Bihar Board Class 10 Maths Solutions Chapter 12 वृतों से संबंधित क्षेत्रफल Ex 12.3 Text Book Questions and Answers.
BSEB Bihar Board Class 10 Maths Solutions Chapter 12 वृतों से संबंधित क्षेत्रफल Ex 12.3
Bihar Board Class 10 Maths वृतों से संबंधित क्षेत्रफल Ex 12.3
(जब तक अन्यथा न कहा जाए, π = \(\frac {22}{7}\) का प्रयोग कीजिए)
प्रश्न 1.
दी गई आकृति में छायांकित भाग का क्षेत्रफल ज्ञात कीजिए, यदि PQ = 24 cm, PR = 7 cm तथा O वृत्त का केन्द्र है।

हल
दिया है, PQ = 24 cm, PR = 7 cm
O वृत्त का केन्द्र है।
QR व्यास है।
तब, वृत्त की त्रिज्या (r) = \(\frac{Q R}{2}\)
∆PQR समकोणीय होगा क्योंकि अर्द्धवृत्त में बना कोण समकोण होता है।
तब, समकोण ∆PQR में, [∵ ∠QPR = 90°]
पाइथागोरस प्रमेय से,
QR2 = PQ2 + PR2
= (24)2 + (7)2
= 576 + 49
= 625

![]()
प्रश्न 2.
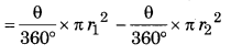
दी गई आकृति में, छायांकित भाग का क्षेत्रफल ज्ञात कीजिए, यदि केन्द्र O वाले दोनों संकेन्द्रीय वृत्तों की त्रिज्याएँ क्रमशः 7 cm और 14 cm हैं तथा ∠AOC = 40° है।

हल
दिया है, बड़े वृत्त की त्रिज्या (r1) = 14 cm और छोटे वृत्त की त्रिज्या (r2) = 7 cm
त्रिज्यखण्ड का कोण (θ) = 40°
छायांकित भाग का क्षेत्रफल
= त्रिज्यखण्ड OAC का क्षेत्रफल – त्रिज्यखण्ड OBD का क्षेत्रफल


अत: छायांकित भाग का क्षेत्रफल = \(\frac{154}{3}\) cm2
प्रश्न 3.
दी गई आकृति में, छायांकित भाग का क्षेत्रफल ज्ञात कीजिए, यदि ABCD भुजा 14 cm का एक वर्ग है तथा APP और BPC दो अर्द्धवृत्त हैं।

हल
दिया है, वर्ग ABCD की भुजा = 14 cm
वर्ग ABCD का क्षेत्रफल = भुजा2 = 14 × 14 cm2 = 196 cm2
अर्द्धवृत्तों का व्यास = वर्ग ABCD की भुजा
2 × त्रिज्या = 14
⇒ त्रिज्या (r) = 7 cm
दोनों अर्द्धवृत्तों का कुल क्षेत्रफल = \(2 \times \frac{1}{2} \pi r^{2}\)
= πr2
= \(\frac {22}{7}\) × 7 × 7
= 154 cm2
चित्र से स्पष्ट है कि छायांकित भाग का क्षेत्रफल = वर्ग ABCD का क्षेत्रफल – दोनों अर्द्धवृत्तों का क्षेत्रफल
= 196 cm2 – 154 cm2
= 42 cm2
अत: छायांकित भाग का क्षेत्रफल = 42 cm2
![]()
प्रश्न 4.
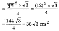
दी गई आकृति में, छायांकित भाग का क्षेत्रफल ज्ञात कीजिए, जहाँ भुजा 12 cm वाले एक समबाहु त्रिभुज OAB के शीर्ष O को केन्द्र मानकर 6 cm त्रिज्या वाला एक वृत्तीय चाप खींचा गया है।

हल
दिया है, समबाहु त्रिभुज की भुजा = 12 cm
हम जानते हैं कि समबाहु ΔOAB का क्षेत्रफल

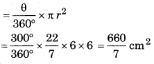
दीर्घ त्रिज्यखण्ड का कोण, θ = 360° – 60° = 300°
(∵ समबाहु त्रिभुज का अन्त:कोण 60° का होता है।)
दिया है, वृत्त की त्रिज्या (r) = 6 cm
दीर्घ त्रिज्यखण्ड का क्षेत्रफल

