Bihar Board 12th Physics Objective Questions and Answers
Bihar Board 12th Physics Objective Answers Chapter 1 वैद्युत आवेश तथा क्षेत्र
प्रश्न 1.
वस्तु किस प्रकार से आवेश की अधिकता या कमी को प्राप्त कर सकती है ?
(a) विद्युत बल
(b) गर्म करके
(c) हिलाकर
(d) रगड़कर
उत्तर-
(d) रगड़कर
![]()
प्रश्न 2.
किसी इलेक्ट्रॉन पर आवेश की गणना किसके द्वारा की गई थी?
(a) फैराडे
(b) जे. जे. थॉमसन
(c) मिलिकन
(d) आइन्स्टीन
उत्तर-
(c) मिलिकन
प्रश्न 3.
कोई वस्तु तब आवेशित होती है जब इसका आवेश असंतुलित हो, जिसका अर्थ है –
(a) वस्तु में प्रोटीन नहीं है।
(b) वस्तु में इलेक्ट्रॉन नहीं है।
(c) वस्तु में इलेक्ट्रॉनों एवं प्रोटॉनों की संख्या बराबर है।
(d) वस्तु में इलेक्ट्रॉनों एवं प्रोटानों की संख्या बराबर नहीं है।
उत्तर-
(d) वस्तु में इलेक्ट्रॉनों एवं प्रोटानों की संख्या बराबर नहीं है।
प्रश्न 4.
किसी चालक के संपर्क में किसी आवेशित पिण्ड को लाए बिना ही आवेशित करने की विधि कहलाती है –
(a) चुम्बकीकरण
(b) विद्युतीकरण
(c) स्थिर विद्युत प्रेरण
(d) विद्युतचुम्बकीय प्रेरण
उत्तर-
(c) स्थिर विद्युत प्रेरण
![]()
प्रश्न 5.
-1C आवेश में उपस्थित इलेक्ट्रॉनों की संख्या है.
(a) 6 × 1018
(b) 1.6 × 1019
(c) 6 × 1019
(d) 1.6 × 1018
उत्तर-
(a) 6 × 1018
प्रश्न 6.
एक कप में 250 ग्राम जल है । जल के कप में उपस्थित धनात्मक आवेशों की संख्या ज्ञात कीजिए।
(a) 1.34 × 1019 C
(b) 1.34 × 107 C .
(c) 2.43 × 1019 C
(d) 2.43 × 107 C
उत्तर-
(b) 1.34 × 107 C .
(b) जल का द्रव्यमान = 250g, जल का आणविक द्रव्यमान = 18g जल के 18 g में अणुओं की संख्या (आवोगाद्रो की संख्या)
= 6.02 × 1023
जल के एक कम में अणुओं की संख्या
= \(\frac{250}{18}\) x 6.02 x 1023
जल के प्रत्येक अणु में दो हाइड्रोजन परमाणु तथा एक ऑक्सीजन परमाणु निहित होते हैं, अर्थात् 10 इलेक्ट्रॉन एवं 10 प्रोटॉन ।।
∴ कुल धनात्मक एवं ऋणात्मक आवेश का परिमाण समान होता है तथा यह है –
= \(\frac{250}{18}\) × 6.02 × 1023 × 10 × 1.6 × 10-19C
= 1.34 × 107 C
![]()
प्रश्न 7.
यदि 109 इलेक्ट्रॉन प्रत्येक सेकण्ड में एक पिण्ड से दूसरे पिण्ड में गति करते हैं, तो दूसरे पिण्ड का कुल आवेश 1C प्राप्त करने के लिए आवश्यक समय होगा –
(a) 250 वर्ष
(b) 100 वर्ष
(c) 198 वर्ष
(d) 150 वर्ष
उत्तर-
(c) 198 वर्ष
(c) एक सेकण्ड में बाहर जाने वाला आवेश = 1.6 × 10-19 C × 109
= 1.6 × 10-10 C
1C आवेश को संचयित करने के लिए आवश्यक समय

