Bihar Board Class 10 Maths Solutions Chapter 13 पृष्ठीय क्षेत्रफल एवं आयतन Ex 13.1 Text Book Questions and Answers.
BSEB Bihar Board Class 10 Maths Solutions Chapter 13 पृष्ठीय क्षेत्रफल एवं आयतन Ex 13.1
Bihar Board Class 10 Maths पृष्ठीय क्षेत्रफल एवं आयतन Ex 13.1
(जब तक अन्यथा न कहा जाए, π = \(\frac {22}{7}\) लीजिए।)
प्रश्न 1.
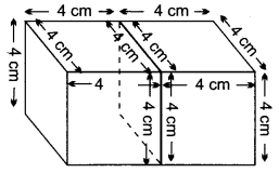
दोघनों, जिनमें से प्रत्येक का आयतन 64 cm3 है, के संलग्न फलकों को मिलाकर एक ठोस बनाया जाता है। इससे प्राप्त घनाभ का पृष्ठीय क्षेत्रफल ज्ञात कीजिए।
हल

माना प्रत्येक घन की भुजा x cm है।
घन का आयतन = (भुजा)3 = x3 cm3
प्रत्येक घन का आयतन = 64 cm3 (दिया है)
x3 = 64
⇒ x3 = (4)3
⇒ x = 4 cm
प्रत्येक घन की भुजा 4 cm है।
दो घनों को मिलाकर एक घनाभ बनाया जाता है।
तब प्राप्त घनाभ की लम्बाई (l) = (4 + 4) = 8 cm, चौड़ाई (b) = 4 cm तथा ऊँचाई (h) = 4 cm
घनाभ का पृष्ठीय क्षेत्रफल = 2(lb + bh + hl)
= 2[(8 × 4) + (4 × 4) + (4 × 8)]
= 2[32 + 16 + 32]
= 2 × 80
= 160 cm2
अतः प्राप्त घनाभ का पृष्ठीय क्षेत्रफल = 160 cm2
![]()
प्रश्न 2.
कोई बर्तन एक खोखले अर्द्धगोले के आकार का है जिसके ऊपर एक खोखला बेलन अध्यारोपित है। अर्द्धगोले का व्यास 14 cm है और इस बर्तन (पात्र) की कुल ऊँचाई 13 cm है। इस बर्तन का आन्तरिक पृष्ठीय क्षेत्रफल ज्ञात कीजिए।
हल

चित्र की भाँति अर्द्धगोले पर बेलन अध्यारोपित किया गया है।
अर्द्धगोले का व्यास = 14 cm
अर्द्धगोले की त्रिज्या (r) = \(\frac{\text { व्यास }}{2}\) = 7 cm
तब, बेलन की त्रिज्या (r) = अर्द्ध गोले की त्रिज्या = 7 cm
बर्तन की कुल ऊँचाई 13 cm है जो बेलन की ऊँचाई h तथा अर्द्धगोले की त्रिज्या r के योग के बराबर है।
h + r = 13
⇒ h + 7 = 13
⇒ h = 13 – 7 = 6 cm
बेलन की ऊँचाई (h) = 6 cm
तब, बेलनाकार भाग का वक्र पृष्ठीय क्षेत्रफल = 2πrh
तथा अर्द्धगोलीय भाग का वक्र पृष्ठीय क्षेत्रफल = 2πr2
बर्तन का कुल आन्तरिक पृष्ठ = 2πrh + 2πr2 = 2πr(h + r)
= 2 × \(\frac{22}{7}\) × 7(7 + 6) cm2
= 2 × 22 × 13 cm2
= 572 cm2
अत: बर्तन (पात्र) का कुल आन्तरिक पृष्ठीय क्षेत्रफल = 572 cm2
प्रश्न 3.
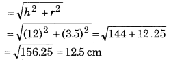
एक खिलौना त्रिज्या 3.5 cm वाले एक शंकु के आकार का है, जो उसी त्रिज्या वाले एक अर्द्धगोले पर अध्यारोपित है। इस खिलौने की सम्पूर्ण ऊँचाई 15.5 cm है। इस खिलौने का सम्पूर्ण पृष्ठीय क्षेत्रफल ज्ञात कीजिए।
हल

दिया है, अर्द्धगोले पर समान परिच्छेद क्षेत्रफल के आधार वाला शंकु अध्यारोपित कर खिलौना बनाया गया है।
शंकु के आधार की त्रिज्या (r) = 3.5 cm
गोले की त्रिज्या (r) = 3.5 cm
खिलौने की कुल ऊँचाई = शंकु की ऊँचाई + अर्द्धगोले की त्रिज्या
15.5 cm = शंकु की ऊँचाई (h) + 3.5 cm
शंकु की ऊँचाई (h) = (15.5 – 3.5) cm = 12 cm
तब, शंकु की तिर्यक ऊँचाई (l)

