Bihar Board 12th Maths Objective Questions and Answers
Bihar Board 12th Maths Objective Answers Chapter 9 Differential Equations
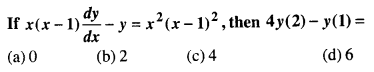
Question 1.
The order of the differential equation of all tangent lines to the parabola y = x2 is
(a) 1
(b) 2
(c) 3
(d) 4
Answer:
(a) 1
Question 2.
The differential equation of all parabolas whose axis of symmetry is along the axis of the x-axis is of order
(a) 3
(b) 1
(c) 2
(d) none of these
Answer:
(c) 2
Question 3.
The degree of the equation satisfying the relation \(\sqrt{1+x^{2}}+\sqrt{1+y^{2}}=\lambda(\sqrt{1+y^{2}}-y \sqrt{1+x^{2}})\) is
(a) 1
(b) 2
(c) 3
(d) none of these
Answer:
(a) 1
Question 4.
The degree of the differential equation \(\left(\frac{d^{2} y}{d x^{2}}\right)^{2 / 3}+4-\frac{3 d y}{d x}=0\) is
(a) 2
(b) 1
(c) 3
(d) none of these
Answer:
(a) 2
Question 5.
The differential equation whose solution is (x – h)2 + (y – k)2 = a2 is (a is a constant)

Answer:
(b) \(\left[1+\left(\frac{d y}{d x}\right)^{2}\right]^{3}=a^{2}\left(\frac{d^{2} y}{d x^{2}}\right)^{2}\)
Question 6.
The differential equation satisfied by y = \(\frac{A}{x}\) + B is (A, B are parameters)
(a) x2 y1 = y
(b) xy1 + 2y2 = 0
(c) xy2 + 2y1 = 0
(d) none of these
Answer:
(c) xy2 + 2y1 = 0
Question 7.
The differential equation whose solution represents the family xy = Aeax + Be-ax

Answer:
(c) \(x \frac{d^{2} y}{d x^{2}}+2 \frac{d y}{d x}=a^{2} x y\)
Question 8.
The differential equation having solution is y = 17ex + ae-x is
(a) y” – x = 0
(b) y” – y = 0
(c) y’ – y = 0
(d) y’ – x = 0
Answer:
(b) y” – y = 0
Question 9.
The solution of a differential equation is y = c1e4x + c2e3x, the differential equation is given by

Answer:
(c) \(\frac{d^{2} y}{d x^{2}}-7 \frac{d y}{d x}+12 y=0\)
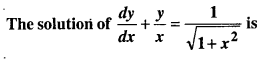
Question 10.
The differential equation satisfied by

Answer:
(b) \(\frac{d y}{d x}=\frac{1+y^{2}}{1+x^{2}}\)
Question 11.
The differential equation of all ‘Simple Harmonic Motions’ of given period \(\frac{2 \pi}{n}\) is

Answer:
(b) \(\frac{d^{2} x}{d t^{2}}+n^{2} x=0\)
Question 12.
The differential equation of all parabolas whose axes are parallel to y-axis is

Answer:
(a) \(\frac{d y}{d x}=-\frac{c^{2}}{x^{2}}\)
Question 13.
The differential equation of all non-horizontal lines in a plane is

Answer:
(b) \(\frac{d^{2} x}{d y^{2}}=0\)
Question 14.
The differential equation of all circles which pass through the origin and whose centre lies on y-axis is

Answer:
(a) \(\left(x^{2}-y^{2}\right) \frac{d y}{d x}-2 x y=0\)
Question 15.
The differential equation of the family of circles touching the x-axis at origin is given by

