Bihar Board Class 10 Maths Solutions Chapter 12 वृतों से संबंधित क्षेत्रफल Additional Questions and Answers.
BSEB Bihar Board Class 10 Maths Solutions Chapter 12 वृतों से संबंधित क्षेत्रफल Additional Questions
Bihar Board Class 10 Maths वृतों से संबंधित क्षेत्रफल Additional Questions
बहुविकल्पीय प्रश्न
प्रश्न 1.
यदि R1 और R2 त्रिज्याओं वाले दो वृत्तों के क्षेत्रफलों का योग त्रिज्या R वाले वृत्त के क्षेत्रफल के बराबर हो, तो
(i) R1 + R2 = R
(ii) \(R_{1}^{2}+R_{2}^{2}=R^{2}\)
(iii) R1 + R2 < R
(iv) \(R_{1}^{2}+R_{2}^{2}<R^{2}\)
हल
(ii) \(R_{1}^{2}+R_{2}^{2}=R^{2}\)
प्रश्न 2.
यदि R1 और R2 त्रिज्याओं वाले दो वृत्तों की परिधियों का योग त्रिज्या R वाले एक वृत्त की परिधि के बराबर हो, तो
(i) R1 + R2 = R
(ii) R1 + R2 > R
(iii) R1 + R2 < R
(iv) R1, R2 और R के बीच सम्बन्ध के बारे में निश्चित रूप से कुछ नहीं कहा जा सकता।
हल
(i) R1 + R2 = R
![]()
प्रश्न 3.
यदि एक वृत्त की परिधि और एक वर्ग का परिमाप बराबर है, तो
(i) वृत्त का क्षेत्रफल = वर्ग का क्षेत्रफल
(ii) वृत्त का क्षेत्रफल > वर्ग का क्षेत्रफल
(iii) वृत्त का क्षेत्रफल < वर्ग का क्षेत्रफल
(iv) वृत्त और वर्ग के क्षेत्रफलों के बीच के सम्बन्ध में निश्चित रूप से नहीं कहा जा सकता।
हल
(ii) वृत्त का क्षेत्रफल > वर्ग का क्षेत्रफल
प्रश्न 4.
त्रिज्या r के अर्धवृत्त के अन्तर्गत खींचे जा सकने वाले सबसे बड़े त्रिभुज का क्षेत्रफल है
(i) r2
(ii) \(\frac{1}{2}\) r2
(iii) 2r2
(iv) √2r2
हल
(i) r2
![]()
प्रश्न 5.
यदि एक वृत्त का परिमाप का एक वर्ग के परिमाप के बराबर है, तो उनके क्षेत्रफलों का अनुपात है
(i) 22 : 7
(ii) 14 : 11
(iii) 7 : 22
(iv) 11 : 14
हल
(ii) 14 : 11
प्रश्न 6.
किसी स्थान पर 16 m और 12 m व्यास वाले दो वृत्ताकार पार्को के क्षेत्रफलों के योग के बराबर क्षेत्रफल का एक अकेला साकार पार्क बनाने का प्रस्ताव है। नये पार्क की त्रिज्या होगी।
(i) 10 m
(ii) 15 m
(iii) 20 m
(iv) 24 m
हल
(i) 10 m
![]()
प्रश्न 7.
भुजा 6 cm वाले एक वर्ग के अन्तर्गत खींचे जा सकने वाले वृत्त का क्षेत्रफल है
(i) 36π cm2
(ii) 18π cm2
(iii) 12π cm2
(iv) 9π cm2
हल
(iv) 9π cm2
प्रश्न 8.
त्रिज्या 8 cm वाले एक वृत्त के अन्तर्गत खींचे जा सकने वाले वर्ग का क्षेत्रफल है
(i) 256 cm2
(ii) 128 cm2
(iii) 64√2 cm2
(iv) 64 cm2
हल
(ii) 128 cm2
![]()
प्रश्न 9.
व्यासों 36 cm और 20 cm वाले दो वृत्तों की परिधियों के योग के बराबर परिधि वाले एक वृत्त की त्रिज्या है.
(i) 56 cm
(ii) 42 cm
(iii) 28 cm
(iv) 16 cm
हल
(iii) 28 cm
प्रश्न 10.
त्रिज्याओं 24 cm वाले और 7 cm वाले दो वृत्तों के क्षेत्रफलों के योग के बराबर क्षेत्रफल वाले एक वृत्त का व्यास है।
(i) 31 cm
(ii) 25 cm
(iii) 62 cm
(iv) 50 cm
हल
(iv) 50 cm
![]()
प्रश्न 11.
यदि त्रिज्या r वाले एक वृत्त का एक त्रिज्यखण्ड का कोण (डिग्री में) θ है, त्रिज्यखण्ड का क्षेत्रफल है
(i) \(\frac{\pi r^{2} \theta}{360^{\circ}}\)
(ii) \(\frac{\pi r^{2} \theta}{180^{\circ}}\)
(iii) \(\frac{2 \pi r \theta}{360^{\circ}}\)
(iv) \(\frac{2 \pi r \theta}{180^{\circ}}\)
हल
(i) \(\frac{\pi r^{2} \theta}{360^{\circ}}\)
प्रश्न 12.
यदि एक वृत्त का क्षेत्रफल 154 cm2 हैं, तो उसका परिमाप है
(i) 11 cm
(ii) 22 cm
(iii) 44 cm
(iv) 55 cm
हल
(iii) 44 cm
अतिलघु उत्तरीय प्रश्न
प्रश्न 1.
7 cm त्रिज्या वाले वृत्त के एक त्रिज्यखण्ड का क्षेत्रफल ज्ञात कीजिए जिसका कोण 90° है।
हल
दिया है, वृत्त की त्रिज्या = 7 cm
तथा त्रिज्यखण्ड कोण, (θ) = 90°
त्रिज्यखण्ड का क्षेत्रफल

