Bihar Board 12th Physics Model Papers
Bihar Board 12th Physics Model Question Paper 2 in English Medium
Objective Type Questions
There are 1 to 35 objective type questions with 4 options. Choose the correct option which is to be answered on OMR Sheet. (35 x 1 = 35)
![]()
Question 1.
64 identical small drops combine to form a big drop. Calculate the capacity of big drop if capacity of each small drop is 5mF.
(a) 164 μF (b) 20 μF (c) 4 μF (d) 2n μF
Answer:
(b) 20 μF
Question 2.
The potential of A is 10 volt. The current flowing in the earth will be

(a) 10 ampere (b) 30 ampere (c) – 10 ampere (d) 0 ampere
Answer:
(a) 10 ampere
Question 3.
The force experienced by charged particle in mag netic field is
(a) F = qVB
(b) F = qVB sinθ
\((c) F=\frac{q}{\sqrt{B}}
(d) \quad F=\frac{V B \sin \theta}{q}\)
Answer:
(b) F = qVB sinθ
![]()
Question 4.
Which is not the unit of electric power?
(a) Watt (b) Ampere x Volt (c) Ampere2/ohm (d) Ampere 2/ohm
Answer:
(c) Ampere2/ohm
Question 5.
I Stat Coulomb is equal to Coulombs
(a) 3 x 109
(b) 3 x 10-9
(c) \(\frac{1}{5} \times 10^{9}\)
(d) \(\frac{1}{3} \times 10^{-9}\)
Answer:
(d) \(\frac{1}{3} \times 10^{-9}\)
Question 6.
Two cell having emf E1, internal resistance r is joined in parallel with resistance R. The power gives to resistance maximum if
(a) R = r/2
(b) R = r
(c) R = 2r
(d) R = 0
Answer:
(a) R = r/2
![]()
Question 7.
The resistance of ammeter is 0.05 W is joined with 1.5 V cell. If the current passes from circuit is 2A then internal resistance of cell is
(a) 1.0 Ω (b) 0.9 Ω (c) 0.8 Ω (d) 0.7 Ω
Answer:
(d) 0.7 Ω
Question 8.
Which substance is useful to make strong electro-magnet?
(a) air (b) soft iron (c) steal (d) alloy of copper & nickel
Answer:
(b) soft iron
Question 9.
Hysteresis shows
(a) paramagnetic substance (b) diamagnetic substance (c) ferromagnetic susbtance (d) None of these
Answer:
(b) diamagnetic substance
Question 10.
A°C. source is joined with L.C.R. circuit of angular frequency w. The peak value of current is

Answer:
(c)
Question 11.
The unit of impedance is
(a) mho (b) Ohm (c) Faraday (d) Ampere
Answer:
(b) Ohm
![]()
Question 12.
Self inductance of coil measures
(a) electrical inertia (b) electrical friction (c) induced emf (d) induced current
Answer:
(a) electrical inertia
Question 13.
A charged particle moves in uniform magnetic field. If the velocity of particle makes acute angle with magnetic field the path of particle is
(a) Rectilinear (b) Circular (c) Spiral (d) None of these
Answer:
(c) Spiral
Question 14.
The relation b/w electric field and magnetic field in the electromagnetic wave

Answer:
(a)
Question 15.
Maximum intensity in Young’s double slit experiment is Io. If one of will be the slit is closed then intensity

Answer:
(b)
![]()
Question 16.
Dynamo works on the principle
(a) on the Heating effect of current
(b) on electromagnetic induction
(c) on magnetic induction
(d) on electric induction
Answer:
(b) on electromagnetic induction
Question 17.
In a step up Transformer the number of coils in primary coils is N1 and N2 is secondary. Then
(a) N1 = N2 (b) N1 < N2 (c) N1 > N2 (d) None of these
Answer:
(b) N1 < N2
Question 18.
After increasing the angle of biprism, the fringe width
(a) Increases (b) Decreases (c) Remains constant (d) Indefinite
Answer:
(b) Decreases
Question 19.
If the wave length of light is A, and intensity of diffractive length is I then

