Bihar Board 12th Maths VVI Objective Questions Model Set 2 in English

Bihar Board 12th Maths Objective Questions and Answers

Bihar Board 12th Maths VVI Objective Questions Model Set 2 in English

Question 1.
Bihar Board 12th Maths VVI Objective Questions Model Set 2 in English Q1
Answer:
(b) 1

Question 2.
Bihar Board 12th Maths VVI Objective Questions Model Set 2 in English Q2
Answer:
(b) 1

Question 3.
Bihar Board 12th Maths VVI Objective Questions Model Set 2 in English Q3
Answer:
(b) -2

Question 4.
Bihar Board 12th Maths VVI Objective Questions Model Set 2 in English Q4
Answer:
(c) -1

Question 5.
Bihar Board 12th Maths VVI Objective Questions Model Set 2 in English Q5
Answer:
(d) -(x3 + y3)2

Question 6.
Bihar Board 12th Maths VVI Objective Questions Model Set 2 in English Q6
Answer:
(c) a + c = -1, b ∈ R

Question 7.
Bihar Board 12th Maths VVI Objective Questions Model Set 2 in English Q7
Answer:
(c) \(-\frac{1}{2}\)

Question 8.
Bihar Board 12th Maths VVI Objective Questions Model Set 2 in English Q8
(a) continuous at every x except x = 0
(b) discontinuous at every x except x = 0
(c) continuous everywhere
(d) discontinuous everywhere
Answer:
(b) discontinuous at every x except x = 0

Question 9.
Bihar Board 12th Maths VVI Objective Questions Model Set 2 in English Q9
(a) continuous at x = 1
(b) differentiable at x = 1
(c) continuous at x = -3
(d) All of these
Answer:
(d) All of these

Question 10.
If \(f(x)=\frac{\sqrt{4+x}-2}{x}\), x ≠ 0 be continuous at x = 0, then f(0) =
(a) \(\frac{1}{2}\)
(b) \(\frac{1}{4}\)
(c) 2
(d) \(\frac{3}{2}\)
Answer:
(b) \(\frac{1}{4}\)

Question 11.
Moving along the x-axis there are two points with x = 10 + 6t, x = 3 + t2. The speed with which they are reaching from each other at the time of encounter is (x is an cm and t is in seconds)
(a) 16 cm/s
(b) 20 cm/s
(c) 8 cm/s
(d) 12 cm/s
Answer:
(c) 8 cm/s

Question 12.
A particle is moving along the curve x = at2 + bt + c. If ac = b2, then particle would be moving with uniform
(a) rotation
(b) velocity
(c) acceleration
(d) retardation
Answer:
(c) acceleration

Question 13.
The distance ‘s’ metres covered by a body in t seconds, is given by s = 3t2 – 8t + 5. The body will stop after
(a) 1 s
(b) \(\frac{3}{4}\) s
(c) \(\frac{4}{3}\) s
(d) 4 s
Answer:
(c) \(\frac{4}{3}\) s

Question 14.
The position of a point in time ‘t’ is given by x = a + bt – ct2, y = at + bt2. Its acceleration at time ‘t’ is
(a) b – c
(b) b + c
(c) 2b – 2c
(d) \(2 \sqrt{b^{2}+c^{2}}\)
Answer:
(d) \(2 \sqrt{b^{2}+c^{2}}\)

Question 15.
The function f(x) = log (1 + x) – \(\frac{2 x}{2+x}\)
(a) (-1, ∞)
(b) (-∞, 0)
(c) (-∞, ∞)
(d) None of these
Answer:
(a) (-1, ∞)

Question 16.
Bihar Board 12th Maths VVI Objective Questions Model Set 2 in English Q16
Answer:
(d) loge(10x + x10) + C

Question 17.
Bihar Board 12th Maths VVI Objective Questions Model Set 2 in English 1
Answer:
(a) \(\frac{1}{(\log 2)^{3}} 2^{2^{2^{x}}}+C\)

Question 18.
Bihar Board 12th Maths VVI Objective Questions Model Set 2 in English Q18
Answer:
(b) \(-\frac{\cos ^{4} x}{4}+C\)

Question 19.
Bihar Board 12th Maths VVI Objective Questions Model Set 2 in English Q19
Answer:
(a) \(\frac{-3}{\sqrt[3]{\sin x}}+C\)

Question 20.
Bihar Board 12th Maths VVI Objective Questions Model Set 2 in English Q20
Answer:
(b) \(-\frac{3}{5} \tan ^{5 / 3} x+\frac{3}{11} \tan ^{11 / 3} x+C\)