प्रश्न 8.
यदि 1 किग्रा द्रव्यमान की किसी वस्तु में 4 x 1020 परमाणु हैं । यदि ठोस के प्रत्येक परमाणु से एक इलेक्ट्रॉन को हटा दिया जाता है, तो 1 ग्राम में ठोस द्वारा प्राप्त किया गया आवेश क्या होगा?
(a) 2.8C
(b) 6.4 × 10-2C
(c) 3.6 × 10-3 C
(d) 9.2 × 10-4C
उत्तर-
(b) 6.4 × 10-2C
(b) यहाँ, हटाए गए इलेक्ट्रॉनों की संख्या = 1 g में परमाणुओं की संख्या
या \(n=\frac{4 \times 10^{20}}{10^{3}}=4 \times 10^{17}\)
∴ आवेश, q= ne = 4 × 1017 × 1.6 × 10-19 C
= 6.4 × 10-2C
![]()
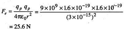
प्रश्न 9.
हीलियम परमाणु के नाभिक में दो प्रोटॉन हैं, जिन्हें 3.0 × 10-15 m दूरी द्वारा पृथक किया गया है । उस स्थिर वैद्युत बल का परिमाण क्या होगा जो प्रत्येक प्रोटॉन अन्य पर उत्पन्न करता है ?
(a) 20.6 N
(b) 25.6 N
(c) 15.6N
(d) 12.6 N
उत्तर-
(b) 25.6 N
(b) प्रोटॉन का आवेश, g, = 1.6 × 10-19 C
प्रोटॉनों के बीच दूरी, r=3 × 10-15 m
प्रोटॉनों के बीच स्थिर वैद्युत बल का परिमाण,

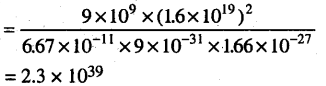
प्रश्न 10.
एक इलेक्ट्रॉन एवं एक प्रोटॉन के लिए स्थिरवैद्युत बल एवं . गुरुत्वाकर्षण बल के परिणाम का अनुपात क्या है ? .
(a) 6.6 × 1039
(b) 2.3 × 1039
(c) 6.6 × 1029
(d) 2.3 × 1029
उत्तर-
(b) 2.3 × 1039
(b) यहाँ, एक इलेक्ट्रॉन एवं प्रोटॉन के लिए,


![]()
प्रश्न 11.
दो बिन्दु आवेश, +3µC एवं +4µC, 10Nके बल से एक-दूसरे को प्रतिकर्षित करते हैं । यदि प्रत्येक को -6µC अतिरिक्त आवेश दे दिया जाये, तो नया बल होगा
(a) 2N
(b) 4N
(c) 5N
(d) 7.5N
उत्तर-
(d) 7.5N
(d) यहाँ, q1 = +3 μC, q2 = +4μ C, F = 10 N; q1
q1 = + 3 – 6 = -3μc
q2 = +4 – 6 =-2μc,

प्रश्न 12.
दो आवेश एवं -3q को d दूरी पर एक-दूसरे से पृथक x-अक्ष पर स्थिर रखा गया है । एक तीसरे आवेश 24 को किस प्रकार से रखा जाए कि यह किसी भी प्रकार के बल को अनुभव न करे ?