Answer:
(c)
![]()
Question 20.
The phase difference between two waves for constructive interference is
(a) 0 (b) π (c) π/2 (d) 3π/4
Answer:
(b) π
Question 21.
Two convex lens are kept in contact. The equivalent lens is
(a) convex (b) concave (c) piano concave (d) 1 cylindrical
Answer:
(a) convex
Question 22.
The length of tube of simple microscope increases, then its magnifying power
(a) Increases (b) Decreases (c) Becomes zero (d) Remains constant
Answer:
(a) Increases
Question 23.
The energy of photon is
\((a) hv
(b) \frac{h v}{c}
(c) \mathrm{h} / \mathrm{v}
(d) \frac{v}{h}\)
Answer:
(b)
![]()
Question 24.
The sun obtaines radiant energy with
(a) Nuclear fission (b) Nuclear disintegration (c) Chemical reaction in nuclei (d) Nuclear fusion
Answer:
(d) Nuclear fusion
Question 25.
The energy of electron is proportive in z atomic number
(a) z (b) z2 (c) z-1 (d) z-2
Answer:
(b) z2
Question 26.
The force between two proton inside the nucleus is
(a) only electrical (b) only nuclear (c) both (d) None of these
Answer:
(c) both
Question 27.
The process in which monochromatic, parallel and highly coherent light are obtained, is called
(a) LASER (b) MASER (c) RADAR (d) Antenna
Answer:
(a) LASER
Question 28.
The Dimension of Rydberg is constant
(a) [M° L-1 T°] (b) [M°L°T-1] (c) [M° LF-1] (d) [ML2 T-1]
Answer:
![]()
Question 29.
Solar cell is used in
(a) Artificial satellite (b) On the moon (c) Mars (d) None of these
Answer:
(a) Artificial satellite
Question 30.
A transistor behaves as a switch
(a) In Active region (b) cut off state (c) s (d) b and c both
Answer:
(d) b and c both
Question 31.
A uniform magnetic field is obtained in
(a) A bar magnet (b) A horse-shoe magnet (c) A circular coil carrying current (d) A cylindrical coil carrying a current.
Answer:
(b) A horse-shoe magnet
Question 32.
Boolean expression of AND gate is
(a) \(\overline{A \cdot B}=y\) (b) A + B = y (c) A – B = y (d) A + B = y
Answer:
(c)
![]()
Question 33.
In long-distance radio-broadcast short wave bands are used because
(a) Ionosphere reflects these (b) Ionosphere transmits these (c) Ionosphere absorbs these (d) None of these
Answer:
(a) Ionosphere reflects these
Question 34.
The process which works as modulator and de-modulator is called
(a) Laser (b) RADAR (c) Modem (d) Fax
Answer:
(c) Modem
Question 35.
The message superposed on carrier wave is called
(a) Transmission (b) Modulation (c) Demoduletion (d) Transducer
Answer:
(b) Modulation
Non-Objective Type Questions
Short Answer Type Questions
Q.No. 1 to 18 are short answers type question. Each question carries 2 marks. Answer any ten (10) question.
Question 1.
What is surface density of charge? Write its S.I. unit.
Answer:
The amount of electric charge per unit surface area is called surface density of charge.
It is denoted by σ.
\(\sigma=\frac{Q}{A}\)
The S.I. Unit of surface density of charge is Coulomb/m2.
Question 2.
A electric dipole is placed in electric field 4 x 104 volt/m making an angle 30°. The torque 1.6 x 10-25 Nm volt m the dipole. Calculate electric dipole moment.
Answer:

