Bihar Board 12th Physics Objective Questions and Answers
Bihar Board 12th Physics Objective Answers Chapter 4 गतिमान आवेश और चुम्बकत्व
![]()
प्रश्न 1.
जब किसी चुम्बकीय दिकसूची को सीधे धारावाही तार के पास लाया जाता है, तो
(i) सीधा तार दिकसूची में महत्त्वपूर्ण विक्षेप उत्पन्न करता है
(ii) सुई की व्यवस्था (Alignment) सीधे तार वाले एक काल्पनिक वृत्त के लिए स्पर्शज्यात्मक (Tangential) होती है क्योंकि इसका केन्द्र तार के साथ लम्बवत् होता है।
(a) (i) सही है।
(b) (ii) सही है।
(c) (i) एवं (ii) दोनों सही है।
(d) न तो (i) और न ही (ii) सही है।
उत्तर-
(c) (i) एवं (ii) दोनों सही है।
प्रश्न 2.
निम्न में से कौन-सा एक लॉरेंज बल के बारे में सही नहीं है ?
(a) विद्युत क्षेत्र \(\vec{E}(r)\) एवं चुम्बकीय क्षेत्र \(\vec{B}(r)\) की उपस्थिति में, गतिमान विद्युत आवेश पर बल \(\vec{F}=q[\vec{E}(r)+v \times \vec{B}(r)]\) होता है।
(b) ऋणात्मक आवेश पर चुम्बकीय क्षेत्र के कारण, बल धनात्मक आवेश पर चुम्बकीय क्षेत्र के विपरीत होता है।
(c) यदि वेग एवं चुम्बकीय क्षेत्र समानान्तर या असमानान्तर होते हैं तो चुम्बकीय क्षेत्र के कारण बल शून्य हो जाता है।
(d) स्थिर आवेश के लिए चुम्बकीय बल अधिकतम होता है।
उत्तर-
(d) स्थिर आवेश के लिए चुम्बकीय बल अधिकतम होता है।
(d) यदि आवेश गतिमान नहीं होता है तो चुम्बकीय बल शून्य होता है।
चूँकि \(\vec{F}_{m}=q(\vec{v} \times \vec{B})\)
चूँकि \(\vec{v}=0\) आवेश के लिए
∴ \(\vec{F}_{m}=0\)
प्रश्न 3.
किसी बाह्य चुम्बकीय क्षेत्र \(\vec{B}\) में ! लम्बाई के धारावाही चालक पर चुम्बकीय बल \(\vec{F}\) को इस प्रकार से व्यक्त किया जाता है –

उत्तर-
(c)
प्रश्न 4.
किसी प्रबल चुम्बकीय क्षेत्र को स्थायी इलेक्ट्रॉन पर लगाया जाता है, तो इलेक्ट्रॉन
(a) क्षेत्र की दिशा में पति करता है।
(b) स्थायी रहता है।
(c) क्षेत्र की दिशा के लम्बवत् गति करता है।
(d) क्षेत्र की दिशा के विपरीत गति करता है।
उत्तर-
(b) स्थायी रहता है।
![]()
प्रश्न 5.
I धारा वाले R त्रिज्या के एक वृत्ताकार लूप को लूप के लम्बवत् एकसमान चुम्बकीय क्षेत्र B में रखा जाता है । लूप पर बल होगा
(a) 2πRIB
(b) 2πRI2B3
(c) πR2IB
(d) शून्य
उत्तर-
(d) शून्य
प्रश्न 6.
किसी जड़त्वीय फ्रेम के संदर्भ में, गतिमान आवेशित कण पर चुम्बकीय बल \(\vec{F}\) है। अन्य जड़त्वीय फ्रेम के संदर्भ में इसका मान –
(a) समान रहता है।
(b) आवेश के मात्रा में परिवर्तन के कारण परिवर्तित होगा।
(c) आवेशित कण के वेग में परिवर्तन के कारण परिवर्तित होगा।
(d) क्षेत्र की दिशा में परिवर्तन के कारण परिवर्तित होगा।
उत्तर-
(c) आवेशित कण के वेग में परिवर्तन के कारण परिवर्तित होगा।
प्रश्न 7.
निम्न में से कौन-सा चुम्बकीय बलों के बारे में सही कथन है ?
(a) चुम्बकीय बल हमेशा न्यूटन के तृतीय नियम का पालन करते हैं ।
(b) चुम्बकीय बल न्यूटन के तृतीय नियम का पालन नहीं करते हैं।
(c) बहुत उच्च धारा के लिए, चुम्बकीय बल न्यूटन के तृतीय नियम का पालन करते हैं।
(d) निम्न चुम्बकीय क्षेत्र के अन्तर्गत, चुम्बकीय बल न्यूटन के तृतीय नियम का पालन करते हैं।
उत्तर-
(b) चुम्बकीय बल न्यूटन के तृतीय नियम का पालन नहीं करते हैं।