उत्तर-
(b)
प्रश्न 13.
कुलॉम के नियम में नियतांक k निर्भर करता है
(a) माध्यम की प्रकृति पर
(b) मात्रकों की पद्धति पर
(c) आवेश की तीव्रता पर
(d) (a) व (b) दोनों पर
उत्तर-
(a) माध्यम की प्रकृति पर
प्रश्न 14.
निम्न में से कौन-सा कथन विद्युत बलों के बारे में सही है ?
(a) विद्युत बल, विद्युत आवेशों द्वारा उत्पन्न होते हैं।
(b) समान आवेश आकर्षित होते हैं, असमान आवेश प्रतिकर्षित होते हैं।
(c) गुरुत्वाकर्षण बल की अपेक्षा विद्युत बल दुर्बल होते हैं।
(d) धनात्मक एवं ऋणात्मक आवेशं तीसरे प्रकार के आवेश को उत्पन्न करने के लिए जुड़ सकते हैं।
उत्तर-
(a) विद्युत बल, विद्युत आवेशों द्वारा उत्पन्न होते हैं।
![]()
प्रश्न 15.
मुक्त आकाश की विद्युतशीलता का SI मात्रक है –
(a) फेरड
(b) वेबर
(c) C2N-1m-2
(d) C2N-1m-1
उत्तर-
(a) फेरड
प्रश्न 16.
निम्न में से कौन-से कथन में स्थिरवैद्युत एवं गुरुत्वाकर्षण बलों के मध्य समानता नहीं है ?
(a) दोनों बल व्युत्क्रम वर्ग के नियम का पालन करते हैं।
(b) दोनों बल बहुत बड़ी दूरियों पर कार्य करते हैं।
(c) दोनों बल प्रकृति में संरक्षित होते हैं।
(d) दोनों बल केन्द्रीय प्रकृति के होते हैं।
उत्तर-
(b) दोनों बल बहुत बड़ी दूरियों पर कार्य करते हैं।
प्रश्न 17.
विचार कीजिए कि । भुजा के किसी समबाहु त्रिभुज के शीर्षों पर आवेश q,q एवं -4 स्थित हैं। आवेशों के निकाय पर बल है –

उत्तर-
(d)
(d) चित्र से, A पर q1 (=q) पर बल,

प्रश्न 18.
10-3kg द्रव्यमान एवं 5 µC आवेश वाले एक कण को 20 ms-1 की चाल से 2 × 105 N/C तीव्रता वाले एकसमान विद्युत क्षेत्र के विरुद्ध फेंका गया है । विरामावस्था में आने के पहले कण द्वारा तय की गई दूरी क्या होगी?
(a) 0.1s
(b) 0.2s
(c) 0.3s
(d) 0.4s
उत्तर-
(b) 0.2s
(b) F = qE = 5 × 10-6 × 2 × 105 = 1N
चूँकि, कण को क्षेत्र के विरुद्ध फेंका गया है
∴ a =- F/m = \(-\frac{1}{10^{-3}}\) = – 103 ms-2
चूँकि v2 – u2 = 2 as ∴ 02 – (20)2 = 2 × (-103) × s
या s = 0.2 m
![]()
प्रश्न 19.
किसी बिन्दु पर विद्युत क्षेत्र होता है
(a) हमेशा सतत्
(b) यदि उस बिन्दु पर कोई आवेश नहीं हो तो सतत्
(c) यदि उस बिन्दु पर कोई आवेश हो तो असतत्
(d) (b) एवं (c) दोनों सही हैं।
उत्तर-
(d) (b) एवं (c) दोनों सही हैं।
प्रश्न 20.
एक इलेक्ट्रॉन प्रारंभ में विरामावस्था से 2 × 104NC परिणाम के – एकसमान विद्युत क्षेत्र में 1.5 cm की दूरी से गिरता है। इस दूरी से गिरने पर इलेक्ट्रॉन द्वारा लिया गया समय होगा –
(a) 1.3 × 102 s
(b) 2.1 × 10-12 s
(c) 1.6 × 10-10s
(d) 2.9 × 10-9s
उत्तर-
(d) 2.9 x 10-9s
प्रश्न 21.
वह विद्युत क्षेत्र जो 3.2 × 10-27kg द्रव्यमान के एक इलेक्ट्रॉन का संतुलन कर सके वह है
(a) 19.6 × 10-8 NC-1
(b) 20 × 10-6 NC-1
(c) 19.6 × 108 NC-1
(d) 20 × 106 NC-1
उत्तर-
(a) 19.6 × 10-8 NC-1
प्रश्न 22.
बल प्रति एकांक आवेश कहलाता है
(a) विद्युत फ्लक्स
(b) विद्युत क्षेत्र
(c) विद्युत विभव
(d) विद्युत धारा
उत्तर-
(b) विद्युत क्षेत्र
![]()
प्रश्न 23.
मान के प्रत्येक पाँच समान आवेश भुजा ‘a’ के पंचभुज के कोनों पर स्थित हैं।
पंजभुज के केन्द्र पर विद्युत क्षेत्र क्या होगा?

