Bihar Board 12th Physics Objective Questions and Answers
Bihar Board 12th Physics Objective Answers Chapter 7 प्रत्यावर्ती धारा
![]()
प्रश्न 1.
एक प्रकाश बल्ब को 220 V ए.सी. सप्लाई के लिए 100 W पर नियत किया गया है। बल्ब का प्रतिरोध होगा –
(a) 284Ω
(b) 384Ω
(c) 484Ω
(d) 584Ω
उत्तर-
(c) 484Ω
प्रश्न 2.
प्रत्यावर्ती वोल्टता (V) को निम्न समीकरण द्वारा व्यक्त किया जाता है –
(a) V(t) = Vme ωt
(b) V(t) = Vm sin ωt
(c) V(t) =Vm cotωt
(d) V(t) =Vm tanωt
उत्तर-
(b) V(t) = Vm sin ωt
![]()
प्रश्न 3.
निम्न में से किस परिपथ में व्यय की गई अधिकतम शक्ति को प्रेक्षित किया गया है ?
(a) शुद्ध धारिता परिपथ
(b) शुद्ध प्रेरकीय परिपथ
(c) शुद्ध प्रतिरोधी परिपथ
(d) इनमें से कोई नहीं
उत्तर-
(c) शुद्ध प्रतिरोधी परिपथ
प्रश्न 4.
एक 100Ω के प्रतिरोधक को 220 V, 50 Hz की ए.सी. सप्लाई से जोड़ा जाता है। परिपथ में धारा का वर्गमाध्य मूल मान क्या होगा?
(a) 1.56 A
(b) 1.56 mA
(c) 2.2A
(d) 2.2 mA
उत्तर-
(c) 2.2A
प्रश्न 5.
किसी ए.सी. सप्लाई का शिखर मान 440V है, तो इसकी वर्ग माध्य मूल वोल्टता होगी –
(a) 31.11V
(b) 311.1 V
(c) 41.11 V
(d) 411.1 V
उत्तर-
(b) 311.1 V
प्रश्न 6.
किसी ए.सी. परिपथ में धारा का वर्ग माध्य मूल मान 25 A है, तो शिखर पर धारा होगी –
(a) 35.36 mA
(b) 35.36A
(c) 3.535 A
(d) 49.38 A
उत्तर-
(b) 35.36A
![]()
प्रश्न 7.
यदि V= 100 sin (100t) Vएवं \(I=100 \sin \left(100 t+\frac{\pi}{3}\right) \mathrm{m} \mathrm{A}\) वोल्टता एवं धारा के तात्क्षणिक मान हैं, तो वोल्टता एवं धारा के क्रमशः वर्ग माध्य मूल मान हैं-
(a) 70.7 V,70.7 mA
(b)70.7 V, 70.7A
(c) 141.4V, 141.4 mA
(d) 100 V, 100 mA
उत्तर-
(a) 70.7 V,70.7 mA
प्रश्न 8.
स्विच s को t= 0 पर बंद किया जाता है। पर्याप्त रूप से लम्बे समय के पश्चात् एक लोहे की छड़ को प्रेरक L में प्रवेश कराया जाता है, तो प्रकाश बल्ब –

(a) अधिक चमक के साथ दीप्त होता है।
(b) मन्द हो जाता है।
(c) समान चमक के साथ दीप्त होता है।
(d) क्षणिक रूप से धीमा हो जाता है और फिर अधिक चमक के साथ दीप्त होता है।
उत्तर-
(b) मन्द हो जाता है।
![]()
प्रश्न 9.
एक 44 mH के प्रेरक को 220 V, 50 Hz की ए.सी. सप्लाई से जोड़ा जाता है । परिपथ में धारा का वर्ग माध्य मूल मान क्या होगा?
(a) 12.8A
(b) 13.6A
(c) 15.9A
(d) 19.5 A
उत्तर-
(c) 15.9A
(c) यहाँ , L = 44 mH = 44 x 10-3 H;
Vrms = 220 V, υ = 100Hz
प्रेरकीया प्रतिघात, XL = WL
= 2πυL = 2 x 3.14 x 50 x 44 x 10-3 = 13.82Ω
∴ \(\mathrm{I}_{\mathrm{rms}}=\frac{\mathrm{V}_{\mathrm{rms}}}{X_{L}}=\frac{220}{13.82}=15.9 \mathrm{A}\)
प्रश्न 10.
एक आदर्श प्रेरक को बारी-बारी से 220 V,50 HZ एवं 220 V, 100 Hz सप्लाइयों में रखा जाता है। दोनों प्रकरणों में इसमें से प्रवाहित धारा होगी –
(a) बराबर
(b) भिन्न
(c) शून्य
(d) अनन्त
उत्तर-
(b) भिन्न
प्रश्न 11.
एक परिपथ 1Ω प्रतिरोध एवं 0.01 H प्रेरकत्व का बना है। एक प्रत्यावर्ती वोल्टता 50 HZ पर 200V को जोड़ा जाता है, तो परिपथ में धारा एवं वोल्टता के मध्य कलान्तर होगा –