Question 21.
The area bounded by the curve 2x2 + y2 = 2 is
(a) π sq. units
(b) √2 π sq. units
(c) \(\frac{\pi}{2}\) sq. units
(d) 2π sq. units
Answer:
(b) √2 π sq. units

Question 22.
Area of the ellipse \(\frac{x^{2}}{a^{2}}+\frac{y^{2}}{b^{2}}=1\) is
(a) 4πab sq. units
(b) 2πab sq. units
(c) πab sq. units
(d) \(\frac{\pi a b}{2}\) sq. units
Answer:
(c) πab sq. units

Question 23.
Area of the region bounded by y = |x|, x ≤ 5 in the first quadrant is
(a) \(\frac{11}{2}\) sq. units
(b) \(\frac{17}{2}\) sq. units
(c) \(\frac{25}{2}\) sq. units
(d) \(\frac{27}{2}\) sq. units
Answer:
(c) \(\frac{25}{2}\) sq. units

Question 24.
Determine the area under the curve \(y=\sqrt{a^{2}-x^{2}}\) included between the lines x = 0 and x = a.
(a) \(\frac{\pi a^{a}}{4}\)
(b) \(\frac{\pi a^{3}}{4}\)
(c) \(\frac{\pi a^{2}}{8}\)
(d) None of these
Answer:
(a) \(\frac{\pi a^{a}}{4}\)

Question 25.
The area enclosed by curve \(\frac{x^{2}}{25}+\frac{y^{2}}{16}=1\) is
(a) 10π sq. units
(b) 20π sq. units
(c) 5π sq. units
(d) 4π sq. units
Answer:
(b) 20π sq. units

Question 26.
The order of the differential equation whose general solution is given by
y = (C1 + C2) cos(x + C3) – C4\(e^{x+C_{5}}\)
where C1, C2, C3, C4, C5 are arbitrary constant, is
(a) 5
(b) 4
(c) 3
(d) 2
Answer:
(c) 3

Question 27.
The order of the differential equation whose general solution is given by y = (A + B) cos (x + C) + Dex is
(a) 4
(b) 3
(c) 2
(d) 1
Answer:
(b) 3

Question 28.
Find the magnitude of vector \(3 \hat{i}+2 \hat{j}+12 \hat{k}\)
(a) √157
(b) 4√11
(c) √213
(d) 9√3
Answer:
(a) √157

Direction (29) : Study the given parallelogram and answer the following questions.

Bihar Board 12th Maths VVI Objective Questions Model Set 2 in English Q29

Question 29.
Which of the following represents equal vectors?
(a) a, c
(b) b, d
(c) b, c
(d) m, d
Answer:
(b) b, d

Question 30.
The cosines of the angle between any two diagonals of a cube is
(a) \(\frac{1}{3}\)
(b) \(\frac{1}{2}\)
(c) \(\frac{2}{3}\)
(d) \(\frac{1}{\sqrt{3}}\)
Answer:
(a) \(\frac{1}{3}\)

Question 31.
Which of the following is false?
(a) 30°, 45°, 60° can be the direction angles of a line is space.
(b) 90°, 135°, 45° can be the direction angles of a line is space.
(c) 120°, 60°, 45° can be the direction angles of a line in space.
(d) 60°, 45°, 60° can be the direction angles of a line in space.
Answer:
(a) 30°, 45°, 60° can be the direction angles of a line is space.

Question 32.
The optimal value of the objective function is attained at the points
(a) on X-axis
(b) on Y-axis
(c) which are corner points of the feasible region
(d) none of these
Answer:
(c) which are corner points of the feasible region

Question 33.
Which one of the following is the order of the differential equation \(\frac{d^{2} y}{d x^{2}}+x^{3}\left(\frac{d y}{d x}\right)^{2}=x^{4}\)?
(a) 1
(b) 2
(c) 3
(d) 0
Answer:
(b) 2

Question 34.
If two events A and B area such that P(\(\bar{A}\)) = 0.3, P(b) = 0.4 and \(P(B | A \cup \bar{B})=\)
(a) \(\frac{1}{2}\)
(b) \(\frac{1}{3}\)
(c) \(\frac{2}{5}\)
(d) \(\frac{1}{4}\)
Answer:
(d) \(\frac{1}{4}\)

Question 35.
If E and F are events such that 0 < P(F) < 1, then
(a) P(E|F) + P(\(\bar{E}\)|F) = 1
(b) P(E|F) + P(E|\(\bar{F}\)) = 1
(c) P(\(\bar{E}\)|F)+ P(E|\(\bar{F}\)) = 1
(d) P(E|\(\bar{F}\)) + P(\(\bar{E}\)|F) = 0
Answer:
(a) P(E|F) + P(\(\bar{E}\)|F) = 1