![]()
प्रश्न 2.
दो वृत्तों की परिधियों का अनुपात 2 : 3 है, उनकी त्रिज्याओं का अनुपात ज्ञात कीजिए।
हल
माना वृत्तों की त्रिज्याएँ क्रमशः r1 तथा r2 हैं, तब इनकी परिधियाँ क्रमश: 2πr1 तथा 2πr2 होंगी।
प्रश्नानुसार, परिधियों का अनुपात = 2 : 3
⇒ 2πr1 : 2πr2 = 2 : 3
⇒ r1 : r2 = 2 : 3
अत: त्रिज्याओं का अनुपात 2 : 3 है।
प्रश्न 3.
आकृति में, चाप AB की लम्बाई सेमी में ज्ञात कीजिए।

हल
दिया है, OA = OB = 28 cm तथा θ = 45°

लघु उत्तरीय प्रश्न
प्रश्न 1.
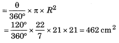
21 सेमी त्रिज्या वाले एक वृत्त का चाप केन्द्र पर 120° का कोण अन्तरित करता है। चाप द्वारा बने त्रिज्यखण्ड का क्षेत्रफल ज्ञात कीजिए।
हल
दिया है, वृत्त की त्रिज्या (r) = 21 cm
त्रिज्यखण्ड का कोण (θ) = 120°
त्रिज्यखण्ड का क्षेत्रफल

अत: चाप द्वारा बने त्रिज्यखण्ड का क्षेत्रफल = 462 cm2
![]()
प्रश्न 2.
आकृति में, 35 m त्रिज्या वाले एक वृत्ताकार बाग का केन्द्र O है। इसके छायांकित भाग में पत्थर बिछाने का व्ययर 75.0 प्रति वर्ग मीटर की दर से ज्ञात कीजिए ∠AOB = 120° है।

हल
दिया है, r = 35 m तथा θ = 120°
त्रिज्यखण्ड (छायांकित भाग) का क्षेत्रफल

अतः पत्थर बिछाने का व्यय = ₹ 96250
प्रश्न 3.
त्रिज्या 4 cm वाले एक वृत्त के त्रिज्यखण्ड का क्षेत्रफल ज्ञात कीजिए, जिसका कोण 60° है। संगत दीर्घ त्रिज्यखण्ड का क्षेत्रफल भी ज्ञात कीजिए। (π = 3.14)

हल
दिया है, त्रिज्या (r) = 4 cm तथा त्रिज्याखण्ड का कोण (θ) = 60°
त्रिज्यखण्ड OAPB का क्षेत्रफल = \(\frac{\theta}{360^{\circ}} \times \pi r^{2}\)
= \(\frac{60^{\circ}}{360^{\circ}}\) × 3.14 × 4 × 4
= 8.37 cm2
संगत दीर्घ त्रिज्यखण्ड का क्षेत्रफल = (वृत्त का क्षेत्रफल – त्रिज्यखण्ड OAPBO का क्षेत्रफल)
= πr2 – 8.37
= 3.14 × 4 × 4 – 8.37
= 50.24 – 8.37
= 41.87 cm2
अत: वृत्त के त्रिज्यखण्ड का क्षेत्रफल = 8.37 cm2
तथा संगत दीर्घ त्रिज्यखण्ड का क्षेत्रफल = 41.87 cm2
![]()
प्रश्न 4.
संलग्न आकृति में छायांकित क्षेत्र का क्षेत्रफल ज्ञात कीजिए, जहाँ ABCD भुजा 14 cm का एक वर्ग है।

हल
दिया है, वर्ग की भुजा = 14 cm
वर्ग ABCD का क्षेत्रफल = (14 × 14) cm2 = 196 cm2

अतः छायांकित क्षेत्र का क्षेत्रफल = (196 – 154) cm2 = 42 cm2
प्रश्न 5.
आकृति में, PQ = 12 cm, RP = 9 cm और O वृत्त का केन्द्र है। छायांकित भाग का क्षेत्रफल ज्ञात कीजिए। (π = 3.14)