उत्तर-
(a)
(a) tan Φ = \(\left(\frac{X_{L}}{R}\right)\)
XL =WL = (2πυL) = (2π) (50) (0.01) = πΩ
R = 1Ω ∴ Φ = tan-1(π)
![]()
प्रश्न 12.
एक 5µF के संधारित्र को 200 V,100 Hz के ए.सी. स्रोत से जोड़ा जाता है। धारिता प्रतिघात क्या होगा?
(a) 212Ω
(b) 312Ω
(c) 318Ω
(d) 412Ω
उत्तर-
(c) 318Ω
(c) यहाँ , C = 5μF = 5 x 10-6F, Vrms = 200 V, υ = 100 Hz

प्रश्न 13.
शुद्ध धारिता परिपथ में, यदि ए.सी. स्रोत की आवृत्ति दुगुनी हो, तो . उसका धारिता प्रतिघांत –
(a) समान रहेगा
(b) दुगुना होगा
(c) आधा होगा
(d) शून्यं होगा
उत्तर-
(c) आधा होगा
प्रश्न 14.
एक 60µF के संधारित्र को 110V (ms), 60 Hz की ए.सी. सप्लाई से जोड़ा जाता है। परिपथ में धारा का वर्ग माध्य मूल मान होगा
(a) 1.49 A
(b) 14.9.A
(c) 2.49 A
(d) 24.9A
उत्तर-
(c) 2.49 A
(c) यहाँ, C = 60 μF = 60 x 10-6 F
Vrms = 110V, υ= 66Hz

= 2 x 3.14 x 60 x 60 x 10-6 x 110 = 2.49A
![]()
प्रश्न 15.
अनुनादी आवृत्ति पर, श्रेणी LCR परिपथ में धारा का आयाम होगा –
(a) अधिकतम
(b) न्यूनतम
(c) शून्य
(d) अनंत
उत्तर-
(a) अधिकतम
प्रश्न 16.
एक 0.2kΩ प्रतिरोधक एवं 15μF के संधारित्र को 220V,50 Hz ए.सी. स्रोत से श्रेणीक्रम में जोड़ा जाता है। परिपथ की प्रतिबाधा होगी
(a) 250Ω
(b) 268Ω
(c) 29.15Ω
(d) 291.5Ω
उत्तर-
(d) 291.5Ω
(d) यहाँ, R = 0.2 kΩ = 200Ω, C = 15µF = 15 x 10-6F
Vrms = 220V, υ = 50Hz

प्रश्न 17.
एक श्रेणी LCR परिपथ में L = 30 mH, R=8Ω तथा अनुनादी आवृत्ति 50 Hz है। परिपथ का गुणांक गुणवत्ता (Q) क्या है ?
(a) 0.118
(b) 11.8
(c) 118
(d) 1.18
उत्तर-
(d) 1.18
(d) यहाँ, L= 30mH = 30 x 10-3H, R = 8Ω, υ = 50Hz
चूँकि wr = 2πυr = 2 x 3.14 x 50= 314Hz
गुणवत्ता गुणांक \(Q=\frac{\omega_{r} L}{R}=\frac{314 \times 30 \times 10^{-3}}{8}=1.18\)
![]()
प्रश्न 18.
श्रेणीक्रम में 20Ω प्रतिरोधक एवं.0.1μF संधारित्र वाले परिपथ को 100 rad s-1 कोणीय आवृत्ति के 230 V की ए.सी. सप्लाई से जोड़ा जाता है। परिपथ की प्रतिबाधा होगी –
(a) 105Ω
(b) 104Ω
(c) 106Ω
(d) 1010Ω
उत्तर-
(a) 105Ω
(a) यहाँ, R = 20Ω,C = 0.1µF= 0.1 x 10-6 F= 10-7F

