Bihar Board 12th Physics Objective Questions and Answers
Bihar Board 12th Physics Objective Answers Chapter 5 चुम्बकत्व एवं द्रव्य
![]()
प्रश्न 1.
चुम्बकत्व का प्राथमिक उद्गम (मूल-बिन्दु) किसमें स्थित होता
(a) परमाण्विक धारा एवं इलेक्ट्रॉनों का यथार्थ चक्रण
(b) अणुओं की ध्रुवीय एवं अध्रुवीय प्रकृति
(c) पाउली का अपवर्जन सिद्धांत
(d) पदार्थों की विद्युतऋणात्क प्रकृति
उत्तर-
(a) परमाण्विक धारा एवं इलेक्ट्रॉनों का यथार्थ चक्रण
प्रश्न 2.
परिनालिका एवं संगत छड़ चुम्बक के लिए चुम्बकीय आघूर्ण
(a) दोनों के लिए समान
(b) परिनालिका के लिए अधिक
(c) छड़ चुम्बक के लिए अधिक
(d) इनमें से कोई नहीं।
उत्तर-
(a) दोनों के लिए समान
प्रश्न 3.
एक चुम्बकीय सुई का चुम्बकीय आघूर्ण 5.8 x 10-2A m2 एवं जड़त्व आघूर्ण 7.8 x 10-6 kg m’ है, यह 6.0 सेकण्ड में 12 पूर्ण दोलनों को सम्पन्न करती है। चुम्बकीय क्षेत्र का परिमाण क्या है ?
(a) 0.011T
(b) 0.021 T
(c) 0.031 T
(d) 0.041 T
उत्तर-
(b) 0.021 T
(b) यहाँ , दोलनों का आवर्तकाल T = \(\frac{6.0}{12}=0.5 s\)
अब चुम्बकीय क्षेत्र , B = \(\frac{4 \pi^{2} I}{m T^{2}}\)
यहाँ I = 7.8 x 10-6kg m2, π = 3.14
m=5.8 x 10-2 A m2
∴ \(B=\frac{4 \times(3.14)^{2} \times 7.8 \times 10^{-6}}{5.8 \times 10^{-2} \times(0.2)^{2}}=0.021 \mathrm{T}\)
![]()
प्रश्न 4.
2 x 10-4 m2 अनुप्रस्थ परिच्छेद क्षेत्रफल तथा 900 फेरों की एक परिनालिका का चुम्बकीय आघूर्ण 0.6A m2 है, तो इसमें प्रवाहित धारा होगी –
(a) 2.24 A .
(b) 2.34 m A
(c) 3.33 A
(d) 3.33 mA
उत्तर-
(b) 2.34 m A
(c) यहाँ N = 900 , A = 2 x 10-4 m2, ms =0.6Am2
परिनालिका का चुम्बकीय आघूर्ण, \(I=\frac{m_{s}}{N A}=\frac{0.6}{900 \times 2 \times 10^{-4}}=3.33 \mathrm{A}\)
प्रश्न 5.
यदि किसी छड़ चुम्बक का चुम्बकीय आघूर्ण 0.6 A m2 है, तो इसके मध्य-बिन्दु से 75 cm की दूरी पर 3 cm लम्बाई के छड़ चुम्बक के कारण अक्षीय क्षेत्र का परिमाण क्या होगा?
(a) 0.013 µT
(b) 0.113 µT
(c) 0.213 µT
(d) 0.313 µT
उत्तर-
(c) 0.213 µT
![]()
प्रश्न 6.
750 फेरे एवं 5 x 10-4 m2 अनुप्रस्थ परिच्छेद के क्षेत्रफल वाली तथा अच्छी तरह से लिपटी हुई परिनालिका में 3.0 A की धारा प्रवाहित होती है। इससे संबंधित चुम्बकीय आघूर्ण होगा –
(a) 4.12 JT-1
(b) 3.12 JT-1
(c) 2.12 JT-1
(d) 1.13 JT-1
उत्तर-
(d) 1.13 JT-1
प्रश्न 7.
एक छोटे छड़ चुम्बक का चुम्बकीय आघूर्ण 0.48 JT-1 है । अपने अक्ष पर चुम्बक के केन्द्र से 10 cm की दूरी पर चुम्बक द्वारा उत्पन्न चुम्बकीय क्षेत्र का परिमाण एवं दिशा क्या होगी?
