Bihar Board 12th Physics Objective Questions and Answers
Bihar Board 12th Physics Objective Answers Chapter 9 किरण प्रकाशिकी एवं प्रकाशिक यंत्र
प्रश्न 1.
प्रकाश की तरंगदैर्ध्य वर्णक्रम के……….भाग से संबंधित होती है।
(a) दृश्य
(b) पराबैंगनी
(c) अवरक्त
(d) (b) एवं
(c) दोनों
उत्तर-
(a) दृश्य
![]()
प्रश्न 2.
1m ऊँचाई का एक लड़का उत्तल दर्पण के सामने खड़ा है । दर्पण से उसकी दूरी फोकस दूरी के बराबर है। उसके प्रतिबिम्ब की ऊँचाई होगी-
(a) 0.25 m
(b) 0.33 m
(c) 0.5 m
(d) 0.67 m
उत्तर-
(c) 0.5 m
प्रश्न 3.
दाढ़ी बनाने वाले अवत्तल दर्पण की वक्रता त्रिज्या 35.0 cm है। यह इस प्रकार से स्थित है जिससे व्यक्ति के चेहरे का (सीधा) ..प्रतिबिम्ब चेहरे के आकार का 2.50 गुना हो जाता है। चेहरा से
दर्पण कितनी दूरी पर होगा ?
(a) 5.25 cm
(b) 21.0 cm
(c) 10.5 cm
(d) 42 cm
उत्तर-
(c) 10.5 cm
प्रश्न 4.
वक्रता त्रिज्या 20 cm के उत्तल दर्पण से किसी वास्तविक वस्तु के प्रतिबिम्ब की अधिकतम दूरी क्या हो सकती है?
(a) 10 cm
(b) 20 cm
(c) अनन्त
(d) शून्य
उत्तर-
(a) 10 cm
![]()
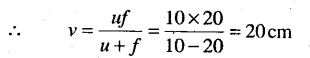
प्रश्न 5.
2 cm ऊँची एक वस्तु को अवतल दर्पण से 16 cm की दूरी पर रखा जाता है, तो 3 cm ऊँचा वास्तविक प्रतिबिम्ब बनाती है । दर्पण की फोकस दूरी क्या है ?
(a) -9.6 cm
(b) -3.6 cm
(c) -6.3 cm
(d) -8.3 cm
उत्तर-
(a) -9.6 cm
प्रश्न 6.
निम्न में से कौन-सा उस पुंज के लिए सही है जो माध्यम में प्रवेश करता है?
(a) बेलनाकार पुंज के रूप में गति करता है
(b) अपसरित
(c) अभिसरित
(d) अक्ष के निकट अपसरित तथा परिधि के निकट अभिसरित
उत्तर-
(c) अभिसरित
प्रश्न 7.
वायु से काँच में तथा वायु से जल में प्रकाश के अपवर्तन को चित्र
(i) तथा चित्र
(ii) में दर्शाया गया है। चित्र
(iii) में अपवर्तन के प्रकरण में कोण e का मान होगा –

(a) 30°
(b) 35°
(c) 60°
(d) 41°
उत्तर-
(b) 35°
![]()
प्रश्न 8.
आपतन कोण 60° पर एक बिन्दु पर आपतित किरण अपवर्तनांक √3 के काँच के गोले में प्रवेश करती है तथा यह गोले के आगे की सतह पर परावर्तित एवं अपवर्तित होती है। इस सतह पर परावर्तित एवं अपवर्तित किरणों के मध्य कोण होगा-
(a) 50°
(b) 60°
(c) 90°
(d) 40°
उत्तर-
(c) 90°

बिन्दु Q पर, r’2 = r2 = 30°
∴ α = 180°-(r’2 + r2) = 180°-(30°+60°) = 90°
प्रश्न 9.
मरीचिका किसके कारण होती है ?
(a) प्रकाश के अपवर्तन
(b) प्रकाश के परावर्तन
(c) प्रकाश के पूर्ण आन्तरिक परावर्तन
(d) प्रकाश के विवर्तन
उत्तर-
(c) प्रकाश के पूर्ण आन्तरिक परावर्तन
प्रश्न 10.
काँच का क्रांतिक कोण θ1 है तथा जल का क्रांतिक कोण θ2 जल एवं काँच के पृष्ठ के लिए क्रांतिक कोण होगा(µg = 3/2, µw = 4/3)
(a) θ2 से कम
(b) θ1 एवं θ2 के बीच
(c) θ2 से अधिक
(d) θ1 से कम
उत्तर-
(c) θ2 से अधिक
![]()
प्रश्न 11.
काँच के गोले में एक वायु का बुलबुला (µ = 1.5) 10 cm व्यास के उत्तल पृष्ठ से 3 cm की दूरी पर स्थित है । पृष्ठ से कितनी दूरी पर बुलबुला दिखाई देगा?
(a) 2.5cm
(b) -2.5 cm
(c) 5 cm .
(d) -5 cm
उत्तर-
(b) -2.5 cm
(b) चूंकि अपवर्तन सघन से विरल माध्यम में होता है,