प्रश्न 19.
LCR परिपथ में, यदि प्रतिरोध बढ़ता है, तो गणवत्ता गुणांक (Q)
(a) नियमित रूप से बढ़ता है
(b) नियमित रूप से घटता है
(c) नियत रहता है
(d) इनमें से कोई नहीं
उत्तर-
(b) नियमित रूप से घटता है
प्रश्न 20.
श्रेणी LCR परिपथ में, सप्लाई वोल्टता एवं धारा के मध्य कला कोण होगा –

उत्तर-
(a)
![]()
प्रश्न 21.
एक 40Ω प्रतिरोधक के साथ 100 uF के संधारित्र को 100 V,60 Hz सप्लाई से जोड़ा जाता है। परिपथ में अधिकतम धारा होगी
(a) 2.65 A
(b) 2.75A
(c) 2.85 A
(d) 2.95 A
उत्तर-
(d) 2.95 A
(d) यहाँ, C = 100 µF = 100 x 10-6 F = 10-4F,
R = 40Ω, Vrms = 100V, υ = 60 Hz


प्रश्न 22.
एक LCR श्रेणी ए.सी. परिपथ L,C एवं R में प्रत्येक 10 V वाले अनुनाद में है। यदि प्रतिरोध आधा हो जाये, तो L, C एवं R में क्रमशः वोल्टताएँ होंगी –
(a) 10 V, 10 V एवं 5 V
(b) 10 V, 10 V एवं 10 V
(c) 20V, 20 V एवं 5 V
(d) 20 V, 20 V एवं 10 V
उत्तर-
(d) 20 V, 20 V एवं 10 V
![]()
प्रश्न 23.
दर्शाये गये श्रेणी LCR परिपथ में प्रतिबाधा है –

(a) 200Ω
(b) 100Ω
(c) 300Ω
(d) 500 Ω
उत्तर-
(d) 500 Ω
प्रश्न 24.
श्रेणी अनुनादी LCR परिपथ में Q गुणांक = 0.4 है। यदि R= 2kΩ , C= 0.1 μF हो, तो प्रेरकत्व का मान होगा
(a) 0.1 H
(b) 0.064H
(c) 2H
(d) 5 H
उत्तर-
(b) 0.064H
(b) गुणवत्ता गुणांक \(Q=\frac{1}{R} \sqrt{\frac{1}{C}}\) या \(\frac{L}{C}=(Q R)^{2}\)
यहाँ,, Q = 0.4, R = 2 kΩ = 2 x 103 12, C = 0.1 µF
= 0.1 x 10-6 F
∴ L=(QR)2C
∴ L = (0.4 x 2 x 103)2 x 0.1 x 10-6 = 0.064 H.
![]()
प्रश्न 25.
किसी परिपथ में, L, C एवं R, आवृत्ति । के एक प्रत्यावर्ती वोल्टता स्रोत से श्रेणीक्रम में जुड़े हैं। धारा, वोल्टता से 45° अग्रगामी है। C का मान होगा –

उत्तर-
(d)
प्रश्न 26.
220 V की एक प्रत्यावर्ती सप्लाई को प्रतिरोध 222 एवं प्रतिबाधा 44 Ω के साथ किसी परिपथ में आरोपित किया जाता है। परिपथ में व्ययं हुई शक्ति क्या होगी?
(a) 1100 W
(b) 550 W
(c) 2200 W
(d) (2200/3)w
उत्तर-
(b) 550 W
प्रश्न 27.
क्वालिटी गुणांक एवं शक्ति गुणांक दोनों की विमाएँ निम्न में से किसके समान होंगी?
(a) समय
(b) आवृत्ति
(c) कार्य
(d) कोण
उत्तर-
(d) कोण
![]()
प्रश्न 28.
एक श्रेणी LCR परिपथ में, वोल्टता एवं धारा के मध्य कलान्तर 45° है, तो शक्ति गुणांक होगा
(a) 0.607
(b) 0.707
(c) 0.808
(d) 1
उत्तर-
(b) 0.707
प्रश्न 29.
एक आवेशित 30 µF के संधारित्र को 27 mH के प्रेरक से जोड़ा जाता है । परिपथ के मुक्त दोलनों की कोणीय आवृत्ति क्या होगी?
(a) 1.1 x 103 rad s-1
(b) 2.1 x 103 rads-1
(c) 3.1 x 103 rds-1
(d) 4.1 x 103 rads-1
उत्तर-
(a) 1.1 x 103 rad s-1
(a) यहाँ, C = 30 µF = 30 x 10-6F,
L= 27 mH = 27 × 10-3H