(a) N-S दिशा के अनुदिश 0.48 x 10-4
(b) S-N दिशा के अनुदिश 0.28 x 10-4T
(c) N-S दिशा के अनुदिश 0.28x 10-4T
(d) S-N दिशा के अनुदिश 0.96 x 10-4T
उत्तर-
(d) S-N दिशा के अनुदिश 0.96 x 10-4T
चुम्बक के अक्ष पर, \(B_{0}=\frac{\mu_{0}}{4 \pi} \cdot \frac{2 m}{d^{3}}\)
यहाँ \(\frac{\mu_{0}}{4 \pi}=10^{-7} \mathrm{A} \mathrm{m}^{-2}\)
m = 0.48JT-1, d = 10cm = 0.1m
तो \(B=\frac{10^{-7} \times 2 \times 0.48}{(0.1)^{3}}\)
= 0.96 x 10-4 T, S-N दिशा के अनुदिशा
प्रश्न 8.
चक्रण के अक्ष के अनुदिश मापे गये प्रोटॉन से 1Å दुर बिन्दु पर चुम्बकीय प्रेरण होगा –
(प्रोटॉन का चुम्बकीय आघूर्ण 1.4 x 10-26 A m2 है)
(a) 0.28 mT
(b) 28 mT
(c) 0.028 mT
(d) 2.8 mT
उत्तर-
(d) 2.8 mT
![]()
प्रश्न 9.
300 फेरे एवं 14 cm व्यास की एक वृत्तीय कुंडली में 15 A धारा प्रवाहित होती है । लूप से सम्बन्धित चुम्बकीय आघूर्ण का परिमाण होगा –
(a) 51,7 JT-1
(b) 69.2 JT-1
(c) 38.6 JT-1
(d) 19.5 JT-1
उत्तर-
(b) 69.2 JT-1
(b) यहाँ, N= 300, I = 15 A, r = 7cm = 7 x 10-2m
∴ M = NIA = NI x πr2
= 300 x 15 x 3.14 x (7 x 10-2)2 = 69.2 JT-1
प्रश्न 10.
एक धारावाही लूप को चित्रानुसार चार विभिन्न अभिविन्यासों में एकसमान चुम्बकीय क्षेत्र में रखा जाता है । स्थितिज ऊर्जा के घटते क्रम में उन्हें व्यवस्थित कीजिए।

(a) 4, 2, 3, 1
(b) 1, 4, 2, 3
(c) 4, 3, 2, 1
(d) 1, 2, 3, 4
उत्तर-
(b) 1, 4, 2, 3
![]()
प्रश्न 11.
चुम्बकीय आघूर्ण \(\vec{m}=30 \hat{j} \mathrm{A} \mathrm{m}^{2}\) के एक द्विध्रुव को एकसमान
चुम्बकीय क्षेत्र \(\vec{B}=(2 i+5 \hat{j})\) में y-अक्ष के अनुदिश रखा गया है। इस पर कार्यरत बल आघूर्ण क्या होगा?
(a) – 40 k̂ Nm
(b) – 50 k̂Nm
(c) – 60 k̂ Nm
(d) – 70 k̂ Nm
उत्तर-
(c) – 60 k̂ Nm

प्रश्न 12.
पृथ्वी, चुम्बकीय क्षेत्र के साथ एक चुम्बक की भाँति व्यवहार करती है, भौगोलिक रूप से लगभग इस दिशा में
(a) उत्तर से दक्षिण
(b) दक्षिण से उत्तर
(c) पूर्व से पश्चिम
(d) पश्चिम से पूर्व
उत्तर-
(b) दक्षिण से उत्तर
प्रश्न 13.
भू-चुम्बकीय क्षेत्र की तीव्रता होती है
(a) प्रत्येक जगह नियत
(b) प्रत्येक जगह पर शून्य
(c) बहुत उच्च मान वाली
(d) पृथ्वी की सतह पर अलग-अलग स्थानों पर भिन्न ।
उत्तर-
(d) पृथ्वी की सतह पर अलग-अलग स्थानों पर भिन्न ।
![]()
प्रश्न 14.
पृथ्वी का विषुवतीय चुम्बकीय क्षेत्र 0.4G है, तो विषुवत रेखा पर इसका द्विध्रुव आघूर्ण क्या होगा?
(a) 1.05 x 1023 A m2
(b) 2.05 x 1023 A m2
(c) 1.05 x 1021 A m2
(d) 2.05 x 1021 A m2
उत्तर-
(a) 1.05 x 1023 A m2

प्रश्न 15.