प्रश्न 12.
प्रकाश का एक अभिसारी पुंज फोकस दूरी 0.2 m के अपसारी लेंस
से गुजरता है तथा लेंस के पीछे से 0.3 m फोकस पर आता है। उस बिन्दु की स्थिति जिस पर पुंज लेंस की अनुपस्थिति में अभिसरित होगा है
(a) 0.12 m
(b) 0.6m
(c)0.3 m
(d) 0.15 m
उत्तर-
(a) 0.12 m
प्रश्न 13.
दिये गये चित्र में, उभयोत्तल लेंस एवं उभयावतल लेंस दोनों के लिए वक्रीय पृष्ठ की वक्रता त्रिज्याएं 10 cm है तथा दोनों के लिए अपवर्तनांक 1.5 है।

लेंसों द्वारा सभी अपवर्तनों के पश्चात् अंतिम प्रतिबिम्ब की स्थिति होगी –
(a) 15 cm
(b) 20 cm
(c) 25 cm
(d) 40 cm
उत्तर-
(b) 20 cm
(b) समतलोत्तल लेंस की फोकस दूरी,

समतलोत्तल लेंस की फोकस दूरी,

– चूँकि समानान्तर पुंज लेंस पर आपतित होता है, समतलोत्तल लेंस से इसका प्रतिबिम्ब इससे (फोकस पर) + 20 cm पर बनेगा तथा यह समतलोत्तल लेंस के लिए वस्तु के रूप में कार्य करेगा । चूँकि दो लेंस एक-दूसरे से 10 cm की दूरी पर हैं, इसलिए, अगले लेंस के लिए u = + 10 cm .

![]()
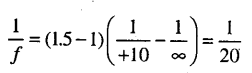
प्रश्न 14.
एक द्विउत्तल लेंस की फोकस दूरी, अन्य किसी भी एक पृष्ठ की वक्रता त्रिज्या की 2/3 गुनी है। लेंस के पदार्थ का अपवर्तनांक होगा-
(a) 1.75
(b) 1.33
(c) 1.5
(d) 1.0
उत्तर-
(a) 1.75

प्रश्न 15.
एक व्यक्ति की स्पष्ट दृष्टि की दूरी 50 cm है। वह 25 cm पर रखी पुस्तक को पढ़ना चाहता है । चश्मे की फोकस दूरी क्या होनी चाहिए?
(a) 25 cm
(b) 50 cm
(c) 75cm
(d) 100 cm
उत्तर-
(b) 50 cm
(b) यहाँ, u = -25 cm,v = -50 cm
\(\frac{1}{f}=\frac{1}{v}-\frac{1}{u}=\frac{1}{-50}+\frac{1}{25}=\frac{1}{50}\)
∴ f = +50 cm
प्रश्न 16.
द्विउत्तल लेंस की क्षमता 10 डाइऑप्टर है तथा प्रत्येक पृष्ठ की वक्रता त्रिज्या 10 cm है, तो लेंस के पदार्थ का अपवर्तनांक होगा
(a) 3/2
(b) 4/3
(c) 9/8
(d) 5/3
उत्तर-
(a) 3/2


प्रश्न 17.
उभयोत्तल लेंस दोनों फलकों पर समान वक्रता त्रिज्या के साथ तथा 1.55 अपवर्तनांक के काँच से निर्मित हैं । यदि फोकस दूरी 20 cm है तो आवश्यक वक्रता त्रिज्या क्या होगी?
(a) 11 cm
(b) 22 cm
(c) 7 cm
(d) 6 cm
उत्तर-
(b) 22 cm