छायांकित भाग का सम्पूर्ण क्षेत्रफल = दीर्घ त्रिज्यखण्ड का क्षेत्रफल + समबाहु त्रिभुज का क्षेत्रफल
= (\(\frac{660}{7}\) + 36√3) cm2
अतः सम्पूर्ण छायांकित भाग का क्षेत्रफल = (\(\frac{660}{7}\) + 36√3) cm2
प्रश्न 5.
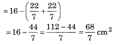
भुजा 4 cm वाले एक वर्ग के प्रत्येक कोने से 1 cm त्रिज्या वाले वृत्त का एक चतुर्थांश काटा गया है तथा बीच में 2 cm व्यास का एक वृत्त भी काटा गया है जैसा कि आकृति में दर्शाया गया है। वर्ग के शेष भाग का क्षेत्रफल ज्ञात कीजिए।

हल
ABCD एक वर्ग है जिसकी प्रत्येक भुजा 4 cm है।
वर्ग का क्षेत्रफल = 4 × 4 = 16 m2
दिया है, वृत्त के एक चतुर्थांश की त्रिज्या (r) = 1 cm
एक चतुर्थांश का क्षेत्रफल = \(\frac{1}{4}\) πr2
चारों चतुर्थांशों का क्षेत्रफल = 4 × \(\frac{1}{4}\) πr2
= πr2
= \(\frac{22}{7}\) × (1)2
= \(\frac{22}{7}\) cm2
दिया है, बीच में काटे गए वृत्त का व्यास = 2 cm
वृत्त की त्रिज्या = 1 cm
वृत्त का क्षेत्रफल = πr2
= \(\frac{22}{7}\) × (1)2
= \(\frac{22}{7}\) cm2
छायांकित भाग का क्षेत्रफल = वर्ग का क्षेत्रफल – (चारों चतुर्थांशों का क्षेत्रफल + वृत्त का क्षेत्रफल)

अत: छायांकित भाग का क्षेत्रफल = \(\frac{68}{7}\) cm2
![]()
प्रश्न 6.
एक वृत्ताकार मेजपोश, जिसकी त्रिज्या 32 cm है, के बीच में एक समबाहु त्रिभुज ABC छोड़ते हुए एक डिजाइन बना हुआ है, जैसा कि आकृति में दिखाया गया है। इस छायांकित डिजाइन का क्षेत्रफल ज्ञात कीजिए।

हल
∆ABC एक समबाहु त्रिभुज है।
∠B = 60°
OB तथा OC वृत्ताकार मेजपोश की त्रिज्याएँ हैं।
OB = 32 cm
और ∠OBM = \(\frac{1}{2}\) ∠B = \(\frac{1}{2}\) × 60° = 30°


प्रश्न 7.
दी गई आकृति में, ABCD भुजा 14 cm वाला एक वर्ग है। A, B, C और D को केन्द्र मानकर, चार वृत्त इस प्रकार खींचे गए हैं कि प्रत्येक वृत्त तीन शेष वृत्तों में से दो वृत्तों को बाह्य रूप से स्पर्श करता है। छायांकित भाग का क्षेत्रफल ज्ञात कीजिए।

हल
दिया है, वर्ग ABCD की भुजा = 14 cm
अर्थात् AB = BC = CD = DA = 14 cm
वर्ग ABCD का क्षेत्रफल = (भुजा)2 = 14 × 14 = 196 cm2
चित्र से स्पष्ट है कि चारों वृत्तों के चतुर्थांश वर्ग ABCD में समाहित हैं।
चारों वृत्त-चतुर्थांशों का क्षेत्रफल = एक वृत्त का क्षेत्रफल

छायांकित भाग का क्षेत्रफल = वर्ग ABCD का क्षेत्रफल – चारों वृत्तीय चतुर्थांशों का क्षेत्रफल
= (196 – 154) cm2
= 42 cm2
अतः छायांकित भाग का क्षेत्रफल = 42 cm2
![]()
प्रश्न 8.
आकृति एक दौड़ने का पथ (racing track) दर्शाती है, जिसके बाएँ और दाएँ सिरे अर्द्धवृत्ताकार हैं।