किसी निश्चित स्थान के चुम्बकीय याम्योत्तर में, भू-चुम्बकीय क्षेत्र का क्षैतिज घटक 0.25G है तथा नमक कोण/नीति कोण 60° है । इस स्थान पर पृथ्वी का चुम्बकीय क्षेत्र क्या होगा?
(a) 0.50 G
(b) 0.52G
(c) 0.54G
(d) 0.56 G
उत्तर-
(a) 0.50 G
(a) यहाँ, HE = 0.25 G एवं cos δ = \(\frac{H_{E}}{B_{E}}\)
∴ दी गई स्थिति पर पृथ्वी का चुम्बकीय क्षेत्र,
\(B_{E}=\frac{H_{E}}{\cos 60^{\circ}}=\frac{0.25}{1 / 2}=0.50 \mathrm{G}\)
प्रश्न 16.
भू-चुम्बकीय क्षेत्र का क्षैतिज घटक किसी निश्चित स्थान पर B0 है तथा नमन कोण 45° है। उस स्थान पर क्षेत्र की कुल तीव्रता होगी
(a) 2 B0
(b) B0
(c) √2 B0
(d) √3 B0
उत्तर-
(c) √2 B0
![]()
प्रश्न 17.
निम्न में से किसमें सार्वत्रिक चुम्बकीय गुण होता है ?
(a) लौहचुम्बकत्व
(b) प्रतिचुम्बकत्व
(c) अनुचुम्बकत्व
(d) प्रति-लौहचुम्बकत्व
उत्तर-
(b) प्रतिचुम्बकत्व
प्रश्न 18.
दक्षिणी भारत में किसी स्थान पर नमन कोण 18° के लगभग है, तो ब्रिटेन में नमक कोण क्या होगा?
(a) 18° से अधिक
(b) 18° से कम
(c) 18° के बराबर
(d) शून्य
उत्तर-
(a) 18° से अधिक
प्रश्न 19.
माना कि पृथ्वी पर स्थित चुम्बकीय क्षेत्र, पृथ्वी के केन्द्र पर स्थित बिन्दु चुम्बकीय द्विध्रुव का प्रतिरूपण (Modelled) है । भौगोलिक विषुवत रेखा पर उस बिन्दु पर नमन कोण होगा –
(a) हमेशा शून्य
(b) धनोत्मक, ऋणात्मक या शून्य
(c) असम्बद्ध
(d) हमेशा ऋणात्मक
उत्तर-
(b) धनोत्मक, ऋणात्मक या शून्य
प्रश्न 20.
किसी स्थान पर भू-चुम्बकीय क्षेत्र का ऊर्ध्वाधर घटक क्षैतिज घटक का √3 गुना है, उस स्थान पर नमन कोण का मान क्या होगा?
(a) 30°
(b) 45°
(c) 60°
(d) 90°
उत्तर-
(c) 60°
प्रश्न 21.
ध्रुवों एवं विषुवत रेखा पर नमन कोण क्रमशः हैं
(a) 30°, 60°
(b) 0°, 90°
(c) 45°, 90°
(d) 90°, 0°
उत्तर-
(d) 90°, 0°
प्रश्न 22.
यदि आप ऑस्ट्रेलिया में मेलबान पर चुम्बकीय क्षेत्र रेखाओं का मानचित्र बनाते हैं, तो चुम्बकीय क्षेत्र रेखाएँ प्रतीत होती हैं –
(a) भूमि में जाती हुई
(b) भूमि के बाहर आती हुई
(c) पृथ्वी के पृष्ठ पर सर्पिलाकार पथ बनाती हुई
(d) भूमि के पृष्ठ के ऊपर कुण्डलिकार पथ पर गति करती हैं।
उत्तर-
(b) भूमि के बाहर आती हुई
![]()
प्रश्न 23.
किसी निश्चित स्थान पर नमन कोण जहाँ भू-चुम्बकीय क्षेत्र केक्षैतिज एवं ऊर्ध्वाधर घटक बराबर होते हैं, होगा
(a) 30°
(b) 75°
(c) 60°
(d) 45°
उत्तर-
(d) 45°
प्रश्न 24.
निम्न में से कौन-सा भू-चुम्बकीय क्षेत्र के लिए उत्तरदायी होता है ?