![]()
प्रश्न 18.
एक पतला काँच (अपवर्तनांक 1.5) के लेंस की वायु में -8D प्रकाशीय क्षमता है। अपवर्तनांक 1.6 वाले द्रव माध्यम में इसकी प्रकाशीय क्षमता होगी –
(a) 1D
(b) -1D
(c) 25 D
(d) -25 D
उत्तर-
(a) 1D
प्रश्न 19.
यदि उत्तल पृष्ठ की वक्रता त्रिज्या 10 cm है तथा लेंस की फोकस दूरी 30 cm है, तो समतलोत्तल लेंस के पदार्थ का अपवर्तनांक क्या होगा?
(a) 6/5
(b) 7/4
(c) 2/3
(d) 4/3
उत्तर-
(d) 4/3
प्रश्न 20.
एक अभिसारी लेंस को पर्दे पर एक प्रतिबिम्ब बनाने में प्रयुक्त किया जाता है । जब लेंस का ऊपरी भाग किसी अपारदर्शी पर्दे से . ढक दिया जाये तो
(a) प्रतिबिम्ब का आधा भाग अदृश्य हो जायेगा ।
(b) पूरा प्रतिबिम्ब अदृश्य हो जायेगा।
(c) प्रतिबिम्ब की तीव्रता घटेगी ।
(d) प्रतिबिम्ब की तीव्रता बढ़ेगी।
उत्तर-
(c) प्रतिबिम्ब की तीव्रता घटेगी ।
![]()
प्रश्न 21.
निम्न में से कौन-सा वस्तु की सभी स्थितियों के लिए आभासी एवं | सीधा प्रतिबिम्ब बनाता है ?
(a) अवतल लेंस
(b) अवतल दर्पण
(c) उत्तल दर्पण
(d) (b) एवं (c) दोनों
उत्तर-
(d) (b) एवं (c) दोनों
प्रश्न 22.
किसी गोले के पृष्ठ पर स्थित एक निशान विपरीत स्थिति से काँच में से दिखाई देता है। यदि गोले का व्यास 10 cm है तथा काँच का अपवर्तनांक 1.5 है। प्रतिबिम्ब की स्थिति होगी- .
(a) -20 cm
(b) 30 cm
(c) 40 cm
(d) – 10 cm
उत्तर-
(a) -20 cm
![]()
प्रश्न 23.
एक उत्तल लेंस को एक ऐसे द्रव में डुबाया जाता है जिसका अपवर्तनांक लेंस के अपवर्तनांक के बराबर है। इसकी फोकस दूरी होगी –
(a) शून्य
(b) अनन्त
(c) छोटी किन्तु अशून्य
(d) अपरिवर्तित रहेगी
उत्तर-
(b) अनन्त
प्रश्न 24.
प्रिज्म के कोण π/3 के लिए न्यूनतम विचलन कोण 7/6 है। यदि निर्वात में प्रकाश का वेग 3 × 108 ms-1 है, तो प्रिज्म के पदार्थ में प्रकाश का वेग होगा
(a) 2.12 × 108 ms-1
(b) 1.12 × 108 ms-1
(c) 4.12 × 108 ms-1
(d) 5.12 × 108 ms-1
उत्तर-
(a) 2.12 × 108 ms-1

![]()
प्रश्न 25.
लाल एवं बैंगनी रंग के दो पुंजों को प्रिज्म (प्रिज्म का कोण 60° है) में से पृथक रूप से गुजारा जाता है। न्यूनतम विचलन की स्थिति में, अपवर्तन कोण होगा –
(a) दोनों रंगों के लिए 30°
(b) बैंगनी रंग के लिए अधिक
(c) लाल रंग के लिए अधिक
(d) बराबर किन्तु दोनों रंगों के लिए 30° नहीं
उत्तर-
(a) दोनों रंगों के लिए 30°
प्रश्न 26.
एक छोटे कोण का प्रिज्म (µ = 1.62)4.8° का विचलन देता है। प्रिज्म का कोण होगा-.
(a) 5°
(b) 6.36°
(c) 3°
(d) 7.74°
उत्तर-
(d) 7.74°

प्रश्न 27.
एक काँच के प्रिज्म (µ = √3) के लिए न्यूनतम विचलन का कोण प्रिज्म के कोण के बराबर है। प्रिज्म का कोण होगा –
(a) 45°
(b) 30°
(c) 90°
(d) 60°
उत्तर-
(d) 60°