उत्तर-
(d)
प्रश्न 24.
किसी आवेश 15 × 10-4C पर 2.25 N का बल कार्यरत है । उस
बिन्दु पर विद्युत क्षेत्र की तीव्रता होगी.
(a) 150 NC-1
(b) 15 NC-1
(c) 1500 NC-1
(d) 1.5 NC-1
उत्तर-
(c) 1500 NC-1
प्रश्न 25.
यदि किसी वस्तु पर आवेश को दुगुना कर दिया जाये तो विद्युत क्षेत्र हो जाता है –
(a) आधा
(b) दुगुना
(c) अपरिवर्तित
(d) तिगुना
उत्तर-
(b) दुगुना
![]()
प्रश्न 26.
विद्युत तीव्रता का विमीय सूत्र है
(a) [M1L1T3A-1]
(b) [ML-1 T-3 A1]
(c) [M1L-1 T-3 A-1]
(d) [M1 L2 T1 A1]
उत्तर-
(c) [M1L-1 T-3 A-1]
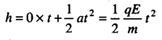
प्रश्न 27.
चित्र में एकसमान स्थिर विद्युत क्षेत्र में तीन आवेशित कणों के ट्रैक को दिखाया गया है। किस कण का आवेश और द्रव्यमान का अनुपात अधिक है ?

(a) A
(b) B
(c) C
(d) A एवं B
उत्तर-
(c) C
(c) कण A एवं B में ऋणात्मक है क्योंकि ये स्थिरविद्युत क्षेत्र की
धनात्मक प्लेट की ओर विक्षेपित (Deflected) हो जाते हैं । कण C में धनावेश है क्योंकि यह ऋणात्मक प्लेट की ओर विक्षेपित हो जाता है।
∴ y-दिशा में t समय में आवेशित कण का विक्षेप

अर्थात् h ∝ q/m
चूँकि कण C, y-दिशा में अधिकतम विक्षेप को सहन करता है,
इसलिए इसमें आवेश-द्रव्यमान glm अनुपात उच्चतम होता है।
![]()
प्रश्न 28.
विद्युत बल रेखाओं की वह संख्या जो निर्वात् में एक कूलॉम आवेश से बाहर की ओर विकसित (Radiate) होती है, क्या है ?
(a) 1.13 × 1011
(b) 1.13 × 1010
(c) 0.61 × 1011
(d) 0.61 × 109
उत्तर-
(a) 1.13 × 1011
प्रश्न 29.
निम्न में से कौन-सा चित्र एकांक धनावेश के कारण विद्युत क्षेत्र रेखाओं को प्रदर्शित करता हैं ?

उत्तर-
(a)
प्रश्न 30.
निम्न में से कौन-सा चित्र दो ऋणात्मक आवेशों के संयोजन के कारण विद्युत क्षेत्र रेखाओं को प्रदर्शित करता है ?

उत्तर-
(d)
![]()
प्रश्न 31.
एक असमान विद्युत क्षेत्र को आरेख द्वारा प्रदर्शित किया गया है। निम्न में से किस बिन्दु पर विद्युत क्षेत्र का परिमाण अधिकतम है ?