(a) पृथ्वी की क्रोड में संवहनी धाराएं ।
(b) पृथ्वी की क्रोड में विविध धाराएँ ।
(c) पृथ्वी की घूर्णन गति ।
(d) पृथ्वी की स्थानान्तरीत गति ।
उत्तर-
(a) पृथ्वी की क्रोड में संवहनी धाराएं ।
प्रश्न 25.
10 cm लम्बाई के पतले बेलन की आकृति वाले किसी स्थायी चुम्बकीकरण (M) = 106A m-1 है । इसकी चुम्बकीकरण IM क्या होगी?
(a) 105 A
(b) 106 A
(c) 107 A
(d) 108 A
उत्तर-
(a) 105 A
(a) चूँकि Bl = µ0MI = µ0 (I + IM) यहाँ, I = 0
तो µ0MI = µ0(IM)
→ IMI = 106 x 0.1 = 105 A
प्रश्न 26.
निम्न में से कौन-सा आपेक्षिक चुम्बकशीलता (μr) के बारे में सही
नहीं है? (a) यह शुद्ध विमाहीन अनुपात होता है।
(b) निर्वात माध्यम के लिए इसका मान एक होता है।
(c) लौहचुम्बकीय पदार्थों के लिए μr >>1
(d) अनुचुम्बकीय पदार्थों के लिए μr >1
उत्तर-
(d) अनुचुम्बकीय पदार्थों के लिए μr >1
![]()
प्रश्न 27.
एक परिनालिका में 600 आपेक्षिक चुम्बकशीलता वाले किसी पदार्थ की क्रोड है । दिये गये पदार्थ की चुम्बकीय चुम्बकशीलता क्या है ?
(a) 20πx 10-5 NA-2
(b) 21πx 10-5 NA-2
(c) 22π x 10-5 NA-2
(d) 24π x 10-5 NA-2
उत्तर-
(d) 24π x 10-5 NA-2
प्रश्न 28.
एक पतली चुम्बकीय सुई T आवर्तकाल वाले क्षैतिज तल में दोलन करती है। इसे n बराबर भागों में तोड़ा गया है। प्रत्येक भाग का .. आवर्तकाल क्या होगा?
(a) nT
(b) n2T
(c) \(\frac{T}{n}\)
(d) \(\frac{T}{n^{2}}\)
उत्तर-
(c) \(\frac{T}{n}\)
प्रश्न 29.
एक चुम्बकीय क्षेत्र 2 x 103 Am-1, किसी लोहे की छड़ में 8 TT
का चुम्बकीय फ्लकस घनत्व उत्पन्न करता है। छड़ की आपेक्षिक चुम्बकशीलता क्या होगी?
(a) 102
(b) 1
(c) 104
(d) 103
उत्तर-
(c) 104
(c) यहाँ, H= 2 x 103 A m-1, B = 8πT, µ0 = 4π x 10-7

![]()
प्रश्न 30.
निकिल कमरे के ताप पर लौहचुम्बकीय गुण दर्शाता है। यदि यह ताप क्यूरी ताप के परे वृद्धि करता है, तो यह दर्शाएगा –
(a) प्रति-लौहचुम्बकत्व
(b) कोई चुम्बकीय गुण नहीं
(c) प्रतिचुम्बकत्व
(d) अनुचुम्बकत्व
उत्तर-
(d) अनुचुम्बकत्व
प्रश्न 31.
किसी प्रतिचुम्बकीय पदार्थ की चुम्बकीय प्रवृत्ति
(a) ताप में वृद्धि के साथ बढ़ जाती है।
(b) ताप में कमी के साथ बढ़ जाती है।
(c) ताप में परिवर्तन के साथ नियत रहती है।
(d) इनमें से कोई नहीं।
उत्तर-
(c) ताप में परिवर्तन के साथ नियत रहती है।
प्रश्न 32.
एक प्रयोग में, यह पाया जाता है कि दिये गये पदार्थ की चुम्बकीय प्रवृत्ति एक से बहुत अधिक होती है। संभव पदार्थ है –
(a) प्रतिचुम्बकीय
(b) अनुचुम्बकीय
(c) लौहचुम्बकीय
(d) अचुम्बकीय
उत्तर-
(c) लौहचुम्बकीय
प्रश्न 33.
चुम्बकीय चुम्बक शीलता किसके लिए अधिकतम होती है ?
(a) लौहचुम्बकीय पदार्थ
(b) प्रतिचुम्बकीय पदार्थ
(c) अनुचुम्बकीय पदार्थ
(d) इनमें से सभी ।
उत्तर-
(a) लौहचुम्बकीय पदार्थ
![]()
प्रश्न 34.