दोनों आन्तरिक समान्तर रेखाखण्डों के बीच की दूरी 60 m है तथा इनमें से प्रत्येक रेखाखण्ड 106 m लम्बा है। यदि यह पथ 10 m चौड़ा है, तो ज्ञात कीजिए :
(i) पथ के आन्तरिक किनारों के अनुदिश एक पूरा चक्कर लगाने में चली गई दूरी
(ii) पथ का क्षेत्रफल।
हल
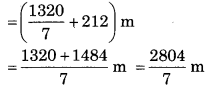
(i) दिया है, अर्द्धवृत्ताकार पथों की आन्तरिक त्रिज्या (r’) = \(\frac{60}{2}\) m = 30 m

दिया है, प्रत्येक रेखाखण्ड की लम्बाई = 106 m
दोनों आन्तरिक समान्तर रेखाखण्डों की लम्बाई = 106 m + 106 m = 212 m.
पथ के आन्तरिक किनारों के अनुदिश 1 चक्कर की लम्बाई = दोनों अर्द्धवृत्तों की आन्तरिक परिधि + दोनों आन्तरिक समान्तर रेखाखण्डों की लम्बाई

अत: पथ के आन्तरिक किनारों के अनुदिश 1 पूरा चक्कर लगाने में चली गई दूरी = \(\frac{2804}{7}\) m
(ii) वृत्ताकार पथ भागों की आन्तरिक त्रिज्या (r’) = 30 m और पथ चौड़ाई = 10 m
वृत्ताकार पथ भागों की बाह्य त्रिज्या r = (30 + 10) m = 40 m
दोनों वृत्ताकार भागों का क्षेत्रफल = π(r2 – r’2)
= π(r + r’) (r – r’)
= π(40 + 30) (40 – 30)
= \(\frac{22}{7}\) × 70 × 10
= 2200 m2
वृत्ताकार भागों के अतिरिक्त पथ का क्षेत्रफल = 2 × (लम्बाई × पथ की चौड़ाई)
= 2 × (106 × 10)
= 2120 m2
पथ का कुल क्षेत्रफल = (2200 + 2120) m2 = 4320 m2
अत: पथ का क्षेत्रफल = 4320 m2
![]()
प्रश्न 9.
आकृति में, AB और CD केन्द्र O वाले एक वृत्त के दो परस्पर व्यास हैं तथा OD छोटे वृत्त का व्यास है। यदि OA = 7 cm है तो छायांकित भाग का क्षेत्रफल ज्ञात कीजिए।

हल
बड़े वृत्त की त्रिज्या OA = OD = छोटे वृत्त का व्यास
छोटे वृत्त का व्यास = OD = OA = 7 cm
छोटे वृत्त की त्रिज्या (r) = \(\frac{7}{2}\) cm
छोटे वृत्त का क्षेत्रफल = πr2
= \(\frac{22}{7} \times \frac{7}{2} \times \frac{7}{2}=\frac{77}{2}\)
= 38.5 cm2
अब, अर्द्धवृत्त AOBCA का क्षेत्रफल = \(\frac{1}{2} \pi R^{2}\)
= \(\frac{1}{2} \times \frac{22}{7} \times 7 \times 7\)
= 77 cm2 (∵ OA = R = 7 cm)
∆ABC का क्षेत्रफल = \(\frac{1}{2}\) × AB × OC
= \(\frac{1}{2}\) × (2 × OA) × OA (∵ OC = OA तथा AB = 2OA)
= OA2
= (7)2
= 49 cm
अर्द्धवृत्त AOBCA के छायांकित भाग का क्षेत्रफल = (77 – 49) cm2 = 28 cm2
अतः सम्पूर्ण छायांकित भाग का क्षेत्रफल = (छोटे वृत्त का क्षेत्रफल + अर्द्धवृत्त AOBCA के छायांकित भाग का क्षेत्रफल
= (38.5 + 28)
= 66.5 cm2
प्रश्न 10.
एक समबाहु त्रिभुज ABC का क्षेत्रफल 17320.5 cm2 है। इस त्रिभुज के प्रत्येक शीर्ष को केन्द्र मानकर त्रिभुज की भुजा के आधे के बराबर की त्रिज्या लेकर एक वृत्त खींचा जाता है छायांकित भाग का क्षेत्रफल ज्ञात कीजिए। (π = 3.14 और √3 = 1.73205 लीजिए)