(a) A
(b) B
(c) C
(d) D
उत्तर-
(d) D
प्रश्न 32.
यदि किसी पृष्ठ पर तो , \(\oint_{s} \vec{E} \cdot d \vec{s}=0\), तो
(a) पृष्ठ के अन्दर विद्युत क्षेत्र आवश्यक रूप से एकसमान होता है।
(b) पृष्ठ के अन्दर विद्युत क्षेत्र आवश्यक रूप से एकसमान होता है।
(c) सभी आवेश आवश्यक रूप से पृष्ठ के बाहर ही होना चाहिए ।
(d) इनमें से सभी।
उत्तर-
(c) सभी आवेश आवश्यक रूप से पृष्ठ के बाहर ही होना चाहिए ।
प्रश्न 33.
यदि ब्रह्माण्ड में केवल एक प्रकार का आवेश होता, तो

उत्तर-
(d)
![]()
प्रश्न 34.
विद्युत फ्लक्स का SI मात्रक है
(a) NC-1 m2
(b) NC m-2
(c) NC-2 m2
(d) NC-1 m-2
उत्तर-
(a) NC-1 m2
प्रश्न 35.
10 cm त्रिज्या की एक वृत्तीय समतल चादर एकमसान विद्युत क्षेत्र 5 × 105 NC-1 में स्थित है, क्षेत्र के साथ 60° का कोण बनाते हुए चादर में से गुजरने वाला विद्युत फ्लक्स होगा –
(a) 1.36 × 102 N m2C-1
(b) 1.36 × 104 N m2C-1
(c) 0.515 × 102 N m2C-1
(d) 0.515 × 104 N m2C-1
उत्तर-
(b) 1.36 × 104 N 2-1
(b) यहाँ, r = 10 cm = 0.1 m; E = 5 × 105 NC-1
चूँकि समतल चादर एवं विद्युत क्षेत्र के मध्य कोण 60° है,
अतः अभिलम्ब से समतल चादर तथा विद्युत क्षेत्र बना कोण θ = 90° – 60° = 30°
∴ ΦE= ES cos θ = πr² cos θ
=5 × 105 × 3.14 × (0.1)2 cos 30°
= 1.36 × 104 Nm2C-1

प्रश्न 36.
विद्युत फ्लक्स का विमीय सूत्र है
(a) [M1L1 T-2]
(b) [M1 L3 T-3 A-1]
(c) [M2 L2 T-2A-2]
(d) [M1L-3 T3 A1]
उत्तर-
प्रश्न 37.
एक गोला अपने अंदर एक विद्युत द्विध्रुव को घेरे हुए है । ग्रोले का कुल फ्लक्स क्या होगा?
(a) शून्य
(b) एकांक आवेश के कारण यह आधा होता है।
(c) एकांक आवेश के कारण यह दुगुना होता है।
(d) द्विध्रुव की स्थिति पर निर्भर करता है।
उत्तर-
(b) एकांक आवेश के कारण यह आधा होता है।
![]()
प्रश्न 38.
निम्न में से कौन-सा कथन द्विध्रुव आघूर्ण के बारे में सही नहीं है ?
(a) द्विध्रुव आघुर्ण की विमाएं [LTA] है।
(b) द्विध्रुव आघूर्ण का मात्रक Cm है।
(c) द्विध्रुव आघूर्ण एक सदिश राशि है. तथा ऋणावेश से धनावेश की ओर निर्देशित होता है।
(d) द्विध्रुव आघूर्ण एक अदिश राशि है तथा इसका परिमाण आवेश के मध्य की पृथक्कता (Separation) के विभव के बराबर होता है।
उत्तर-
(d) द्विध्रुव आघूर्ण एक अदिश राशि है तथा इसका परिमाण आवेश के मध्य की पृथक्कता (Separation) के विभव के बराबर होता है।
प्रश्न 39.
1µF एवं -1µC के दो बिन्दु आवेशों को 100Å की दूरी पर रखा जाता है । एक बिन्दु P मध्य बिन्दु P मध्य बिन्दु से 10 cm की दूरी पर तथा दोनों आवेशों को मिलाने वाली रेखा के लम्बार्द्धक पर है। P पर विद्युत क्षेत्र होगा –
(a) 9 NC-1
(b) 0.9 NC-1
(c) 90 NC-1
(d) 0.09 NC-1
उत्तर-
(b) 0.9 NC-1
प्रश्न 40.
विद्युत द्विध्रुव आघूर्ण का मात्रक है
(a) न्यूटन
(b) कूलॉम
(c) फेरड
(d) डिबाइ |
उत्तर-
(d) डिबाइ
![]()
प्रश्न 41.
दो आवेशों ± 20 μC को 10 mm दूरी पर रखा गया है । धनात्मक आवेश की ओर इसके बिन्दु 0 से दूर 10 cm द्विध्रुव के अक्ष पर, बिन्दु P पर विद्युत क्षेत्र क्या होगा?