![]()
प्रश्न 28.
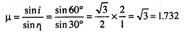
प्रकाश की एक किरण 30° कोण के प्रिज्म के एक पृष्ठ पर 60° के कोण पर आपतित होती है तथा निर्गत किरण, आपतित किरण के साथ 30° का कोण बनाती है। प्रिज्म का अपवर्तनांक होगा –
(a) 1.732
(b) 1.414
(c) 1.5
(d) 1.33
उत्तर-
(a) 1.732
(a)

यहाँ, i = 60°, A = 30°,δ = 30°
चूँकि i=e = A+δ
e = A + δ – 1 = 30° + 30° – 60°, e=0°
अतः निर्गत किरण पृष्ठ के लम्बवत् है।

e= 0° = r2= 0° चूँकि r1 + 2 = A
r1 = A-r2 = 30° -0° = 30°

प्रश्न 29.
निम्न में से कौन-सा श्वेत प्रकाश का रंग जब प्रिज्म में से गुजरता है तो अधिक विचलित होता है ?
(a) लाल प्रकाश
(b) बैंगनी प्रकाश
(c) पीला प्रकाश
(d) (a) एवं (b) दोनों
उत्तर-
(b) बैंगनी प्रकाश
प्रश्न 30.
जब प्रकाश की किरणें वर्षा की बूंदों के अंदर दो आंतरिक परावर्तन का अनुभव करती है, तो निम्न में से कौन-सा इन्द्रधनुष बनता है ?
(a) प्राथमिक इन्द्रधनुष
(b) द्वितीयक इन्द्रधनुष
(c) (a) एवं (b) दोनों
(d) कह नहीं सकते ।
उत्तर-
(b) द्वितीयक इन्द्रधनुष
प्रश्न 31.
एक संयुक्त सूक्ष्मदर्शी के अभिदृश्यक लेंस की फोकस दूरी 1.0 cm तथा नेत्रिका की फोकस दूरी 2.0 cm एवं नली की लम्बाई 20 cm है, तो आवर्धन होगा –
(a) 100
(b) 200
(c) 250
(d) 300
उत्तर-
(c) 250
![]()
प्रश्न 32.
एक छोटे दूरदर्शी के अभिदृश्यक लेंस की फोकस दूरी 144 cm एवं नेत्रिका की फोकस दूरी 6.0 cm है । अभिदृश्यक एवं नेत्रिका के बीच की दूरी क्या होगी?
(a) 0.75 m
(b) 1.38 m
(c) 1.0m
(d) 1.5 m
उत्तर-
(d) 1.5 m
(d) अभिदृश्यक एवं नेत्रिका के बीच की दूरी = दूरदर्शी नली की लम्बाई
f = f0 + fe
यहाँ f0 = 144 cm = 1.44 cm
fe = 6.0 cm = 0.06 m ∴ f = 1.44 + 0.06 = 1.5
प्रश्न 33.
एक खगोलीय अपवर्तक दूरदर्शी के अभिदृश्यक की फोकस दूरी 20 m तथा नेत्रिका की फोकस दूरी 2 cm है, तो। \
(a) आवर्धन 1000 है।
(b) दूरदर्शी की नली की लम्बाई 20.02 m है।
(c) बना प्रतिबिम्ब उल्टा होता है।
(d) इनमें से सभी।
उत्तर-
(d) इनमें से सभी।
(d) सामान्य समायोजन में, दूरदर्शी नली की लम्बाई, L = f0 + fe
यहाँ, f0 = 20 m एवं fe = 2 cm = 0.02 m
∴ L = 20 + 0.02 = 20.02 m एवं आवर्धन,
\(m=\frac{f_{o}}{f_{e}}=\frac{20}{0.02}=1000\)
बना प्रतिबिम्ब वस्तु के सापेक्ष उल्टा है ।
![]()
प्रश्न 34.
एक प्रयोगशाला में बड़े अपवर्तक दूरदर्शी के अभिदृश्यक लेंस की फोकस दूरी 15 m है । यदि नेत्रिका की फोकस दूरी 1.0 cm प्रयुक्त होती है, तो दूरदर्शी का कोणीय आवर्धन क्या होगा?
(a) 1000
(b) 1500
(c) 2000
(d) 3000
उत्तर-
(b) 1500
(b) यहाँ, f0 = 15 m = 15 × 102 cm, fe = 1.0 cm
∴ आवर्धन, \(n=\frac{f_{o}}{f_{e}}=\frac{15 \times 10^{2}}{1}, m=1500\)
प्रश्न 35.
पानी के अंदर गोताखोरी करने वाला एकदम स्पष्ट पानी में भी स्पष्ट रूप से नहीं देख सकता है
(a) पानी में प्रकाश के अवशोषण के कारण
(b) पानी में प्रकाश के प्रकीर्णन के कारण
(c) पानी में प्रकाश की चाल के कम होने के कारण
(d) आँख के लेंस की फोकस दूरी में परिवर्तन के कारण
उत्तर-
(d) आँख के लेंस की फोकस दूरी में परिवर्तन के कारण
प्रश्न 36.
विभिन्न दूरियों पर विभिन्न वस्तुओं को आँख के द्वारा देखा जाता है। वह पैरामीटर जो नियत रहता है, है –
(a) आँख के लेंस की फोकस दूरी
(b) आँख के लेंस से वस्तु की दूरी
(c) आँख के लेंस की वक्रता त्रिज्याएँ .
(d) आँख के लेंस से प्रतिबिम्ब की दूरी
उत्तर-
(d) आँख के लेंस से प्रतिबिम्ब की दूरी
![]()
प्रश्न 37.
वस्तु के सापेक्ष खगोलीय दूरदर्शी में अंतिम प्रतिबिम्ब होगा
(a) आभासी एवं सीधा
(b) वास्तविक एवं सीधा
(c) वास्तविक एवं उल्टा
(d) आभासी एवं उल्टा
उत्तर-
(d) आभासी एवं उल्टा
प्रश्न 38.
पृथ्वी अपनी अक्ष के परितः एक.बार घूर्णन करने के लिए 24 h लेती है। धरती से देखे जाने पर 1° के विस्थापन में सूर्य के द्वारा लिया गया समय सेकण्ड में है
(a) 120s
(b) 240s
(c) 480s
(d) 60s
उत्तर-
(b) 240s
प्रश्न 39.
एक कोण θ पर दो दर्पण किसी बिन्दु के 5 प्रतिबिम्ब बनाते हैं। जब θ को θ – 30° कम किया जाता है, तो बने हुए प्रतिबिम्बों की संख्या होगी-
(a) 9
(b) 10
(c) 11
(d) 12
उत्तर-
(c) 11

