Bihar Board Class 10 Maths Solutions Chapter 14 सांख्यिकी Ex 14.2 Text Book Questions and Answers.
BSEB Bihar Board Class 10 Maths Solutions Chapter 14 सांख्यिकी Ex 14.2
Bihar Board Class 10 Maths सांख्यिकी Ex 14.2
प्रश्न 1.
निम्नलिखित सारणी किसी अस्पताल में एक विशेष वर्ष में भर्ती हुए रोगियों की आयु को दर्शाती है:

उपर्युक्त आँकड़ों के बहुलक और माध्य ज्ञात कीजिए। दोनों केन्द्रीय प्रवृत्ति की मापों की तुलना कीजिए और उनकी व्याख्या कीजिए।
हल
केन्द्रीय प्रवृत्ति की मापों के लिए गणना सारणी
माना कल्पित माध्य A = 40


बहुलक के लिए : अधिकतम बारम्बारता वाला वर्ग = (35 – 45)
बहुलक वर्ग (Modal Class) = (35 – 45)
बहुलक वर्ग की निम्न सीमा (l1) = 35
बहुलक वर्ग की उच्च सीमा (l2) = 45
बहुलक वर्ग की बारम्बारता (f) = 23
बहुलक वर्ग के पूर्व वर्ग की बारम्बारता (f1) = 21
बहुलक वर्ग के ठीक बाद के वर्ग की बारम्बारता (f2) = 14
बहुलक वर्ग का विस्तार (h) = l2 – l1 = 45 – 35 = 10

अत: आँकड़ों का माध्य = 35.375 वर्ष तथा बहुलक = 36.8 वर्ष।
इसका अर्थ है कि सम्बन्धित वर्ष में अधिकांश रोगी 36.8 वर्ष के हैं जबकि सभी रोगियों की औसत आयु 35.375 वर्ष है।
![]()
प्रश्न 2.
निम्नलिखित आँकड़े 225 बिजली उपकरणों के प्रेक्षित जीवनकाल (घण्टों में) की सूचना देते हैं:

उपकरणों का बहुलक जीवनकाल ज्ञात कीजिए।
हल
दिए गए आँकड़ों का बहुलक वर्ग (60 – 80) है, क्योंकि इस वर्ग की बारम्बारता दिए गए आँकड़ों के वर्ग में सबसे अधिक है।
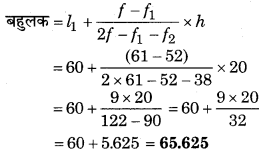
बहुलक वर्ग की निम्न सीमा (l1) = 60
बहुलक वर्ग की उच्च सीमा (l2) = 80
बहुलक वर्ग की बारम्बारता (f) = 61
बहुलक वर्ग के पूर्व वर्ग की बारम्बारता (f1) = 52
बहुलक वर्ग के ठीक बाद के वर्ग की बारम्बारता (f2) = 38
बहुलक वर्ग का आकार या विस्तार (h) = l2 – l1 = 80 – 60 = 20

अत: उपकरणों का बहुलक जीवनकाल = 65.625 घण्टे।
प्रश्न 3.
निम्नलिखित आँकड़े किसी गाँव के 200 परिवारों के कुल मासिक घरेलू व्यय के बंटन को दर्शाते हैं। इन परिवारों का बहुलक मासिक व्यय ज्ञात कीजिए। साथ ही, माध्य मासिक व्यय भी ज्ञात कीजिए।

हल
निरीक्षण से, बहुलक वर्ग = अधिकतम बारम्बारता वाला वर्ग = 1500 – 2000
बहुलक वर्ग की निम्न सीमा (l1) = ₹ 1500
बहुलक वर्ग की उच्च सीमा (l2) = ₹ 2000
बहुलक वर्ग का विस्तार (h) = l2 – l1 = 2000 – 1500 = ₹ 500
बहुलक वर्ग की बारम्बारता (f) = 40
बहुलक वर्ग के पूर्व वर्ग की बारम्बारता (f1) = 24
बहुलक वर्ग के ठीक बाद के वर्ग की बारम्बारता (f2) = 33

माध्य व्यय के लिए गणना सारणी
माना व्यय का कल्पित माध्य A = ₹ 2750 है और वर्ग विस्तार (माप) h = ₹ 500