![]()
Question 3.
Write the uses of Cyclotrons.
Answer:
There are many uses of cyclotrons :
- Cyclotrons are used to treat cancer.
- Ion Beams from cyclotrons can be used, are in proton therapy, to penetrate the body and kill tumors by radiation damage.
- Cyclotrons are used to achieve required velocity of a bombarding particle in nuclear reaction.
Question 4.
What is Shunt?
Answer:
A Shunt is a low resistance wire which allows electric current to pass around another point in the circuit by creating a low resistance path.
It is added in parallel with Galvanometer.
Question 5.
What is ampere’s circuited law with expression?
Answer:
It states that the line integral of magnetic field
\(\overrightarrow{(B)}\) around any closed path are, circuit is equal to p0 times of total current (I) threading the closed circuit.
![]()
where, μ0 = permeability of free space.
![]()
Question 6.
Why core of transformer is laminated ?
Answer:
The wire of transformer is laminated so as to reduce loss of energy due to eddy currents. The magnitude and eddy currents set up is considerably minimised when the core is laminated.
Question 7.
What are the properties of electro-magnetic wave ?
Answer:
- These wave does not need material medium for propagation.
- These wave obeys principle of superposition of charge.
- These wave moves in vacuum or in air with velocity of light.
\(\frac{1}{\sqrt{\mu_{0} \varepsilon_{0}}} \geq C=3 \times 10^{8} \mathrm{m} / \mathrm{s}\) - The ratio of amplitude of electric field and magnetic field remains constant and it is equal to velocity of light.
\(\frac{E}{B}=C\)
Question 8.
A uniform magnetic field gets modified as shown in the figure, when two specimens X and Y are placed in it.

(i) Identify the two specimensx andy.
(ii) State the reason for modification of the field lines in x andy.
Answer:
- X is diamagenetic and Y is ferromagnetic.
- Diamagnetic materials have permeabilities less than I (one) and have negative susceptibility. Their atoms and molecules do not have permanent dipole moment. The field lines get expelled in them. Ferromagnetic materials have permeability more than one and susceptibility positive. Their atoms and molecules have permanent dipole moment. So the field lines get concentrated in them.
![]()
Question 9.
What is the importance of radial magnetic field in moving coil Galvanometer ?
Answer:
When the magnetic field is made radial by using a field magnet with concave poles, the plane of coil always remains parallel to the direction of magnetic field. Due to this, the galvanometer scale becomes linear.
Question 10.
Why does the colour of the oil film on the surface of water continuously changes ?
Answer:
The location of bright and dark fringes produced by thin oil films depends upon the thickness of the film. The thickness of oil film on the surface of water continuously varies and as a result, the position of coloured fringes also varies. This appears as a variation in the colour of oil films.
Question 11.
Two coherent sources whose intensity ratio is 25 : 4 produces interference fringes. Calculate the ratio of intensity of maxima and minima in the fringe system.
Answer:


Question 13.
Write logic symbol and truth table of NOR
Answer:
Symbol.

![]()
Question 14.
Write two characteristics of LASER rays.
Answer:
- It is highly directional with parallel beam.
- It is monochromatic and coherent.
Question 15.
What do you mean by analog and digital signal.
Answer:
Analog signal :
It is an electrical wave form continuously changing in magnitude with time.

Digital signalI :
is a discontinuous and decrease signal having only binary variation between 1 and 0 with time.

Question 16.
Show that de-Broglie wave length of electron of energy E is given by relation
\(\lambda=\frac{h}{\sqrt{2 m E}}\)
(b) Why is the belt of Vandergrift Generator made of insulating material ?
Answer:
Consider that an electron of mass m and charge e is accelerated through a potential difference V. If E is the energy, then
![]()

(b) Belt of a Vandegrift generator is made of insulating material because the charge it receives remain fixed on its surface and carries upto the dome.
Question 17.
What are the differences between polarised and unpolarised light.
Answer:
Polarised light:
- The light waves that have vibration occuring within them in a single plane.
- Only takes place with the help of sunlight.
Unpolorised light:
- The light waves that have vibration occuring within them of random angles without any plane.
- Reflection is scattering or travel through a material that can cause polarisation.
Question 18.
Define half life, mention the relation between half life and decay constant.
Answer:
Half Life :
The half life of a radioa ctive is the time in which the no. of radio active atoms of the substance is reduced to half of its original value.
Relation :
We know that λ + N = N0e-λ