तब, शंकु का वक्र पृष्ठीय क्षेत्रफल = πrl
= \(\frac {22}{7}\) × 3.5 × 12.5
= 137.5 cm2
और अर्द्धगोले का पृष्ठीय क्षेत्रफल = 2πr2
= 2 × \(\frac {22}{7}\) × 3.5 × 3.5
= 77 cm2
खिलौने का सम्पूर्ण पृष्ठीय क्षेत्रफल = शंकु का वक्र पृष्ठीय क्षेत्रफल + अर्द्धगोले का पृष्ठीय क्षेत्रफल
= (137.5 + 77) cm2
= 214.5 cm2
अत: खिलौने का सम्पूर्ण पृष्ठीय क्षेत्रफल = 214.5 cm2
![]()
प्रश्न 4.
भुजा 7 cm वाले एक घनाकार ब्लॉक के ऊपर एक अर्द्धगोला रखा हुआ है। अर्द्धगोले का अधिकतम व्यास क्या हो सकता है? इस प्रकार बने ठोस का पृष्ठीय क्षेत्रफल ज्ञात कीजिए।
हल

अर्द्धगोले का आधार घन के ऊपरी फलक पर टिका है।
अर्द्धगोले का अधिकतम व्यास = घन की भुजा = 7 cm
अर्द्धगोले की त्रिज्या (r) = \(\frac{7}{2}\) cm
तब, ठोस का पृष्ठीय क्षेत्रफल = घन का सम्पूर्ण पृष्ठ + अर्द्धगोले का वक्र पृष्ठ – वृत्तीय आधार का क्षेत्रफल

अत: अर्द्धगोले का अधिकतम व्यास = 7 cm
तथा ठोस का पृष्ठीय क्षेत्रफल = 332.5 cm2
प्रश्न 5.
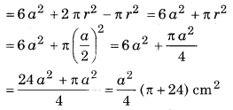
एक घनाकार ब्लॉक के एक फलक को अन्दर की ओर से काटकर एक अर्द्धगोलाकार गड्ढा इस प्रकार बनाया गया है कि अर्द्धगोले का व्यास घन के एक किनारे के बराबर है। शेष बचे ठोस का पृष्ठीय क्षेत्रफल ज्ञात कीजिए।
हल

दिया है, अर्द्धगोले का व्यास = घन की भुजा = a
अर्द्धगोले की त्रिज्या (r) = \(\frac{a}{2}\)
अर्द्धगोलाकार गड्ढा बनाने पर घन के पृष्ठ में अर्द्धगोले के वक्रपृष्ठ के बराबर क्षेत्र बढ़ जाएगा।
परन्तु अर्द्धगोले के आधार के क्षेत्रफल के बराबर क्षेत्र कम हो जाएगा।
अतः शेष बचे ठोस का पृष्ठीय क्षेत्रफल = घन का पृष्ठीय क्षेत्रफल + अर्द्धगोले का वक्रपृष्ठ – अर्द्धगोले के आधार का क्षेत्रफल

अत: शेष बचे ठोस का आयत = \(\frac{a^{2}}{4}\) (π + 24) जहाँ a घन की भुजा है।
![]()
प्रश्न 6.
संलग्न चित्र में, दवा का एक कैप्सूल (capsule) एक बेलन के आकार का है जिसके दोनों सिरों पर एक-एक अर्द्धगोला लगा हुआ है। पूरे कैप्सूल की लम्बाई 14 mm है और उसका व्यास 5 mm है। इसका पृष्ठीय क्षेत्रफल ज्ञात कीजिए।

हल

दिया है, कैप्सूल की लम्बाई = 14 mm
कैप्सूल का व्यास = 5 mm
कैप्सूल की त्रिज्या (r) = \(\frac{5}{2}\) mm
बेलनाकार भाग की त्रिज्या (r) = \(\frac{5}{2}\) mm
बेलनाकार भाग की लम्बाई = 14 – (2.5 + 2.5) = 9 mm
चित्र से स्पष्ट है कि
कैप्सूल की लम्बाई = (2 × अर्द्धगोले की त्रिज्या) + बेलनाकार भाग की ऊँचाई
14 = 2r + h
⇒ 2r + h = 14 …….(1)
कैप्सूल का पृष्ठीय क्षेत्रफल = (2 × अर्द्धगोले का वक्र पृष्ठ) + बेलन का वक्र पृष्ठ
= 2 × 2πr2 + 2πrh
= 2πr(2r + h)
= 2 × \(\frac{22}{7} \times \frac{5}{2}\) × 14
= 220 mm2 [समीकरण (1) से]
अत: कैप्सूल का पृष्ठीय क्षेत्रफल = 220 mm2
प्रश्न 7.
कोई तम्बू एक बेलन के आकार का है जिस पर एक शंकु अध्यारोपित है। यदि बेलनाकार भाग की ऊँचाई और व्यास क्रमश: 2.1 m और 4 m हैं तथा शंकु की तिर्यक ऊँचाई 2.8 m है तो इस तम्बू को बनाने में प्रयुक्त कैनवास (canvas) का क्षेत्रफल ज्ञात कीजिए। साथ ही, ₹ 500 प्रति m2 की दर से इसमें प्रयुक्त कैनवास की लागत ज्ञात कीजिए। (ध्यान दीजिए कि तम्बू के आधार को कैनवास से नहीं ढका जाता है।)
हल