![]()
प्रश्न 8.
एक आवेशित कण किसी साइक्लोट्रॉन में गति कर रहा है, जब . रेडियो आवृत्ति के क्षेत्र की आवृत्ति दुगुनी हो, तो इस आवेशित कण के पथ की त्रिज्या पर क्या प्रभाव होगा?
(a) यह भी दुगुना हो जाएगा।
(b) यह आधा हो जाएगा।
(c) यह चार गुना बढ़ जाएगा ।
(d) यह अपरिवर्तित रहेगा।
उत्तर-
(d) यह अपरिवर्तित रहेगा।
प्रश्न 9.
एक इलेक्ट्रॉन इसके लम्बवत् 5 x 10-4T के चुम्बकीय क्षेत्र में 3.2 x 107 ms-1 की चाल पर साइक्लोट्रॉन में गति कर रहा है। इस इलेक्ट्रॉन की आवृत्ति क्या है ? (= 1.6 x 10-19 C,me = 9.1 x 10-31kg)
(a) 1.4x 105 Hz
(b) 1.4 x 107 Hz
(c) 1.4 x 106 Hz
(d) 1.4 x 109 Hz
उत्तर-
(b) 1.4 x 107 Hz
(b) v = 3.2 x 107 ms-1; B = 5 x 10-4 opta

![]()
प्रश्न 10.
साइक्लोट्रॉन आवृत्ति vc का व्यक्त किया जाता है –

उत्तर-
(b)
प्रश्न 11.
यदि एक इलेक्ट्रॉन 2.5 MHz की आवृति वाले 32 cm त्रिज्या के किसी वृत्तीय पथ पर 5.4 x 10-4T के चुम्बकीय क्षेत्र में गति कर रहा हो, तो इसकी चाल होगी –
(a) 8.56 x 106 m s-1
(b) 5.024 x 106 m s-1
(c) 8.56 x 104 m s-1
(d) 5.024 x 104 ms-1
उत्तर-
(b) 5.024 x 106 m s-1
प्रश्न 12.
यदि एक आवेशित कण किसी साइक्लोट्रॉन में गति कर रहा हो, तो
(a) यह डी के अंदर चाल को बढ़ाता है।
(b) डी के अंदर धीमा हो जाता है तथा डीज के मध्य में चाल को बढ़ाता है।
(c) बाह्य चुम्बकीय क्षेत्र के कारण डीज के मध्य चाल बढ़ जाती है।
(d) त्वरण हमेशा निरंतर बना रहता है।
उत्तर-
(d) त्वरण हमेशा निरंतर बना रहता है।
प्रश्न 13.
0.05îm के किसी तत्व को चित्रानुसार मूलबिन्दु पर रख गया है जो 10 A की बड़ी धारा को प्रवाहित करता है। लम्बवत् दिशा में 1m की दूरी चुम्बकीय क्षेत्र है –

(a) 4.5 x 10-8 T
(b) 5.5 x 10-8T
(c) 5.0 x 10-8 T
(d) 7.5 x 10-8 T
उत्तर-
(c) 5.0 x 10-8 T