![]()
Long Answer Type Questions
Q.No. 19 to 24 are long answers type question. Each question of this category carries 5 marks. Answer any three (3) question. (3 x 5 = 15)
Question 19.
What is capacitor? Find the expression for equivalent capacity when three capacitor are joined in series.
Answer:
Capacitor :
The artificial arrangement of conductor in which capacity of conductor increases by decreasing potential.
Expression for equivalent capacity

Let A1 B1, A2 B2 and A3 B3 are three capacitor grouped in series whose capacity are C1, C2 and C3 respectively.
In the series grouping charge is same on all capacitor but potential is different. Its V1, V2 and V3 are potentials then

Thus in series grouping, reciprocal of equivalent capacity is equal to algebraic sum of reciprocals of individual capacity.
Question 20.
Explain how the average velocity of free electrons in the metal at constant temperature, in an electric field remains constant even though the electrons are being constantly accelerated by this electric field.
Answer:
Consider a metallic conductor XY of length / and cross-sectional area A. A potential difference V is applied across the conductor XT. Due to this potential difference in electric field \(\vec{E}\) is produced in the conductor. The magnitude of electric field strength \(E=\vec{l}\) and its direction is from Y to X. This electric field exerts a force on free electrons; due to which electrons are accelerated.

The electric force on electron \(\vec{F}=-e \vec{E}\) (where e = + 1.5 x 10-9 coulomb).
![]()
If m is the mass of electron, then its acceleration
\(\vec{a}=\frac{\vec{F}}{m}=-\frac{e \vec{E}}{m}\) ……………….. (i)
This acceleration remains constant only for a very short duration, since there are random forces which deflect the electron in random manner. These deflections may arise due to
- ions of metallic crystal vibrate simple narratically around their mean positions. Different ions vibrate in different directions and may be displaced by different amounts.
- direct collisions of electrons with atoms of metallic crystal lattice.
- In any way after a short duration it called relaxation time the motion of electrons become random.
Thus, we can imagine that the electrons are accelerated only for a short duration. As average velocity of random motion is zero, if we consider the average motion of an electron. Then its initial velocity is zero, so the velocity of electron after time τ (i.e., drift velocity \(\vec{y}\) (d) is given by the relation.

At given temperature, the relaxation time τ remains constant, so drift velocity remains constant.
Question 21.
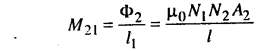
What do you mean by mutual inductance of two nearby coils ? Find an expression for Mutual Inductance of two co-exial solenoid.
Answer:
When current flowing in one of two nearby coil is changed, the magnetic flux linked with the other coil changes; due to which an emf is induced in it (other coil). This phenemenon of electromagnetic induction is called the mutual induction. The coil, in which current is changed is called the primary coil and the coil in which emf is induced is called the secondary coil.
The S.I. unit of mutual inductnace is Henry.
![]()
Mutual Inductance :
Suppose there are two coils C1 and C2. The current l1 is flowing in primary coil C1 due to which an effective magnetic flux Φ2 is linked with secondary coil C2. By experiments
\(\Phi_{2} \propto I_{1} \text { or } \Phi_{2}=M l_{1}\) ……………….(i)
where M is a constant, and is called the coefficient of mutual induction or mutual inductance.