Question 36.
Let R be a relation in N defined by R= {(1 + x, 1 + x2) : x ≤ 5, x ∈ N). Which of the following is false?
(a) R = {(2, 2), (3, 5), (4, 10), (5, 17), (6, 25)}
(b) Domain of R = (2, 3, 4, 5, 6)
(c) Range of R = {2, 5, 10, 17, 26}
(d) None of these
Answer:
(a) R = {(2, 2), (3, 5), (4, 10), (5, 17), (6, 25)}

Question 37.
The relation R = {(1, 1), (2, 2), (3, 3), (1, 2), (2, 3), (1, 3)} on set A = {1, 2, 3} is
(a) Reflexive but not symmetric
(b) Reflexive but not transitive
(c) Symmetric and transitive
(d) Neither symmetric nor transitive
Answer:
(a) Reflexive but not symmetric

Question 38.
Let P = {(x, y) | x2 + y2 = 1, x, y ∈ R}. Then, P is
(a) Reflexive
(b) Symmetric
(c) Transitive
(d) Anti-symmetric
Answer:
(b) Symmetric

Question 39.
For real numbers x and y. we write xRy ⇔ x – y + √2.
(a) Reflexive
(b) Symmetric
(c) Transitive
(d) None of these
Answer:
(a) Reflexive

Question 40.
Let L denote the set of all straight lines in a plane. Let a relation R be defined by αRβ ⇔ α ⊥ β, α, β ∈ L. Then, R is
(a) Reflexive only
(b) Symmetric only
(c) Transitive only
(d) None of these
Answer:
(b) Symmetric only

Question 41.
Bihar Board 12th Maths VVI Objective Questions Model Set 2 in English Q41
Answer:
(b) \(\frac{\pi}{3}\)

Question 42.
Bihar Board 12th Maths VVI Objective Questions Model Set 2 in English Q42
Answer:
(b) \(\frac{\pi}{3}\)

Question 43.
Bihar Board 12th Maths VVI Objective Questions Model Set 2 in English Q43
Answer:
(a) \(\frac{\pi}{4}\)

Question 44.
Bihar Board 12th Maths VVI Objective Questions Model Set 2 in English Q44
Answer:
(b) \(\frac{3 \pi}{4}\)

Question 45.
Bihar Board 12th Maths VVI Objective Questions Model Set 2 in English Q45
Answer:
(d) \(\frac{2 \pi}{3}\)

Question 46.
If \(\left[\begin{array}{ll}
x+y & 2 x+z \\
x-y & 2 z+w
\end{array}\right]=\left[\begin{array}{cc}
4 & 7 \\
0 & 10
\end{array}\right]\), then the values of x, y, z and w respectively are
(a) 2, 2, 3, 4
(b) 2, 3, 1, 2
(c) 3, 3, 0, 1
(d) None of these
Answer:
(a) 2, 2, 3, 4

Question 47.
If \(\left[\begin{array}{cc}
a+b & 2 \\
5 & a b
\end{array}\right]=\left[\begin{array}{cc}
6 & 2 \\
5 & 8
\end{array}\right]\), then find the values of a and b respectively
(a) 2, 4
(b) 4, 2
(c) Both (a) & (b)
(d) None of these
Answer:
(c) Both (a) & (b)

Question 48.
For what values of x and y are the following matrices equal?
Bihar Board 12th Maths VVI Objective Questions Model Set 2 in English Q48
(a) 2, 3
(b) 3, 4
(c) 2, 2
(d) 3, 3
Answer:
(c) 2, 2

Question 49.
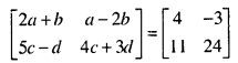
Find the values of a, b, c and d respectively if
Bihar Board 12th Maths VVI Objective Questions Model Set 2 in English Q49
(a) 1, 3, 9, 8
(b) 1, 2, 3, 4
(c) 1, 4, 8, 10
(d) 1, 5, 6, 7
Answer:
(b) 1, 2, 3, 4

Question 50.
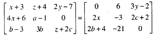
Bihar Board 12th Maths VVI Objective Questions Model Set 2 in English 2
then find the values of a, b, c, x, y and z respectively.
(a) -2, -7, -1, -3, -5, 2
(b) 2, 7, 1, 3, 5, -2
(c) 1, 3, 4, 2, 8, 9
(d) -1, 3, -2, -7, 4, 5
Answer:
(a) -2, -7, -1, -3, -5, 2