![]()
प्रश्न 40.
एक प्रिज्म के अपवर्तक पृष्ठ पर कोण e पर आपतित प्रकाश की किरण सामान्यतः दूसरे पृष्ठ से निर्गत होती है। यदि प्रिज्म का कोण 5° है तथा प्रिज्म अपवर्तनांक 1.5 के पदार्थ का बना है, तो आपतन कोण (Angle of incidence) होगा –
(a) 7.5°
(b) 5°
(c) 150
(d) 2.5°
उत्तर-
(a) 7.5°
(a) प्रश्नानुसार, सामान्य रूप से प्रिज्म के अन्य पृष्ठ से किरण निर्गत होती है,
∴ द्वितीयक पृष्ठ पर आपतन कोण, r’ = 0°
अब, r + r’ = A ⇒ r = A – r’ = 5°- 0°= 5°
स्नेल के नियम से, \(\mu=\frac{\sin i}{\sin r}\)
या, sini = μsinr = 1.5 × sin5° = 0.131
⇒ θ = i = sin-1 (0.131) = 7.5

प्रश्न 41.
श्वेत प्रकाश की एक छोटी सी स्पंद हवा से काँच के गुटके पर लंबवत् आपतित होती है । गुटके में से गुजरने के पश्चात् निर्गत होने वाला पहला रंग होगा –
(a) नीला
(b) हरा
(c) बैंगनी
(d) लाल
उत्तर-
(d) लाल
प्रश्न 42.
एक अवतल दर्पण पर आपतित प्रकाश की किरण की दिशा को PQ द्वारा दर्शाया गया है जबकि वे दिशाएँ जिनमें किरण परावर्तन के पश्चात् गति करेगी, उन्हें 1,2,3 एवं 4 चिह्नित चार किरणों के द्वारा दर्शाया गया है। चार किरणों में से कौन-सी परावर्तित किरण की दिशा को सही रूप से दर्शाती है ?

(a) 1
(b) 2
(c) 3
(d) 4
उत्तर-
(b) 2
(b) गोलीय दर्पणों में, दर्पण के फोकस में से गुजरने वाली आपतित किरण परावर्तन के पश्चात् मुख्य अक्ष के समान्तर हो जाती है, जिसे किरण 2 द्वारा दर्शाया गया है।
![]()