From (i)
\(\begin{aligned}
&M=\frac{\phi_{2}}{I_{1}}\\
&\text { If } I_{1}=\text { ampere, } M=\phi_{2}
\end{aligned}\)
i.e., the mutual inductance between two coils is numerically equal to the effective flux linked with secondary coil when current flowing in primary coil is ampere.
Mutual Inductance of Two Co-axial Solenoids :
Consider two long co-axial solenoid each of length l with number of turns Nx and N2 wound one over the other. Number of turns per unit length in order (primary) solenoid,
\(n=\frac{N_{1}}{l}\). If l1, is the current flowing in primary solenoid, the magnetic field produced with this solenoid.
\(B_{1}=\frac{\mu_{0} N_{1} l_{1}}{l}\) …………………… (ii)
The flux linked with each turn of inner solenoid coil is Φ2 = B1 A2. where A2 is the cross-sectional area of inner solenoid. The total flux linkage with inner coil of N2-turns.

By definition Mutual Inductance,

If n1 is number of turns per unit length of outer solenoid and r2 is radius of inner solenoid, then M = μ0n N2πr22.
![]()
Question 22.
Derive expression for self inductance of a long air-cored solenoid of length l, cross-sectional area A and having number of turns N.
Answer:
Self Inductance of a long air-cored solenoid :
Consider a long air solenoid having’ri number of turns per unit length. If current in solenoid is /, then magnetic field within the solenoid,
B = μ0nl ………………(i)
where μ0 = 4π x 10-7 Henry/metre is the permeability of free space.
If A is cross-sectional area of solenoid then effective flux linked with solenoid or length T : Φ = NBA where N = ill is the number of turns in length l of solenoid.

![]()
Remark :
If solenoid contains a core of ferromagnetic substance of relative permeability μ0 then self inducatance,
\(L=\frac{\mu_{r} \mu_{0} N^{2} A}{l}\)
Question 23.
Define Alternating Current. Establish the relation between mis value of virtual value and peak value of alternating current.
Answer:
Alternating current (A.C.)-The current in the coil flows in one direction and for the other half of the period. The current flows in the reverse direction. Such a current is called the alternating current, or A.C. It is shown in following graph.
It is given by l = l0 (ωt + Φ)
where l0 = current amplitude
t = time period
\(\omega=\frac{2 \pi}{T}\)
- Peak value-/0 is called peak value of Alternating current.
- Root mean square value of AC (RMS)-RMS value is also called virtual value of effective value of AC is that steady current which would produce some heat in given resistance in given time as is done by the alternating current when passed through the same resistance for the same time.
Let the Alternating current, T = l0 sin ωt
Let dθ be the heat produced by this current in resistance R is an infinitesimally small dt.
![]()
Then dθ= I2 Rclt
The total quantity of heat produced over one complete cycle of alternating current is given by

![]()
The virtual value of alternating current is 0.707 times the peak value of alternating current.
Question 24.
Verify the law of reflection on the basis of Hygienic wave theory of light.
Verification of law of reflection on the basis of wave theory.
Answer:
Let XY be reflecting surface and PA be a plane wave front just incident on the surface. The normals LA and MP to the wave point represents incident rays. If AN is normal to the reflecting surface at a then ∠NAL = i.

The plane wave point reaches at point A and P’ Later in time but in this order. So that it will reach point P in the lost. When the disturbance from point P just reachs point P1 on the reflecting surface, the secondary wavelets from point A on one reflecting surface will grow into sphere of radius AA’ such that AA’ = PP.
Consider any point Q on the incident wave front, Suppose that when disturbance from point P on incident wave front reaches P\ the disturbance from point Q reaches Q’ via point K on the reflecting surface. Since, P’A’ represents the reflected wave front, the time taken by light to travel from any point on incident wave front to the corresponding point. If C is the velocity of light, then time taken by light to go from point Q to Q’ is given by

![]()
For rays different points on the incident wave front, the value Q AK are different. The rays from different points on incident wave point will take some time to reach the corresponding points on the reflected wave points. If t given by eq”, (ii) is independent of AK. It follows that
AK (sin i – sin r) should be zero
sin i = sin r = 0
sin i = sin r
i = r
The angle of incidence = Angle of reflection.