किसी अनुचुम्बकीय पदार्थ के लिए चुम्बकीय प्रवृत्ति (y) एवं ताप (χ) एवं ताप (T) के मध्य सम्बन्ध के सबसे अच्छे प्रदर्शन को बताइए।

उत्तर-
(a)
प्रश्न 35.
लौहचुम्बकीय गुण से अनुचुम्बकीय गुण में संक्रमण का ताप कहलाता है –
(a) संक्रमण ताप
(b) क्रांतिक ताप
(c) क्यूरी ताप
(d) त्रिक ताप
उत्तर-
(c) क्यूरी ताप
प्रश्न 36.
लौहचुम्बकीय पदार्थों के सही समूह को चिन्हित करें।
(a) लोहा, कोबाल्ट एवं निकिल
(b) लोहा, ताँबा एवं सीसा
(c) सिलिकॉन, विस्मथ एवं निकिल
(d) ऐलुमिनियम, सोडियम एवं ताँबा
उत्तर-
(a) लोहा, कोबाल्ट एवं निकिल
![]()
प्रश्न 37.
अतिचालक पदार्थ की एक गेंद को नाइट्रोजन द्रव में डुबाया जाता है तथा छड़ चुम्बक के पास रखा जाता है। यह किस दिशा में घूमेगी?
(a) छड़ चुम्बक से दूर
(b) छड़ चुम्बक की ओर
(c) छड़ चुम्बक के चारों ओर
(d) नियत रहती है।
उत्तर-
(a) छड़ चुम्बक से दूर
प्रश्न 38.
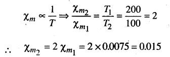
-73°C पर किसी अनुचुम्बकीय पदार्थ की चुम्बकीय प्रवृत्ति 0.0075 है, -173°C पर इसका मान होगा-
(a) 0.0045
(b) 0.0030
(c) 0.015
(d) 0.0075
उत्तर-
(c) 0.015
(c) यहाँ, χm1, = 0.0075, T1 = -73°C = (-73 + 273)K
= 200 K
T2 = – 173°C = (-173 + 273) K = 100 K,
χm2 = ?
चूँकि अनुचुम्बकीय पदार्थ के लिए, चुम्बकीय प्रवृत्ति

प्रश्न 39.
निम्न में से कौन-सा पदार्थ चल कुंडली धारामापी की क्रोड को
बनाने में प्रयुक्त होता है?
(a) ताँबा
(b) निकिल
(c) लोहा
(d) (a) एवं (b) दोनों
उत्तर-
(c) लोहा
![]()
प्रश्न 40.
1500 A m-1का चुम्बकीय क्षेत्र अनुप्रस्थ परिच्छेद के क्षेत्रफल 0.5 cm2 की किसी लोहे की छड़ में 2.4 x 10-5 वेबर का फ्लक्स उत्पन्न करता है। लोहे की छड़ की चुम्बकशीलता क्या होगी?
(a) 245
(b) 250
(c) 252
(d) 255
उत्तर-
(d) 255
प्रश्न 41.
किसी ट्रांसफार्मर की क्रोड के पदार्थ के लिए शैथिल्स चक्र होता
(a) छोटा एवं चौड़ा
(b) लम्बा एवं संकरा
(c) लम्बा एवं चौड़ा
(d) छोटा एवं संकरा
उत्तर-
(b) लम्बा एवं संकरा
प्रश्न 42.
प्रतिचुम्बकीय पदार्थों के लिए चुम्बकीय प्रवृत्ति एवं आपेक्षिक चुम्बकीय चुम्बकशीलता की परास होती है –
(a) -1 ≥ χ > 0,0 ≤ µr < 1
(b) -1 ≤ χ > 0,0 ≥ µr < 1
(c) -1 ≥ χ > 0,0 ≤ µr < 1
(d) -1 ≤ χ > 0,0 ≤ µr < 1
उत्तर-
(d) -1 ≤ χ > 0,0 ≤ µr < 1
प्रश्न 43.
अवशिष्ट चुम्बकत्व को शून्य करने के लिए विपरीत दिशा में . आरोपित आवश्यक चुम्बकन क्षेत्र को कहते हैं –
(a) धारणशीलता
(b) निग्राहिता
(c) शैथिल्य
(d) फ्लक्स
उत्तर-
(b) निग्राहिता
![]()