प्रश्न 30.
ट्रांसफॉर्मर में, परिणमन अनुपात 0.3 है। यदि 220 V ए.सी. प्राथमिक कुंडली में संचित होती है, तो द्वितीयक कुंडली में वोल्टता होगी
(a) 44V
(b) 55 V
(c) 60V
(d) 66 V
उत्तर-
(d) 66 V
![]()
प्रश्न 31.
वह राशि जो ट्रांसफॉर्मर में अपरिवर्तित रहती है, होती है
(a) वोल्टता
(b) धारा
(c) आवृत्ति
(d) इनमें से कोई नहीं
उत्तर-
(c) आवृत्ति
प्रश्न 32.
एक ट्रांसफॉर्मर की क्रोड किसे कम करने के लिए स्तरित (Laminated) बनायी जाती है ?
(a) फ्लक्स रिसाव
(b) शैथिल्य
(c) ताम्र हास
(d) भँवर धारा
उत्तर-
(d) भँवर धारा
प्रश्न 33.
एक ट्रांसफॉर्मर का उपयोग 240V ए.सी. मुख्य प्रणाल के 140W, 24V बल्ब को जलाने में किया जाता है। यदि मुख्य धारा 0.7A हो, तो ट्रांसफॉर्मर की दक्षता होगी –
(a) 63.8%
(b)74%
(c) 83.3%
(d) 48%
उत्तर-
(c) 83.3%
![]()
प्रश्न 34.
यदि किसी 50 Hz के ए.सी. परिपथ में वर्ग माध्य मूल धारा 5A हो, तो इसका मान शून्य होने के 1/300 सेकण्ड के पश्चात् धारा का मान होगा –
(a) \(5 \sqrt{2} \mathrm{A}\)
(b) \(5 \sqrt{\frac{3}{2}} \mathrm{A}\)
(c) \(\frac{5}{6} A\)
(d) \(\frac{5}{\sqrt{2}} \mathbf{A}\)
उत्तर-
(b) \(5 \sqrt{\frac{3}{2}} \mathrm{A}\)

प्रश्न 35.
एक जनित्र से किसी LCR श्रेणी में अनुनादी आवृत्ति को कम करने के लिए –
(a) जनित्र की आवृत्ति कम होनी चाहिए।
(b) अन्य संधारित्र को पहले में समानान्तर क्रम में जोड़ना चाहिए।
(c) प्रेरक के लोहे की क्रोड को हटाना चाहिए।
(d) संधारित्र में परावैद्युत को हटाना चाहिए।
उत्तर-
(b) अन्य संधारित्र को पहले में समानान्तर क्रम में जोड़ना चाहिए।
प्रश्न 36.
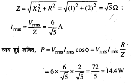
प्रतिघात 1 Ω के एक प्रेरक एवं प्रतिरोधक 22 को एक 6 V(rms) ए.सी. स्रोत के टर्मिनलों से श्रेणीक्रम में जोड़ा जाता है। परिपथ में अपव्यय हुई शक्ति होगी
(a) 8W
(b) 12w
(c) 14.4W
(d) 18w
उत्तर-
(c) 14.4W
(c) यहाँ, XL = 1Ω, R = 2 Ω, Vrms = 6V ufager at forate,

![]()
प्रश्न 37.
अपचायी ट्रांसफॉर्मर के निर्गत को तब 24V मापा जाता है जब उसे 12 वाट के प्रकाश बल्ब से जोड़ा जाता है। शिखर धारा का मान होगा –
\((a) \frac{1}{\sqrt{2}} \mathrm{A}
(b) \sqrt{2}^{\mathrm{A}}
(c) 2 \mathrm{A}
(d) 2 \sqrt{2} \mathrm{A}\)
उत्तर-
(a) \(\frac{1}{\sqrt{2}} \mathrm{A}\)
(a) यहाँ,, Vs = 24 V, Ps= 12 W \(I_{s}=\frac{P_{s}}{V_{s}}=\frac{12}{24}=0.5 \mathrm{A}\)
\(I_{m}=\sqrt{2} I_{s}=\sqrt{2} \times 0.5=\frac{1}{\sqrt{2}} \mathrm{A}\)