![]()
प्रश्न 14.
यदि कोई इलेक्ट्रॉन \(\vec{v}\) वेग के साथ घूम रहा है तथा वह चुम्बकीय क्षेत्र \(\vec{B}\) को उत्पन्न करता है, तो
(a) क्षेत्र \(\vec{B}\) की दिशा, \(\vec{v}\) वेग की दिशा के समान होगी।
(b) क्षेत्र \(\vec{B}\) की दिशा, \(\vec{v}\) वेग की दिशा के विपरीत होगी।
(c) क्षेत्र \(\vec{B}\) की दिशा, \(\vec{v}\) वेग की दिशा के लम्बवत् होगी ।
(d) क्षेत्र \(\vec{B}\) की दिशा, \(\vec{v}\) वेग की दिशा पर निर्भर नहीं करती है।
उत्तर-
(b) क्षेत्र \(\vec{B}\) की दिशा, \(\vec{v}\) वेग की दिशा के विपरीत होगी।
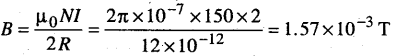
प्रश्न 15.
2A की धारा वाली 12 cm त्रिज्या की 150 फेरे कस कर लिपटी हुई कुंडली के केन्द्र पर चुम्बकीय क्षेत्र का परिमाण होगा –
(a) 18 G
(b) 19.7G
(c) 15.7G
(d) 17.7G
उत्तर-
(c) 15.7G
(c) यहाँ N = 150, R = 12 cm = 12 x 10-2 m, I = 2A

= 1.57 x 10-31 = 15.7 x 10-4T = 15.7G
प्रश्न 16.
3 cm के वृत्तीय लूप में 12.5A की धारा है। इसके अक्ष पर 4cm की दूरी पर चुम्बकीय क्षेत्र का परिमाण क्या होगा?
(a) 5.65 x 10-5T
(b) 5.27x 10-5 T
(c) 6.54 x 10-5T
(d) 9.20 x 10-5 T
उत्तर-
(a) 5.65 x 10-5T

![]()
प्रश्न 17.
9 cm त्रिज्या के प्रत्येक 100 फेरों वाले तार की वृत्तीय कुंडली में 0.4 A की धारा प्रवाहित होती है। उस कुंडली के केन्द्र पर चुम्बकीय क्षेत्र का परिमाण है –
(a) 2.4 x 104 T
(b) 3.5 x 10-4T
(c) 2.79 x 104T
(d) 3 x 104T
उत्तर-
प्रश्न 18.
ऐम्पियर का परिपथीय नियम इस प्रकार दिया जाता है –

उत्तर-
(b)
प्रश्न 19.
50 cm लम्बाई, 100 फेरों वाली परिनालिका में 2.5A की धारा प्रवाहित हो रही है । परिनालिका के एक सिरे पर चुम्बकीय क्षेत्र होगा
(a) 3.14 x 10-4T
(b) 6.28 x 10-4T
(c) 1.57 x 10-4 T
(d) 9.42 x 10-4T
उत्तर-
(a) 3.14 x 10-4T
(a) यहाँ l = 2.5 A, l = 50 cm=0.50 m

![]()
प्रश्न 20.
समानान्तर एवं प्रति-समानान्तर धाराओं की प्रकृति होती है
(a) समानान्तर धाराएँ प्रतिकर्षित होती हैं तथा प्रतिसमानान्तर धाराएँ आकर्षित होती हैं
(b) समानान्तर धाराएँ आकर्षित होती हैं तथा प्रतिसमानान्तर धाराएँ प्रतिकर्षित होती हैं
(c) दोनों धाराएँ आकर्षित होती हैं
(d) दोनों धाराएँ प्रतिकर्षित होती हैं
उत्तर-
(b) समानान्तर धाराएँ आकर्षित होती हैं तथा प्रतिसमानान्तर धाराएँ प्रतिकर्षित होती हैं
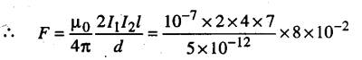
प्रश्न 21.
दो एवं समानान्तर सीधे तार A एवं B में समान दिशा में 4A एवं 7A की धाराएँ बह रही हैं तथा इनके बीच 5 cm की दूरी है । तार A के 8 cm भाग पर कार्यरत बल है –
(a) 3 x 10-6N
(b) 6 x 10-6N
(c) 9 x 10-9N
(d) 2 x 10-6N
उत्तर-
(c) 9 x 10-9N
(c) यहाँ I1 = 4 A, I2 = 7A .
d = 5 cm = 5 x 10-2 m, l = 8 cm = 8 x 10-2 m

= 89.6 x 10-7 N = 9 x 106N
प्रश्न 22.
100 फेरों वाली 10 cm त्रिज्या की वृत्तीय कुंडली में 3.2A की धारा प्रवाहित हो रही है। कुंडली के केन्द्र पर चुम्बकीय क्षेत्र होगा –
(a) 2.01 x 10-3T
(b) 5.64 x 10-3T
(c) 2.64 x 10-4T
(d) 5.64 x 10-4T
उत्तर-
(a) 2.01 x 10-3T
(a) चूँकि \(B=\frac{\mu_{0} N I}{2 R}\), यहाँ N = 100, I = 3.2 A,
R= 10 cm = 10 x 10-2 m