हल
अर्द्धवृत्त PQORP का क्षेत्रफल = \(\frac{1}{2} \pi r^{2}\)
हम जानते हैं कि अर्द्धवृत्त में स्थित कोण समकोण होता है।
पाइथागोरस प्रमेय से,
∠QPR = 90°
RQ2 = PQ2 + RP2 = (12)2 + (9)2 = 144 + 81 = 225
⇒ RQ = 15 cm
RQ वृत्त का व्यास है।
वृत की त्रिज्या (OQ) = OR = \(\frac{15}{2}\) cm
अर्द्धवृत्त का क्षेत्रफल = \(\frac{1}{2}\) π (OQ)2
= \(\frac{1}{2} \times \frac{22}{7} \times \frac{15}{2} \times \frac{15}{2}\)
= \(\frac{4950}{56}\)
= 88.4 cm2
समकोण ΔPQR का क्षेत्रफल = \(\frac {1}{2}\) × PQ × PR
= \(\frac {1}{2}\) × 12 × 9
= 54 cm2
अत: छायांकित भाग का क्षेत्रफल = अर्द्धवृत्त का क्षेत्रफल – ΔPQR का क्षेत्रफल
= (88.4 – 54) cm2
= 34.4 cm2
![]()
प्रश्न 6.
आकृति में, AC = 8cm, BC = 6 cm और O वृत्त का केन्द्र है। छायांकित भाग का क्षेत्रफल ज्ञात कीजिए। (π = 3.14)

हल
अर्द्धवृत्त CBOAC का क्षेत्रफल = \(\frac{1}{2} \pi r^{2}\)
हम जानते हैं कि अर्द्धवृत्त में स्थित कोण समकोण होता है।
पाइथागोरस प्रमेय से, ∠ACB = 90°
AB2 = BC2 + CA2 = (6)2 + (8)2 = 36 + 64 = 100
⇒ AB = 10 cm
वृत्त की त्रिज्या, OA = OB = \(\frac{A B}{2}=\frac{10}{2}\) = 5 cm
अब, अर्द्धवृत्त का क्षेत्रफल = \(\frac{1}{2}\) π (OA)
= \(\frac{1}{2}\) × 3.14 × 5 × 5
= 1.57 × 5 × 5
= 39.25 cm2
समकोण ∆ABC का क्षेत्रफल = \(\frac{1}{2}\) × 5 × 5 =12.5 cm2
अत: छायांकित भाग का क्षेत्रफल = अर्द्धवृत्त का क्षेत्रफल – ΔABC का क्षेत्रफल
= (39.25 – 12.50) cm2
= 26.75 cm2
दीर्घ उत्तरीय प्रश्न
प्रश्न 1.
आकृति में, AB और CD केन्द्र O तथा त्रिज्याओं 15 सेमी वाले दो सकेन्द्रीय वृत्तों के क्रमशः दो चाप हैं, यदि ∠AOB = 60°, तो छायांकित भाग का क्षेत्रफल ज्ञात कीजिए।

हल

अतः छायांकित भाग का क्षेत्रफल 99 cm2 है।
![]()
प्रश्न 2.
दी गई आकृति से लघु वृत्तखण्ड का क्षेत्रफल ज्ञात कीजिए यदि ∠AOB = 120° और वृत्त की त्रिज्या OA = 21 cm

हल
दिया है, वृत्त की त्रिज्या (R) = OA = 21 cm और θ = ∠AOB = 120°
त्रिज्यखण्ड AOBA का क्षेत्रफल

∆OAB के क्षेत्रफल के लिए :

∆OAB में, OA = OB
अर्थात् ∆OAB समद्विबाहु त्रिभुज है
शीर्ष O से AB पर लम्ब OD खींचा जो AB को समद्विभाजित करेगा, क्योंकि AB वृत्त की जीवा भी है और लम्ब OD वृत्त के केन्द्र से जाता है।
तब, ∆OAD में, ∠AOD = 60° और ∠OAD = 30° तथा ∠ADO = 90°
समकोण ∆OAD में,

अब, लघु वृत्तखण्ड का क्षेत्रफल = त्रिज्यखण्ड AOBA का क्षेत्रफल – ∆OAB का क्षेत्रफल
= (462 – \(\frac{441}{4}\) √3) cm2
= (462 – 110.25 × √3) cm2
= (462 – 110.25 × 1.732) cm2
= (462 – 190.953) cm2
= 271.047 cm2
अत: लघु वृत्तखण्ड का क्षेत्रफल = 271.047 cm2
![]()
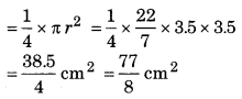
प्रश्न 3.
दी गई आकृति में, OACB केन्द्र O और व्यास 7 cm वाले एक वृत्त का चतुर्थांश है। यदि OD = 2 cm है तो छायांकित भाग के क्षेत्रफल ज्ञात कीजिए।

हल
दिया है, वृत्त का व्यास = 7 cm
वृत्त की त्रिज्या (r) = 3.5 cm, OD = 2 cm
वृत्त के चतुर्थांश OACB का क्षेत्रफल

अत: चतुर्थांश OACB का क्षेत्रफल = \(\frac{77}{8}\) cm2
अब छायांकित भाग का क्षेत्रफल = (चतुर्थांश OACB का क्षेत्रफल – ∆OBD का क्षेत्रफल)

अत: छायांकित भाग का क्षेत्रफल = \(\frac{49}{8}\) cm2