हल
माना वृत्तों की त्रिज्याएँ r cm हैं।
समबाहु त्रिभुज की भुजा = वृत्त का व्यास = 2r cm

समबाहु त्रिभुज का क्षेत्रफल = 17320.5 cm2
अतः त्रिभुज के उस भाग का क्षेत्रफल जो वृत्तों के अन्दर नहीं है = समबाहु त्रिभुज का क्षेत्रफल – त्रिज्यखण्डों का कुल क्षेत्रफल
= 17320.5 – 15700
= 1620.5 cm2
![]()
प्रश्न 11.
एक वर्गाकार रूमाल पर नौ वृत्ताकार डिजाइन बने हैं, जिनमें से प्रत्येक की त्रिज्या 7 cm है (आकृति देखिए)। रूमाल के शेष भाग का क्षेत्रफल ज्ञात कीजिए।

हल
दिया है, प्रत्येक वृत्त की त्रिज्या (r) = 7 cm
प्रत्येक वृत्त का क्षेत्रफल = πr2
= \(\frac{22}{7}\) × 7 × 7 cm2
= 154 cm2
नौ वृत्ताकार डिजाइनों का क्षेत्रफल = 9 × 154 = 1386 cm2
प्रत्येक वृत्त का व्यास = 2 × 7 = 14 cm
दिए गए चित्र में, प्रत्येक पंक्ति में 3 वृत्त हैं।
वर्गाकार रूमाल की लम्बाई = 3 x एक वृत्त का व्यास = 3 × 14 = 42 cm
वर्गाकार रूमाल का कुल क्षेत्रफल = 42 × 42 cm2 = 1764 cm2
रूमाल के शेष भाग का क्षेत्रफल = रूमाल का कुल क्षेत्रफल – 9 वृत्ताकार डिजाइनों का क्षेत्रफल
= (1764 – 1386) cm2
= 378 cm2
अतः रूमाल के शेष भाग का क्षेत्रफल = 378 cm2
प्रश्न 12.
दी गई आकृति में, OACB केन्द्र O और त्रिज्या 3.5 cm वाले एक वृत्त का चतुर्थांश है। यदि OD = 2 cm है तो निम्नलिखित के क्षेत्रफल ज्ञात कीजिए:
(i) चतुर्थांश OACB
(ii) छायांकित भाग।

हल
दिया है, वृत्ताकार चतुर्थांश की त्रिज्या (r) = 3.5 cm, OD = 2 cm

प्रश्न 13.
दी गई आकृति में, एक चतुर्थांश OPBQ के अन्तर्गत एक वर्ग OABC बना हुआ है। यदि OA = 20 cm है, तो छायांकित भाग का क्षेत्रफल ज्ञात कीजिए। (π = 3.14 लीजिए)

हल
दिया है, वर्ग OABC की भुजा, OA = 20 cm
वर्ग OABC का विकर्ण, OB = भुजा√2 = OA√2 = 20√2 cm
चतुर्थांश OPBQ की त्रिज्या (r) = OB = 20√2 cm
चतुर्थांश OPBQ का क्षेत्रफल = \(\frac{1}{4} \pi r^{2}\)
= \(\frac{1}{4}\) × 3.14 × (20√2)2
= \(\frac{1}{4}\) × 3.14 × 20√2 × 20√2
= 628 cm2
और वर्ग OABC का क्षेत्रफल = (भुजा)2 = (OA)2 = (20)2 = 400 cm2
अंत: छायांकित भाग का क्षेत्रफल = (चतुर्थाश OPBQ का क्षेत्रफल – वर्ग OABC का क्षेत्रफल)
= 628 – 400
= 228 cm2
![]()
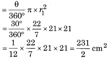
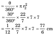
प्रश्न 14.
AB और CD केन्द्र O तथा त्रिज्याओं 21 cm और 7 cm वाले दो संकेन्द्रीय वृत्तों के क्रमशः दो चाप हैं (आकृति देखिए) यदि ∠AOB = 30° है, तो छायांकित भाग का क्षेत्रफल ज्ञात कीजिए।

हल
दिए गए चित्र में,
त्रिज्यखण्ड OBAO की लम्बाई (r1) = 21 cm
तथा त्रिज्यखण्ड OCDO की लम्बाई (r2) = 7 cm
माना संकेन्द्रीय वृत्तों का त्रिज्यकोण (θ) = 30°
त्रिज्यखण्ड ORAO का क्षेत्रफल