![]()
प्रश्न 23.
15 cm त्रिज्या तथा निकटता से लिपटी हुई 200 फेरों वाली वृत्तीय कुंडली में 4A की धारा प्रवाहित होती है । इस कुंडली का चुम्बकीय आघूर्ण होगा –
(a) 36.5 A m2
(b) 56.5A m2
(c) 66.5 A m2
(d) 108 A m2
उत्तर-
(b) 56.5A m2
(b) चुम्बकीय आघूर्ण, \(|\vec{m}|=N I A=N I \pi r^{2}\)
= 200 x 4 x 3.14 x (15 x 10-2)2
= 200 x 4 x 3.14 x 15 x 15 x 10-4 = 56.5 A m2
प्रश्न 24.
एक धारावाही लूप को एकसमान चुम्बकीय क्षेत्र में रखा जाता है इस पर कार्यरत बल आघूर्ण किस पर निर्भर नहीं करता है –
(a) लूप की आकृति
(b) लूप का क्षेत्रफल
(c) धारा का मान
(d) चुम्बकीय क्षेत्र
उत्तर-
(a) लूप की आकृति
प्रश्न 25.
यदि कुंडली चुम्बकीय क्षेत्र के प्रभाव में 60° के कोण से घूमती है, तो 5 T एकसमान बाह्य चुम्बकीय क्षेत्र में 25 A m2 चुम्बकीय आघूर्ण वाली किसी कुंडली पर अंतिम बल आघूर्ण क्या होगा ?
(a) 216.5 Nm
(b) 108. 25 N m
(c) 102.5Nm
(d) 258.1 Nm
उत्तर-
(b) 108. 25 N m
(b) \(|\vec{\tau}|=|\vec{m} \times \vec{B}|=m B \sin \theta\)
यहाँ, m = 25 A m2 ; θ = 60° ; B = 5 T
∴ τ= 25 x 5 x 5 x sin 60° .
या τ = \(125 \times \frac{\sqrt{3}}{2}\) = = 108.25Nm
प्रश्न 26.
बोर मैग्नेटॉन का सही मान क्या है ?
(a) 8.99 x 10-24Am2
(b) 9.27 x 10-24A m2
(c) 5.66 x 10-24 A m2
(d) 9.27 x 10-28A m2
उत्तर-
(b) 9.27 x 10-24A m2
प्रश्न 27.
सोडियम परमाणु में किसी इलेक्ट्रॉन का घूर्ण-चुम्बकीय अनुपात
(a) परमाणु की परमाणु संख्या पर निर्भर करता है।
(b) परमाणु की कोश संख्या पर निर्भर करता है ।
(c) उस कक्षा से स्वतंत्र जिसमें यह है।
(d) धनात्मक मान वाला होता है ।
उत्तर-
(c) उस कक्षा से स्वतंत्र जिसमें यह है।
![]()
प्रश्न 28.
10Ω प्रतिरोध वाला धारामापी जिसमें से 1 mA की धारा को गुजारे जाने पर यह पूर्ण पैमाने पर विक्षेप देता है । इसे 2.5V तक नापने वाले वोल्टमीटर में बदलने के लिए आवश्यक प्रतिरोध क्या होगा?
(a) 24.9Ω
(b) 249Ω
(c) 2490Ω
(d) 24900Ω
उत्तर-
(c) 2490Ω
(c) यहाँ, Ig = 1 mA = 1 x 10-3A,
G= 10Ω, V= 2.5 V

चित्र से, V = Ig(G+R) या R = \(\frac{V}{I_{g}}-G\)
दिये गये मानों को रखने पर,
R = \(\frac{2.5 \mathrm{V}}{1 \times 10^{-3} \mathrm{A}}-10 \Omega\) = 2500Ω – 10Ω = 2400Ω
प्रश्न 29.
यदि अमीटर प्रतिरोध RG = 50Ω वाला एक धारामापी हो तो दिये गये परिपथ में धारा का मान क्या होगा?

