Bihar Board 12th Physics Objective Questions and Answers
Bihar Board 12th Physics Objective Answers Chapter 1 Electric Charges and Fields
Physics 12th Chapter 1 Objective Bihar Board Question 1.
Object may acquire an excess or deficiency of charge by
(a) electric force
(b) heating
(c) shaking
(d) by rubbing
Answer:
(d) by rubbing
Objective Questions On Electric Charges And Fields Bihar Board Question 2.
The charge on an electron was calculated by
(a) Faraday
(b) J.J. Thomson
(c) Millikan
(d) Einstein
Answer:
(c) Millikan
Objective Questions On Electrostatics Class 12 Bihar Board Question 3.
A method for charging a conductor without bringing a charged body in contact with it is called
(a) Magnetization
(b) Electrification
(c) Electrostatic induction
(d) Electromagnetic induction
Answer:
(c) Electrostatic induction
Class 12 Physics Chapter 1 Bihar Board Question 4.
The number of electrons present in -1 C of charge is
(a) 6 × 1018
(b) 1.6 × 1019
(c) 6 × 1019
(d) 1.6 × 1018
Answer:
(a) 6 × 1018
Electric Charges And Fields Class 12 Questions Bihar Board Question 5.
A cup contains 250 g of water. Find the total positive charges present in the cup of water.
(a) 1.34 × 1019 C
(b) 1.34 × 107 C
(c) 2.43 × 1019 C
(d) 2.43 × 107 C
Answer:
(d) 2.43 × 107 C
Solution:
Mass of water = 250 g,
Molecular mass of water = 18 g
Number of molecules in 18 g of water = 6.02 × 1023
Number of molecules in one cup of water
= \(\frac{250}{18} \times 6.02 \times 10^{23}\)
Each molecule of water contains two hydrogen atoms and one oxygen atom, i.e., 10 electrons and 10 protons.
∴ Total positive charge present in one cup of water
= \(\frac{250}{18}\) x 6.02 x 1023 × 10 × 1.6 × 10-19C
= 1.34 × 107C
Electric Charges And Fields Class 12 Solutions Bihar Board Question 6.
The constant k in Coulomb’s law depends on
(a) nature of medium
(b) system of units
(c) intensity of charge
(d) both (a) and (b)
Answer:
(a) nature of medium
Electric Charges And Fields Class 12 Numericals Bihar Board Question 7.
Which of the following statement is not a similarity between electrostatic and gravitational forces ?
(a) Both forces obey inverse square law.
(b) Both forces operate over very large distances.
(c) Both forces are conservative in nature.
(d) Both forces are attractive in nature always.
Answer:
(d) Both forces are attractive in nature always.
Electric Charges And Fields Important Questions Bihar Board Question 8.
SI unit of permittivity of free space is
(a) Farad
(b) Weber
(c) C2 N-1m-2
(d) C2 N-1m-1
Answer:
(c) C2 N-1m-2
Physics Class 12 Chapter 1 Questions And Answers Bihar Board Question 9.
The force between two small charged spheres having charges of 1 × 10-7 C and 2 × 10-7 C placed 20 cm apart in air is
(a) 4.5 × 10-2 N
(b) 4.5 × 10-3 N
(c) 5.4 × 10-2 N
(d) 5.4 × 10-3 N
Answer:
(b) 4.5 × 10-3 N
Solution:

Questions On Coulomb’s Law For Class 12 Bihar Board Question 10.
The ratio of magnitude of electrostatic force and gravitational force for an electron and a proton is
(a) 6.6 × 1039
(b) 2.4 × 1039
(c) 6.6 × 1029
(d) 2.4 × 1029
Answer:
(b) 2.4 × 1039
Electric Charge And Electric Field Questions And Answers Bihar Board Question 11.
Consider the charges q, +q and -q placed at the vertices of an equilateral triangle of each side l. The sum of forces acting on each charge is

Answer:
\(\frac{\mathrm{q}^{2}}{4 \sqrt{2} \pi \varepsilon_{0} \ell^{2}}\)
Electric Charge And Field Important Question Bihar Board Question 12.
A charge Q is placed at the centre of the line joining two point charges +q and +q as shown in Figure. The ratio of charges Q and q is

(a) 4
(b) 1/4
(c) -4
(d) -1/4
Answer:
(d) -1/4
Solution:

Bihar Board Solution Class 12th Physics Bihar Board Question 13.
The force per unit charge is known as
(a) electric flux
(b) electric field
(c) electric potential
(d) electric current
Answer:
(b) electric field
Class 12 Physics Chapter 1 Objective Questions Bihar Board Question 14.
The dimensional formula of electric intensity is
(a) [M1L1T3A-1]
(b) [M1L1T-3A-1]
(c) [M1L2T-3A-1]
(d) [M1L2T1A1]
Answer:
(c) [M1L2T-3A-1]
Electric Charge And Field Objective Question Bihar Board Question 15.
If the charge on an object is doubled then electric field becomes
(a) half
(b) double
(c) unchanged
(d) thrice
Answer:
(b) double
12th Physics Chapter 1 Bihar Board Electric Charges and Fields Question 16.
A force of 2.25 N acts on a charge of 15 × 10-4 C. The intensity of electric field at that point is
(a) 150NC-1
(b) 15NC-1
(c) 1500 NC-1
(d) 1.5NC-1
Answer:
(c) 1500 NC-1
Electric Charges And Fields Important Questions With Answers Bihar Board Question 17.
The electric field that can balance a charged particle of mass 3.2 × 10-27 kg is (Given that the charge on the particle is 1.6 × 10-19 C)
(a) 19.6 × 10-8 N C-1
(b) 20 × 10-6 N C-1
(c) 19.6 × 108 N C-1
(d) 20 × 106 N C-1
Answer:
(a) 19.6 × 10-8 N C-1
Solution:
(a) Here, m = 3.2 × 10-27 kg, e = 1.6 × 10-19 C, g = 9.8 m s-2

Physics Class 12 Chapter 1 Objective Questions Bihar Board Question 18.
Electric field lines provide information about
(a) field strength
(b) direction
(c) nature of charge
(d) all of these
Answer:
(d) all of these
Question 19.
A non-uniform electric field is represented by the diagram. At which of the following points the electric field is greatest in magnitude ?

(a) A
(b) B
(c) C
(d) D
Answer:
(d) D
Question 20.
Which of the following statements is not true about electric field lines ?
(a) Electric field lines start from positive charge and end at negative charge.
(b) Two electric field lines can never cross each other.
(c) Electrostatic field lines do not form any closed loops.
(d) Electric field lines cannot be taken as continuous curve.
Answer:
(d) Electric field lines cannot be taken as continuous curve.
Question 21.
The SI unit of electric flux is
(a) N C-1 m2
(b) N C m-2
(c) N C-2 m2
(d) N C-1 m-2
Answer:
(a) N C-1m2
Question 22.
The dimensional formula of electric flux is
(a) [M1L1T-2]
(b) [M1L3T-3A-1]
(c) [M2L2T-2A-2]
(d) [M1L-3T3A1]
Answer:
(b) [M1L3T-3A-1]
Question 23.
The unit of electric dipole moment is
(a) newton
(b) coulomb
(c) farad
(d) debye
Answer:
(d) debye
Question 24.
The surface considered for Gauss’s law is called
(a) Closed surface
(b) Spherical surface
(c) Gaussian surface
(d) Plane surface
Answer:
(c) Gaussian surface
Question 25.
A sphere encloses an electric dipole within it. The total flux across the sphere is
(a) zero
(b) half that due to a single charge
(c) double that due to a single charge
(d) dependent on the position of dipole.
Answer:
(a) zero
Question 26.
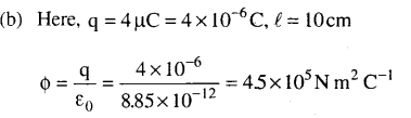
A point charge 4 µC is at the centre of a cubic Gaussian surface 10 cm on edge. Net electric flux through the surface is
(a) 2.5 × 105 N m2 C-1
(b) 4.5 × 105 N m2 C-1
(c) 4.5 × 106 N m2 C-1
(d) 2.5 × 106 N m2 C-1
Answer:
(b) 4.5 × 105 N m2 C-1
Solution:

Question 27.
The total flux through the faces of the cube with side of length a if a charge q is placed at corner A of the cube is

Answer:
(b) \(\frac{\mathrm{q}}{8 \varepsilon_{0}}\)
Solution (a) In the figure, when a charge q is placed at comer A of the cube, it is being shared equally by 8 cubes.
∴The total flux through the faces of the given cube = \(\frac{q}{8 \varepsilon_{0}}\)
Question 28.
Two infinite plane parallel sheets, separated by a distance d have equal and opposite uniform charge densities σ. Electric field at a point between the sheets is
(a) \(\frac{\sigma}{2 \varepsilon_{0}}\)
(b) \(\frac{\sigma}{\varepsilon_{0}}\)
(c) zero
(d) depends on the location of the point
Answer:
(b) \(\frac{\sigma}{\varepsilon_{0}}\)
Question 29.
Figure shows electric field lines in which an electric dipole \(\vec{D}\) is placed as shown. Which of the following : statements is correct?

(a) The dipole will not experience any force.
(b) The dipole will experience a force towards right.
(c) The dipole will experience a force towards left.
(d) The dipole will experience a force upwards.
Answer:
(c) The dipole will experience a force towards left.
Question 30.
A hemisphere is uniformly charged positively. The electric field at a point on a diameter away from the centre is directed
(a) perpendicular to the diameter
(b) parallel to the diameter
(c) at an angle tilted towards the diameter
(d) at an angle tilted away from the diameter
Answer:
(a) perpendicular to the diameter