बेलनाकार भाग के लिए,
बेलनाकार भाग का व्यास = 2.1 m
बेलनाकार भाग की त्रिज्या = \(\frac{2.1}{2}\) m
और बेलनाकार भाग की ऊँचाई (h) = 4 m
बेलनाकार भाग का वक्र पृष्ठीय क्षेत्रफल = 2πrh
= \(2 \times \frac{22}{7} \times \frac{2.1}{2} \times 4\)
= 26.4 m2
शंक्वाकार भाग के लिए,
शंक्वाकार भाग की त्रिज्या (r) = बेलन की त्रिज्या = \(\frac{2.1}{2}\) m
शंक्वाकार भाग की तिर्यक ऊँचाई (l) = 2.8 m
शंक्वाकार भाग का पृष्ठीय क्षेत्रफल = πrl
= \(\frac{22}{7} \times \frac{2.1}{2} \times 2.8\)
= 9.24 m2
पूरे तम्बू का पृष्ठीय क्षेत्रफल = बेलनाकार भाग का पृष्ठीय क्षेत्रफल + शंक्वाकार भाग का पृष्ठीय क्षेत्रफल
= (26.4 + 9.24) m2
= 35.64 m2
अतः तम्बू में प्रयुक्त कैनवास का क्षेत्रफल = 35.64 m2
तथा कैनवास की लागत = 500 × 35.64 = ₹ 17820
![]()
प्रश्न 8.
ऊँचाई 2.4 cm और व्यास 1.4 cm वाले एक ठोस बेलन में से इसी ऊँचाई और इसी व्यास वाला एक शंक्वाकार खोल (cavity) काट लिया जाता है। शेष बचे ठोस का निकटतम वर्ग सेन्टीमीटर तक पृष्ठीय क्षेत्रफल ज्ञात कीजिए।
हल

दिया है, बेलन का व्यास = 1.4 cm
बेलन की त्रिज्या (r) = 0.7 cm
तथा बेलन की ऊँचाई (h) = 2.4 cm
बेलन का वक्र पृष्ठ = 2πrh
= 2π × 0.7 × 2.4
= 3.36π cm2
बेलन के आधार का क्षेत्रफल = πr2
= π × 0.7 × 0.7
= 0.49π cm2
अब, शंकु की त्रिज्या (r) = बेलन की त्रिज्या = 0.7 cm
शंकु की ऊँचाई (h) = बेलन की ऊँचाई = 2.4 cm
शंकु की तिर्यक ऊँचाई (l) = \(\sqrt{h^{2}+r^{2}}\)
= \(\sqrt{(2.4)^{2}+(0.7)^{2}}\)
= \(\sqrt{5.76+0.49}\)
= \(\sqrt{6.25}\)
= 2.5 cm
तब, शंकु का वक्र पृष्ठीय क्षेत्रफल = πrl
= π × 0.7 × 2.5
= 1.75π cm2
शेष बचे ठोस का पृष्ठीय क्षेत्रफल = बेलन का वक्रपृष्ठ + आधार का क्षेत्रफल + शंकु का वक्रपृष्ठ
= (3.36π + 0.49π + 1.75π) cm2
= 5.60π cm2
= 5.6 × \(\frac{22}{7}\) cm2
= 17.6 cm2
अतः शेष बचे ठोस का पृष्ठीय क्षेत्रफल = 17.6 cm2
![]()
प्रश्न 9.
लकड़ी के एक ठोस बेलन के प्रत्येक सिरे पर एक अर्द्धगोला व खोदकर निकालते हुए, एक वस्तु बनाई गई है, जैसा कि आकृति में दर्शाया गया है। यदि बेलन की ऊँचाई 10 cm है और आधार की त्रिज्या 3.5 cm है तो इस वस्तु का सम्पूर्ण पृष्ठीय क्षेत्रफल ज्ञात कीजिए।

हल
दिया है, लकड़ी की वस्तु एक बेलन और दो अर्द्धगोलों के संयोजन से बनी है।
यहाँ, बेलन की ऊँचाई (h) = 10 cm
बेलन के आधार की त्रिज्या (r) = अर्द्धगोले की त्रिज्या = 3.5 cm
लकड़ी की वस्तु का सम्पूर्ण पृष्ठीय क्षेत्रफल = बेलन का वक्र पृष्ठीय क्षेत्रफल + दोनों अर्द्धगोलों का वक्र पृष्ठीय क्षेत्रफल
= 2πrh + 4πr2
= 2πr(h + 2r)
= 2 × \(\frac{22}{7}\) × 3.5 (10 + 2 × 3.5)
= \(\frac{22}{7}\) × 7 × (17)
= 374 cm2
अत: वस्तु का सम्पूर्ण पृष्ठीय क्षेत्रफल = 374 cm2