(a) 8.6 × 109 NC-1
(b) 4.1 × 106 NC-1
(c) 3.6 × 106 NC-1
(d) 4.6 × 105 NC-1
उत्तर-
(c) 3.6 × 106 NC-1
प्रश्न 42.
किसी विद्युत द्विध्रुव को विद्युत क्षेत्र की तीव्रता 2 × 105 NC-1 से 30° के कोण पर रखा जाता है। यह 4 Nm के बराबर बल आप्रूण को अनुभव करता है। यदि द्विध्रुव की लम्बाई 2 cm हो, तो द्विध्रुव पर आवेश होगा
(a) 8 mC
(b) 4 mC
(c) 6 mC
(d) 2 mC
उत्तर-
(d) 2 mC
(d) यहाँ, E = 2 x 105 NC-1; l = 2 cm, t= 4 Nm

प्रश्न 43.
4.4m व्यास के एकसमान आवेशित चालक गोले का पृष्ठ आवेश घनत्व 60 μC m-2 है। गोले पर आवेश होगा
(a) 7.3 × 10-3C
(b) 3.7 × 10-6C
(c) 7.3 × 10-6C
(d) 3.7× 10-3C
उत्तर-
(d) 3.7 × 10-3C
(d) यहाँ, D = 2r = 4.4 m या r = 2.2 m; σ= 60μCm-2
गोले पर आवेश, q = σ × 4πr2 = 60 × 10-6 × 4 × \(\frac{22}{7}\) x (2.2)2
=3.7 × 10-3c
प्रश्न 44.
2.4 cm लम्बाई एवं 4.6 mm त्रिज्या वाली एक छड़ के पृष्ठ पर 4.2 × 10-7 C का ऋणात्मक आवेश एकसमान रूप से व्याप्त है। छड़ के मध्य बिन्दु के निकट इसके पृष्ठ पर किसी बिन्दु पर विद्युत क्षेत्र होता है –
(a) -8.6 × 105 NC-1
(b) –8.6 × 104 NC-1
(c) -6.7 × 105 N -1
(d) -6.7 × 104 NC-1
उत्तर-
(c) -6.7 × 105 N -1
(c) यहाँ, l = 2.4 m, r= 4.6 mm = 4.6 × 10-3 m, q
=-4.2 × 10-7c
रेखीय आवेश घनत्व, \(\lambda=\frac{q}{l}=\frac{-4.2 \times 10^{-7}}{2.4}\)
= -1.75 × 10-7 cm-1
![]()
प्रश्न 45.
बाहरी पृष्ठ पर पृष्ठ आवेश घनत्व है –

