) \(\sqrt{\frac{59}{7}}\)
Question 44.

Answer:
(d) \(\sqrt{\frac{129}{5}}\)
Question 45.
The direction cosines of the unit vector perpendicular to the plane \(r \cdot(6 \hat{i}-3 \hat{j}-2 \hat{k})+1=0\) passing through the origin are
(a) \(\frac{6}{7}, \frac{3}{7}, \frac{2}{7}\)
(b) 6, 3, 2
(c) \(-\frac{6}{7}, \frac{3}{7}, \frac{2}{7}\)
(d) -6, 3, 2
Answer:
(c) \(-\frac{6}{7}, \frac{3}{7}, \frac{2}{7}\)
Question 46.
The coordinate of the foot of perpendicular drawn from origin to the plane 2x – 3y + 4z – 6 = 0 is

Answer:
(d) \(\left(\frac{12}{\sqrt{29}}, \frac{-18}{\sqrt{29}}, \frac{24}{\sqrt{29}}\right)\)
Question 47.
The vector equation of a plane which is at a distance of 7 units from the origin and normal to the vector
\(3 \hat{i}+5 \hat{j}-6 \hat{k}\) is

Answer:
(d) \(r \cdot\left(\frac{3 \hat{i}}{70}+\frac{5 \hat{j}}{70}-\frac{6 \hat{k}}{70}\right)=7\)
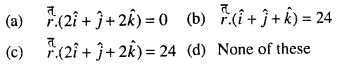
Question 48.
Find the vector equation of the plane which is at a distance of 8 units from the origin and which is normal to the vector \(2 \hat{i}+\hat{j}+2 \hat{k}\).

Answer:
(c) \(r_{\cdot}(2 \hat{i}+\hat{j}+2 \hat{k})=24\)
Question 49.
Find the length of perpendicular from the origin to the plane \(r(3 \hat{i}-4 \hat{j}+12 \hat{k})\).
(a) \(\frac{5}{13}\)
(b) \(\frac{5}{\sqrt{13}}\)
(c) \(\frac{5}{23}\)
(d) \(\frac{\sqrt{5}}{13}\)
Answer:
(a) \(\frac{5}{13}\)
Question 50.
The equation of the plane passing through three non- collinear points with position vectors a, b, c is
(a) r.(b × c + c × a + a × b) = 0
(b) r.(b × c + c × a + a × b) = [abc]
(c) r.(a × (b + c)) = [abc]
(d) r.(a + b + c) = 0
Answer:
(b) r.(b × c + c × a + a × b) = [abc]
Question 51.
Equation of the plane passing through three points A, B, C with position vectors

Answer:
(a) \(\pi(\hat{i}-\hat{j}-2 \hat{k})+23=0\)
Question 52.
Four points (0, -1, -1) (-4, 4, 4) (4, 5, 1) and (3, 9, 4) are coplanar. Find the equation of the plane containing them.
(a) 5x + 7y + 11z – 4 =0
(b) 5x – 7y + 11z + 4 = 0
(c) 5x – 7y – 11z – 4 = 0
(d) 5x + 7y – 11z + 4 = 0
Answer:
(b) 5x – 7y + 11z + 4 = 0
Question 53.
Find the equation of plane passing through the points P(1, 1, 1), Q(3, -1, 2), R(-3, 5, -4).
(a) x + 2y = 0
(b) x – y = 2
(c) -x + 2y = 2
(d) x + y = 2
Answer:
(d) x + y = 2
Question 54.
The vector equation of the plane passing through the origin and the line of intersection of the plane r.a = λ and r.b = µ is
(a) r.(λa – µb) = 0
(b) r.(λb – µa) = 0
(c) r.(λa + µb)= 0
(d) r.(λb + µa) = 0
Answer:
(b) r.(λb – µa) = 0
Question 55.
The vector equation of a plane passing through the intersection of the planes \(r_{\cdot}(\hat{i}+\hat{j}+\hat{k})=6\) and \(r_{\cdot}(2 \hat{i}+3 \hat{j}+4 \hat{k})=-5\) and the point (1, 1, 1) is

Answer:
(c) \(r_{\cdot}(20 \hat{i}+23 \hat{j}+26 \hat{k})=69\)
Question 56.

Answer:
(b) -4
Question 57.