माध्य मासिक व्यय \((\bar{x})=A+h \frac{\sum f_{i} u_{i}}{\sum f_{i}}\) (जहाँ, h = 500)
= 2750 + 500 × \(\frac{(-35)}{200}\)
= 2750 + (2.5 × -35)
= 2750 + (-87.5)
= 2662.50
अतः व्यय का बहुलक = 1847.84 तथा व्यय का माध्य = ₹ 2662.50
![]()
प्रश्न 4.
निम्नलिखित बंटन भारत के उच्चतर माध्यमिक स्कूलों में, राज्यों के अनुसार, शिक्षक-विद्यार्थी अनुपात को दर्शाता है। इन आँकड़ों के बहुलक और माध्य ज्ञात कीजिए। दोनों मापकों की व्याख्या कीजिए।

हल
चूँकि सबसे अधिक बारम्बारता f = 10 है।
अत: इसका बहुलक वर्ग (30 – 35) है।
बहुलक वर्ग की निम्न सीमा (l1) = 30
बहुलक वर्ग की उच्च सीमा (l2) = 35
बहुलक वर्ग का विस्तार (h) = l2 – l1 = 35 – 30 = 5
बहुलक वर्ग की बारम्बारता (f) = 10
बहुलक वर्ग के पूर्व वर्ग की बारम्बारता (f1) = 9
बहुलक वर्ग के ठीक बाद के वर्ग की बारम्बारता (f2) = 3


माध्य गणना हेतु सारणी
माना प्रति शिक्षक विद्यार्थियों की संख्या का कल्पित माध्य A = 27.5 है।

अत: भारत के उच्चतर माध्यमिक स्कूलों में राज्यों के अनुसार प्रति शिक्षक विद्यार्थियों का माध्य 29.2 है जबकि अधिकांश राज्यों में प्रति शिक्षक विद्यार्थियों की संख्या 30.625 है।
प्रश्न 5.
दिया हुआ बंटन विश्व के कुछ श्रेष्ठतम बल्लेबाजों द्वारा एक दिवसीय अन्तर्राष्ट्रीय क्रिकेट मैचों में बनाए गए रनों को दर्शाता है :

इन आँकड़ों का बहुलक ज्ञात कीजिए।
हल
चूँकि अधिकतम बारम्बारता f = 18 है। इसलिए इसका बहुलक वर्ग (4000 – 5000) है।
बहुलक वर्ग की निम्न सीमा (l1) = 4000
बहुलक वर्ग की उच्च सीमा (l2) = 5000
बहुलक वर्ग का विस्तार (h) = 5000 – 4000 = 1000
बहुलक वर्ग की बारम्बारता (f) = 18
बहुलक वर्ग के पूर्व वर्ग की बारम्बारता (f1) = 4
बहुलक वर्ग के ठीक बाद के वर्ग की बारम्बारता (f2) = 9

![]()
प्रश्न 6.
एक विद्यार्थी ने एक सड़क के किसी स्थान से होकर जाती हुई कारों की संख्याएँ नोट की और उन्हें नीचे दी हुई सारणी के रूप में व्यक्त किया। सारणी में दिया प्रत्येक प्रेक्षण 3 मिनट के अन्तराल में उस स्थान से होकर जाने वाली कारों की संख्याओं से सम्बन्धित है। ऐसे 100 अन्तरालों पर प्रेक्षण लिए गए। इन आँकड़ों का बहुलक ज्ञात कीजिए।

हल
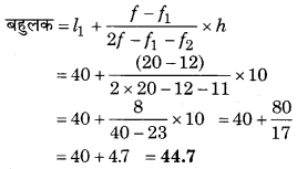
चूँकि अधिकतम बारम्बारता 20 है। इसलिए इसका बहुलक वर्ग (40 – 50) है।
बहुलक वर्ग = 40 – 50
बहुलक वर्ग की निम्न सीमा (l1) = 40
बहुलक वर्ग की उच्च सीमा (l2) = 50
बहुलक वर्ग का विस्तार (h) = 50 – 40 = 10
बहुलक वर्ग की बारम्बारता (f) = 20
बहुलक वर्ग के पूर्व वर्ग की बारम्बारता (f1) = 12
बहुलक वर्ग के ठीक बाद के वर्ग की बारम्बारता (f2) = 11

अत: सड़क पर प्रति तीन मिनट के अन्तरालों में अधिकांश अन्तरालों में गुजरने वाली कारों की संख्या (बहुलक) = 44.7