Answer:
(b) \(y^{\prime}=\frac{2 x y}{x^{2}-y^{2}}\)
Question 16.
The differential equation representing the family of ellipses with centre at origin and foci on x-axis is given as
(a) xy’ + y = 0
(b) x2y2(y”)2 + yy’= 0
(c) xyy” + x(y’)2 – yy’ = 0
(d) None of these
Answer:
(b) x2y2(y”)2 + yy’= 0
Question 17.
The differential equation of all parabolas whose axes are along x-axis is
(a) \(y_{2}^{2}+y_{1}=0\)
(b) \(y_{1}^{2}+y_{2}=0\)
(c) \(y_{1}^{2}+y_{1} y_{2}=0\)
(d) \(y_{1}^{2}+y y_{2}=0\)
Answer:
(d) \(y_{1}^{2}+y y_{2}=0\)
Question 18.
The equation of family of curves for which the length of the normal is equal to the radius vector is
(a) \(y^{2} \mp x^{2}=k^{2}\)
(b) \(y \pm x=k\)
(c) y2 = kx
(d) none of these
Answer:
(a) \(y^{2} \mp x^{2}=k^{2}\)
Question 19.
The solution of the differential equation \(\frac{d y}{d x}=\frac{x^{2}+y^{2}+1}{2 x y}\) satisfying (1) = 1, is
(a) a hyperbola
(b) a circle
(c) y2 = x(1 + x) – 10
(d) (x – 2)2 + (y – 3)2 = 5xy
Answer:
(a) a hyperbola
Question 20.
Given the differential equation \(\frac{d y}{d x}=\frac{6 x^{2}}{2 y+\cos y}\); y(1) = π
Mark out the correct statement.
(a) solution is y2 – sin y = -2x3 + C
(b) solution is y2 + sin y = 2x3 + C
(c) C = π2+ 2√2
(d) C = π2 + 2
Answer:
(b) solution is y2 + sin y = 2x3 + C
Question 21.
For the differential equation \(x \frac{d y}{d x}+2 y=x y \frac{d y}{d x}\),
(a) order is 1 and degree is 1
(b) solutio is ln(yx2) = C – y
(c) order is 1 and degree is 2
(d) solution is ln(xy2) = C + y
Answer:
(a) order is 1 and degree is 1
Question 22.
The particular solution In(\(\frac{d y}{d x}\)) = 3x + 4y, y(0) = 0 is
(a) e3x + 3e-4y = 4
(b) 4e3x – 3e-4y = 3
(c) 3e3x + 4e4y = 7
(d) 4e3x + 3e-4y = 7
Answer:
(d) 4e3x + 3e-4y = 7
Question 23.
The solution of the differential equation

Answer:
(c) y = x tan(C – x)
Question 24.
The solution of the differential equation

Answer:
(d) None of these
Question 25.
The solution of the differential equation

Answer:
(c) \(y=x \tan \left(\frac{C-x^{2}-y^{2}}{2}\right)\)
Question 26.

Answer:
(b) \(c e^{y / 2}\)
Question 27.
If ydx – xdy + ln x dx = 0, y(1) = -1, then
(a) y + 1 + ln x = 0
(b) y + 1 + 2 ln x = 0
(c) 2(y + 1) + lnx = 0
(d) y + 1 – y ln x = 0
Answer:
(a) y + 1 + ln x = 0
Question 28.
The differential equation \(\frac{d y}{d x}=\sqrt{\frac{1-y^{2}}{y}}\) determines a family of circle with
(a) variable radii and fixed centre (0, 1)
(b) variable radii and fixed centre (0, -1)
(c) fixed radius 1 and variable centre on x-axis
(d) fixed radius 1 and variable centre on y-axis
Answer:
(c) fixed radius 1 and variable centre on x-axis
Question 29.
If y dx + y2 dy = x dy, x ∈ R, y > 0 and y(1) = 1, then y(-3) =
(a) 3
(b) 2
(c) 1
(d) 5
Answer:
(a) 3
Question 30.
The solution of y dx + (x + x2y) dy = 0 is

Answer:
(b) \(-\frac{1}{x y}+\ln y=c\)
Question 31.
If (x + y)2 \(\frac{d y}{d x}\) = a2, y = 0 when x = 0, then y = a if \(\frac{x}{a}\) =
(a) 1
(b) tan 1
(c) tan 1 + 1
(d) tan 1 – 1
Answer:
(d) tan 1 – 1
Question 32.

Answer:
(a) ex – 1
Question 33.
If sinx \(\frac{d y}{d x}\) + y cosx = x sinx, then (y – 1) sinx =
(a) c – x sinx
(b) c + xcosx
(c) c – x cos x
(d) c + x sin x
Answer:
(c) c – x cos x
Question 34.
The solution of the differential equation

Answer:
(c) \(e^{y}=\frac{x^{3}}{3}+e^{x}+c\)
Question 35.
The solution of the differential equation xdy + ydx = xydx when y(1) = 1 is

Answer:
(b) \(\frac{e^{x}}{e x}\)
Question 36.
The solution of differential equation (ey + 1) cosx dx + ey sinx dy = 0 is
(a) (ey + 1) sinx = c
(b) ex sinx = c
(c) (ex + 1) cosx = c
(d) none of these
Answer:
(a) (ey + 1) sinx = c
Question 37.
The solution of the differential equation \(\frac{d y}{d x}=\frac{x}{1+x^{2}}\) is

Answer:
(c) \(y=\log (\sqrt{1+x^{2}})+c\)
Question 38.

Answer:
(c) \(\frac{e^{6}+9}{2}\)
Question 39.

Answer:
(a) y = e sin2x
Question 40.
The general solution of the differential equation \(\frac{d y}{d x}=\frac{x^{2}}{y^{2}}\) is
(a) x3 – y3 = c
(b) x3 + y3 = c
(c) x2 + y2 = c
(d) x2 – y2 = c
Answer:
(a) x3 – y3 = c
Question 41.
The Solution of cos(x + y) dy = dx is

Answer:
(a) \(y=\tan \left(\frac{x+y}{2}\right)+C\)
Question 42.