(a) 0.048 A
(b) 0.023 A
(c) 0.061 A
(d) 0.094 A
उत्तर-
(d) 0.094 A
(d) RG = 50Ω,R = 3Ω
∴ श्रेणीक्रम में परिपथ का कुल प्रतिरोध,
Req = RG + R = 50 + 3=53Ω
∴ धारा, I = \(\frac{5}{53}\) = 0094A
प्रश्न 30.
एक चल कुंडली धारामापी को किसके द्वारा एक अमीटर में परिवर्तित किया जा सकता है ?
(a) श्रेणीक्रम में अधिक मान का शंट प्रतिरोध लगाकर।
(b) समानान्तर क्रम में कम मान का शंट प्रतिरोध लगाकर।
(c) श्रेणीक्रम में कम मान का प्रतिरोध लगाकर ।
(d) समानान्तर क्रम में अधिक मान का प्रतिरोध लगाकर ।
उत्तर-
(b) समानान्तर क्रम में कम मान का शंट प्रतिरोध लगाकर।
![]()
प्रश्न 31.
यदि किसी धारामापी की धारा सुग्राहिता दुगुनी कर जाये, तो इसकी वोल्टेज सुग्राहित क्या होगी?
(a) दुगुनी
(b) आधी
(c) अपरिवर्तित
(d) चार गुनी
उत्तर-
(c) अपरिवर्तित
प्रश्न 32.
किसी चल कुंडली धारामापी का परिवर्तन एक वोल्टमीटर में किसके द्वारा किया जाता है?
(a) श्रेणीक्रम में अधिक मान का प्रतिरोध लगाकर।
(b) समानान्तर क्रम में कम मान का प्रतिरोध लगाकर।
(c) समानान्तर. क्रम में अधिक मान का प्रतिरोध लगाकर ।
(d) श्रेणीक्रम में कम मान प्रतिरोध लगाकर ।
उत्तर-
(a) श्रेणीक्रम में अधिक मान का प्रतिरोध लगाकर।
प्रश्न 33.
300Ω के वोल्टमीटर की परास 5 V है। 5A परास के एक अमीटर में इसे बदलने के लिए कितना प्रतिरोध जोड़ना पड़ेगा?
(a) श्रेणीक्रम में 1Ω
(b) समानान्तर क्रम में 1Ω
(c) श्रेणीक्रम में 0.1Ω
(d) समानान्तर क्रम में 0.1Ω
उत्तर-
(b) समानान्तर क्रम में 1Ω
![]()
प्रश्न 34.
यदि धारामापी की धारा 10 mA, धारामापी का प्रतिरोधी 40Ω है | तथा धारामापी से 2Ω का शंट जोड़ा जाता है, तो इस अमीटर द्वारा अधिकतम कितनी धारा मापी जा सकती है ?
(a) 0.21 A
(b) 2.1A
(c) 210A
(d) 21 A
उत्तर-
(a) 0.21 A

प्रश्न 35.
एक इलेक्ट्रॉन को धारावाही लम्बी परिनालिका के अक्ष के अनुदिश एकसमान वेग से प्रक्षेपित किया जाता है। निम्न में से कौन-सा सही है ?
(a) इलेक्ट्रॉन अक्ष के अनुदिश त्वरित होगा।
(b) इलेक्ट्रॉन का पथ अक्ष के परितः वृत्तीय होगा ।
(c) इलेक्ट्रॉन अक्ष से 45° पर बल का अनुभव करेगा तथा इसलिए यह कुंडलिकार पथ को पूरा करता है।
(d) इलेक्ट्रॉन परिनालिका के अक्ष के अनुदिश एकसमान वेग से सतत् घूमता रहेगा।
उत्तर-
(d) इलेक्ट्रॉन परिनालिका के अक्ष के अनुदिश एकसमान वेग से सतत् घूमता रहेगा।
प्रश्न 36.
किसी साइक्लोट्रॉन में, आवेशित कण
(a) हर समय त्वरण का अनुभव करता है।
(b) चुम्बकीय क्षेत्र के कारण डीज के मध्य गति को बढ़ाता है।
(c) डीज में गति को बढ़ाता है।
(d) डीज के अंदर धीमा होता है एवं डीज के मध्य गति को बढ़ाता है ।
उत्तर-
(a) हर समय त्वरण का अनुभव करता है।
![]()