त्रिज्यखण्ड OCDO का क्षेत्रफल

अत: छायांकित भाग का क्षेत्रफल = दोनों त्रिज्यखण्डों के क्षेत्रफलों का अन्तर
= (त्रिज्यखण्ड OBAO का क्षेत्रफल – त्रिज्यखण्ड OCDO का क्षेत्रफल)
![]()
प्रश्न 15.
दी गई आकृति में, ABC त्रिज्या 14 सेमी वाले एक वृत्त का चतुर्थांश है तथा BC को व्यास मानकर एक अर्द्धवृत्त खींचा गया है। छायांकित भाग का क्षेत्रफल ज्ञात कीजिए।

हल
दिया है, चतुर्थांश ABC की त्रिज्या (r) = 14 cm
चतुर्थांश ABC का क्षेत्रफल = \(\frac{1}{4} \pi r^{2}\)
= \(\frac{1}{4} \times \frac{22}{7} \times 14 \times 14\)
= 154 cm2
समकोण ∆ABC का क्षेत्रफल = \(\frac{1}{2}\) × AC × AB
= \(\frac{1}{2}\) × 14 × 14
= 98 cm2 (∵ AC = r = 14 cm)
समकोण ∆ABC में पाइथागोरस प्रमेय से,
BC2 = AC2 + AB2 = (14)2 + (14)2 = 392 (∵ ∠BAC = 90°)
BC = √392 = 14√2 cm
अर्द्धवृत्त का व्यास BC = कर्ण BC की लम्बाई = 14√2 cm
अर्द्धवृत्त की त्रिज्या (R) = 7√2 cm
अर्द्धवृत्त का क्षेत्रफल = \(\frac{1}{2} \pi R^{2}\)
= \(\frac{1}{2} \times \frac{22}{7} \times 7 \sqrt{2} \times 7 \sqrt{2}\)
= 154 cm2
छायांकित भाग का क्षेत्रफल = BC व्यास वाले अर्द्धवृत्त का क्षेत्रफल – (चतुर्थांश ABC का क्षेत्रफल – समकोण ΔABC का क्षेत्रफल)
= समकोण ∆ABC का क्षेत्रफल + अर्द्धवृत्त का क्षेत्रफल – चतुर्थांश ABC का क्षेत्रफल
= (98 + 154 – 154) cm2
= 98 cm2
अत: छायांकित भाग का क्षेत्रफल = 98 cm2
![]()
प्रश्न 16.
दी गई आकृति में, छायांकित डिजाइन का क्षेत्रफल ज्ञात कीजिए, जो 8 cm त्रिज्याओं वाले दो वृत्तों के चतुर्थांशों के बीच उभयनिष्ठ है।

हल
ध्यान दीजिए दो समान त्रिज्यखण्डों को मिलाने 8 सेमी पर दी गई आकृति प्राप्त होती है और लूप परस्पर आच्छादित करते हैं।
दिया है, चतुर्थांशों की त्रिज्याएँ (r) = 8 cm
तथा चतुर्थांश का कोण (θ) = 90°
एक चतुर्थांश का क्षेत्रफल

इसी प्रकार, दूसरे चतुर्थांश का क्षेत्रफल = \(\frac{352}{7}\) cm2
दोनों चतुर्थाशों का क्षेत्रफल = \(\left(\frac{352}{7}+\frac{352}{7}\right)\) cm2 = \(\frac{704}{7}\) cm2
इसमें वर्ग का क्षेत्रफल समाहित है और लूप के क्षेत्र परस्पर आच्छादित हैं।
लूप का क्षेत्रफल + वर्ग का क्षेत्रफल = दोनों चतुर्थांशों का क्षेत्रफल
⇒ लूप का क्षेत्रफल + (8)2 cm2 = \(\frac{704}{7}\) cm2
⇒ लूप का क्षेत्रफल = (\(\frac{704}{7}\) – 64) cm2
= \(\frac{704-448}{7}\) cm2
= \(\frac{256}{7}\) cm2
अत: छायांकित डिजाइन (लूप) का क्षेत्रफल = \(\frac{256}{7}\) cm2