(a) coplanar
(b) non-coplanar
(c) perpendicular
(d) None of the above
Answer:
(a) coplanar
Question 58.
The angle between the planes 3x + 2y + z – 5 = 0 and x + y – 2z – 3 = 0 is

Answer:
(c) \(\cos ^{-1}\left(\frac{3}{2 \sqrt{21}}\right)\)
Question 59.
The equation of the plane through the point (0, -4, -6) and (-2, 9, 3) and perpendicular to the plane x – 4y – 2z = 8 is
(a) 3x + 3y – 2z = 0
(b) x – 2y + z = 2
(c) 2x + y – z = 2
(d) 5x – 3y + 2z = 0
Answer:
(c) 2x + y – z = 2
Question 60.
The angle between the planes \(r \cdot(\hat{i}+2 \hat{j}+\hat{k})=4\) and \(r(-\hat{i}+\hat{j}+2 \hat{k})=9\) is
(a) 30°
(b) 60°
(c) 45°
(d) None of these
Answer:
(b) 60°
Question 61.
The angle between the panes x + y = 0 and y – z = 1 is
(a) \(\frac{\pi}{6}\)
(b) \(\frac{\pi}{4}\)
(c) \(\frac{\pi}{3}\)
(d) \(\frac{\pi}{2}\)
Answer:
(c) \(\frac{\pi}{3}\)
Question 62.
If the angle between the planes 2x – y + 2z = 3 and 3x + 6y + cz = 4 is \(\cos ^{-1}\left(\frac{4}{21}\right)\), then c2 =
(a) 1
(b) 4
(c) 9
(d) 5
Answer:
(b) 4
Question 63.
The distance of the plane 2x – 3y + 4z – 6 = 0 from the origin is A. Here, A refers to
(a) 6
(b) -6
(c) \(-\frac{6}{\sqrt{29}}\)
(d) \(\frac{6}{\sqrt{29}}\)
Answer:
(b) -6
Question 64.
Find the length of perpendicular from origin to the plane \(r \cdot(3 \hat{i}-4 \hat{j}-12 \hat{k})+39=0\)
(a) 1
(b) 3
(c) \(\frac{1}{7}\)
(d) None of these
Answer:
(b) 3
Question 65.
The distance of the origin from the plane through the points (1, 1, 0), (1, 2, 1) and (-2, 2, -1) is
(a) \(\frac{3}{\sqrt{11}}\)
(b) \(\frac{5}{\sqrt{22}}\)
(c) 3
(d) \(\frac{4}{\sqrt{22}}\)
Answer:
(b) \(\frac{5}{\sqrt{22}}\)
Question 66.
The angle θ between the line r = a + λb is given by

Answer:
(a) \(\sin ^{-1}\left(\frac{\tilde{h}_{\hat{\pi}}^{\pi}}{|\vec{b}|}\right)\)
Question 67.

Answer:
(a) \(\sin ^{-1}\left(\frac{2 \sqrt{2}}{3}\right)\)
Question 68.
The angle between the straight line \(\frac{x-1}{2}=\frac{y+3}{-1}=\frac{z-5}{2}\) and the plane 4x – 2y + 4z = 9 is
(a) 60°
(b) 90°
(c) 45°
(d) 30°
Answer:
(b) 90°
Question 69.
Distance of the point (α, β, γ) from y-axis is
(a) β
(b) |β|
(c) |β| + |γ|
(d) \(\sqrt{\alpha^{2}+\gamma^{2}}\)
Answer:
(d) \(\sqrt{\alpha^{2}+\gamma^{2}}\)
Question 70.
The distance of the plane \(r \cdot\left(\frac{2}{7} \hat{i}+\frac{3}{7} \hat{j}-\frac{6}{7} \hat{k}\right)=1\) from the origin is
(a) 1
(b) 7
(c) \(\frac{1}{7}\)
(d) None of these
Answer:
(a) 1
Question 71.

Answer:
(d) \(\frac{\sqrt{2}}{10}\)
Question 72.
The reflection of the point (α, β, γ) in the xy-plane is
(a) (α, β, 0)
(b) (0, 0, γ)
(c) (-α, -β, -γ)
(d) (α, β, -y)
Answer:
(d) (α, β, -y)
Question 73.
The area of the quadrilateral ABCD, where A(0, 4, 1), B(2, 3, -1), C(4, 5, 0) and D(2, 6, 2), is equal to
(a) 9 sq. units
(b) 18 sq. units
(c) 27 sq. units
(d) 81 sq. units
Answer:
(a) 9 sq. units
Question 74.
The locus represented by xy + yz = 0 is
(a) A pair of perpendicular lines
(b) A pair of parallel lines
(c) A pair of parallel planes
(d) A pair of perpendicular planes
Answer:
(d) A pair of perpendicular planes