Answer:
(d) x + x ln x
Question 43.

Answer:
(c) √3e
Question 44.

Answer:
(d) \(\ln \frac{y}{x}=c x\)
Question 45.

Answer:
(d) \(\frac{\pi}{12}\)
Question 46.

Answer:
(d) \(\sec \frac{y}{x}=c x y\)
Question 47.

Answer:
(c) \(-2 \sqrt{\frac{x}{y}}=\ln c y\)
Question 48.

Answer:
(c) \(x+y e^{x / y}=c\)
Question 49.

Answer:
(a) \(x y=c e^{y / x}\)
Question 50.

Answer:
(c) Circle
Question 51.

Answer:
(c) \(\sqrt{x^{2}+y^{2}}+y=c x^{2}\)
Question 52.
The solution of the differential equation (x2 + y2) dx – 2xy dy = 0 is

Answer:
(d) \(\frac{x^{2}-y^{2}}{x}=c\)
Question 53.
The solution of the differential equation x dy + (x + y) dx = 0 is

Answer:
(b) \(c=x y+\frac{x^{2}}{2}\)
Question 54.
The solution of differential equation \(\frac{d y}{d x}=\frac{x-y}{x+y}\) is
(a) x2 – y2 + 2xy + c = 0
(b) x2 – y2 – xy + c = 0
(c) x2 – y2 + xy + c = 0
(d) x2 – y2 – 2xy + c = 0
Answer:
(d) x2 – y2 – 2xy + c = 0
Question 55.

Answer:
(a) \(-\frac{1}{2}\)
Question 56.

Answer:
(c) \(\frac{e^{2}+1}{4}\)
Question 57.

Answer:
(d) 6
Question 58.

Answer:
(d) \(\frac{5}{2}\)
Question 59.

Answer:
(d) \(\frac{2}{e}\)
Question 60.

Answer:
(d) \(\frac{1}{4}\)
Question 61.

Answer:
(c) \(\frac{x}{y}-y^{2}=c\)
Question 62.


Answer:
(b) \(y=\frac{\sqrt{1+x^{2}}}{x}+\frac{c}{x}\)
Question 63.

Answer:
(c) \(y e^{-3 x}=-e^{-3 x} \frac{(2 \cos 2 x+3 \sin 2 x)}{13}+c\)
Question 64.

Answer:
(a) \(-\frac{1}{2}\)
Question 65.
The solution of the differential equation,

Answer:
(a) \(y=\sin \frac{1}{x}-\cos \frac{1}{x}\)
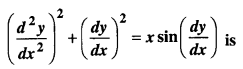
Question 66.
The degree of the differential equation

(a) 1
(b) 2
(c) 3
(d) not defined
Answer:
(d) not defined
Question 67.
The order and degree of the differential equation \(\frac{d^{2} y}{d x^{2}}+\left(\frac{d y}{d x}\right)^{\frac{1}{4}}+x^{\frac{1}{5}}=0\) respectively are
(a) 2 and not defined
(b) 2 and 2
(c) 2 and 3
(d) 3 and 3
Answer:
(a) 2 and not defined
Question 68.
The differential equation for y = A cos αx + B sin αx, where A and B are arbitrary constants is

Answer:
(b) \(\frac{d^{2} y}{d x^{2}}+\alpha^{2} y=0\)
Question 69.
Integrating factor of the differential equation

Answer:
(c) \(\sqrt{1-x^{2}}\)
Question 70.
Integrating factor of the differential equation \(\frac{d y}{d x}\) + y tanx – sec x = 0 is
(a) cos x
(b) sec x
(c) ecos x
(d) esec x
Answer:
(b) sec x
Question 71.
The solution of the differential equation \(\frac{d y}{d x}=\frac{1+y^{2}}{1+x^{2}}\) is
(a) y = tan-1 x
(b) y – x = k(1 + xy)
(c) x = tan-1 y
(d) tan(xy) = k
Answer:
(b) y – x = k(1 + xy)
Question 72.
The solution of the differential equation cos x sin y dx + sin x cos y dy = 0 is
(a) \(\frac{\sin x}{\sin y}=c\)
(b) sin x sin y = c
(c) sin x + sin y = c
(d) cos x cos y = c
Answer:
(b) sin x sin y = c
Question 73.

Answer:
(c) \(e^{y}=e^{x^{2}}+c\)
Question 74.
Which of the following is the general solution of

Answer:
(a) y = (Ax + B) ex
Question 75.

Answer:
(a) \(y\left(1+x^{2}\right)=c+\tan ^{-1} x\)