उत्तर-
(b)
प्रश्न 46.
गाउस के नियम के लिए निरूपित. पृष्ठ कहलाता है ?
(a) बन्द पृष्ठ
(b) गोलीय पृष्ठ
(c) गाउसीय पृष्ठ
(d) समतल पृष्ठ
उत्तर-
(c) गाउसीय पृष्ठ
![]()
प्रश्न 47.
बिन्दु आवेश 4μC, कोर से 10 सेमी की दूरी पर घनीय गाउसीय पृष्ठ के केन्द्र पर है । पृष्ठ में से गुजरने वाला कुल विद्युत फ्लक्स क्या होगा?
(a) 2.5 × 105 Nm2C-1
(b) 4.5 × 105 Nm2C-1
(c) 4.5 × 106 Nm2C-1
(d) 2.5 × 106 Nm2C-1
उत्तर-
(b) 4.5 × 105 Nm2C-1
(b) यहाँ, q = 4μC = 4 × 10-6 C,l = 10 cm = 10 × 10-2 m

प्रश्न 48.
एक बिन्दु आवेश + 20μC चित्रानुसार 12 cm भुजा के वर्ग के केन्द्र पर 6 cm की दूरी पर है । वर्ग में गुजरने वाले विद्युत फ्लक्स का परिमाण क्या होगा?

(a) 2.5 × 106 N m2 C-1
(b) 3.8 × 105 N m2 C-1
(c) 4.2 × 105 N m2 C-1
(d) 2.9 × 106 N m2 C-1
उत्तर-
(b) 3.8 × 105 N m2 C-1
(b) यहाँ कोर 12 cm वाले घन के एक फलक का वर्ग करने पर,
बिन्दु आवेश + 20 μC,ABCD के केन्द्र के ही ऊपर 6 cm की – दूरी पर है।
चित्र से, यह स्पष्ट है कि वर्ग ABCD, 12 cm भुजा के घन के
छः फलकों में से एक है।
गाउस के प्रमेय से, घन छः फलकों में से गुजरने वाला कुल विद्युत
फ्लक्स = \(\frac{q}{\varepsilon_{0}}\)
∴ वर्ग में से गुजरने वाला विद्युत फ्लक्स

प्रश्न 49.
दो अनन्त समतल समानान्तर चादरों के बीच की दूरी d है, उन पर बराबर एवं विपरीत एकसमान आवेश घनत्व σ है । चादरों के बीच किसी बिन्दु पर विद्युत क्षेत्र होगा
(a) \(\frac{\sigma}{2 \varepsilon_{0}}\)
(b) \(\frac{\sigma}{\varepsilon_{0}}\)
(c) शून्य
(d)बिन्दु की स्थिति पर निर्भर करेगा।
उत्तर-
(b) \(\frac{\sigma}{\varepsilon_{0}}\)
![]()
प्रश्न 50.
पृष्ठ में से गुजरने वाला विद्युत फ्लक्स

(a) चित्र (iv) में अधिकतम होता है।
(b) चित्र (iii) में न्यूनतम होता है।
(c) चित्र (ii) में चित्र (iii) के समान होता है लेकिन चित्र (iv) से छोटा . होता है।
(d) सभी चित्रों के लिए समान होता है।
उत्तर-
(d) सभी चित्रों के लिए समान होता है।
प्रश्न 51.
चित्र विद्युत क्षेत्र रेखाओं को दर्शाता है जिसमें एक विद्युत द्विध्रुव \(\vec{p}\) दर्शाए अनुसार स्थित है । निम्न में से कौन-सा कथन सही है ?

(a) द्विध्रुव किसी बल का अनुभव नहीं करेगा।
(b) द्विध्रुव दायीं ओर बल का अनुभव करेगा।
(c) द्विध्रुव बायीं ओर बल का अनुभव करेगा ।
(d) द्विध्रुव ऊपर की ओर बल का अनुभव करेगा।
उत्तर-
(c) द्विध्रुव बायीं ओर बल का अनुभव करेगा ।
प्रश्न 52.
एक धात्विक गोलीय कवच की आंतरिक त्रिज्या R1 एवं बाहरी. त्रिज्या R2 है । एक आवेश गोलीय खोल के केन्द्र पर स्थित है । आंतरिक पृष्ठ पर पृष्ठ आवेश घनत्व होगा –

उत्तर-
(b) \(\frac{-q}{4 \pi R_{1}^{2}}\)