Bihar Board Class 10 Maths Solutions Chapter 14 सांख्यिकी Ex 14.3 Text Book Questions and Answers.
BSEB Bihar Board Class 10 Maths Solutions Chapter 14 सांख्यिकी Ex 14.3
Bihar Board Class 10 Maths सांख्यिकी Ex 14.3
प्रश्न 1.
निम्नलिखित बारम्बारता बंटन किसी मौहल्ले के 68 उपभोक्ताओं की बिजली की मासिक खपत दर्शाता है। इन आँकड़ों के माध्यिका, माध्य और बहुलक ज्ञात कीजिए। इनकी तुलना कीजिए।

हल
दिए गए बारम्बारता बंटन के लिए माध्य और माध्यिका की गणना सारणी
माना कल्पित माध्य, A = 115 तथा वर्ग माप, h = 20 है।

यहाँ उपभोक्ताओं की संख्या, N = 68
⇒ \(\frac{N}{2}=\frac{68}{2}=34\)
संचयी बारम्बारता सारणी से स्पष्ट है कि 34 संचयी बारम्बारता 42 के अन्तर्गत है, इसलिए (125 – 145) माध्यिका वर्ग हुआ।
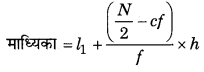
माध्यिका वर्ग की निम्न सीमा (l1) = 125
माध्यिका वर्ग की उच्च सीमा (l2) = 145
माध्यिका वर्ग का वर्ग विस्तार (h) = l2 – l1 = 245 – 125 = 20
माध्यिका वर्ग के ठीक पहले वर्ग की संचयी बारम्बारता (cf) = 22
माध्यिका वर्ग की बारम्बारता (f) = 20


बहुलक के लिए : चूँकि अधिकतम बारम्बारता f = 20 है। इसलिए इसका बहुलक वर्ग (125 – 145)
बहुलक वर्ग की निम्न सीमा (l1) = 125
बहुलक वर्ग की उच्च सीमा (l2) = 145
बहुलक वर्ग का विस्तार (h) = l2 – l1 = 145 – 125 = 20
बहुलक वर्ग की बारम्बारता (f) = 20
बहुलक वर्ग के ठीक पहले वर्ग की बारम्बारता (f1) = 13
बहुलक वर्ग के ठीक बाद के वर्ग की बारम्बारता (f2) = 14

तुलनात्मक रूप से तीनों मापें लगभग समान हैं।
![]()
प्रश्न 2.
यदि नीचे दिए गए बंटन का माध्यिका 28.5 हो, तो x और y के मान ज्ञात कीजिए :

हल
संचयी बारम्बारता के लिए सारणी

परन्तु बारम्बारताओं का योग N = 60 है।
अन्तिम वर्ग की संचयी बारम्बारता सभी बारम्बारताओं के योगफल के बराबर होती है।
45 + x + y = 60
⇒ x + y = 15 ……(1)
दिया है, माध्यिका 28.5 है।
माध्यिका वर्ग = (20 से 30 तक)
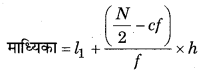
माध्यिका वर्ग की निम्न सीमा (l1) = 20
माध्यिका वर्ग की अन्य सीमा (l2) = 30
माध्यिका वर्ग का वर्ग विस्तार (h) = 30 – 20 = 10
माध्यिका वर्ग की बारम्बारता (f) = 20
माध्यिका वर्ग के पूर्व वर्ग की संचयी बारम्बारता (cf) = x + 5

⇒ 8.5 = \(\frac{30-x-5}{2}\)
⇒ 17 = 25 – x
⇒ x = 25 – 17
⇒ x = 8 ……(2)
x का मान समी० (1) में रखने पर,
8 + y = 15
⇒ y = 15 – 8 = 7
अत: x = 8 तथा y = 7
![]()
प्रश्न 3.
एक जीवन बीमा एजेण्ट 100 पॉलिसी धारकों की आयु के बंटन के निम्नलिखित आँकड़े ज्ञात करता है। माध्यिका आयु परिकलित कीजिए, यदि पॉलिसी केवल उन्हीं व्यक्तियों को दी जाती है, जिनकी आयु 18 वर्ष या उससे अधिक हो, परन्तु 60 वर्ष से कम हो।

हल

यहाँ, N = 100
⇒ \(\frac{N}{2}=\frac{100}{2}=50\)
संचयी बारम्बारता सारणी से स्पष्ट है कि 50 संचयी बारम्बारता 78 के अन्तर्गत है, इसलिए (35 – 40) माध्यिका वर्ग हुआ।
माध्यिका वर्ग की निम्न सीमा (l1) = 35
माध्यिका वर्ग की उच्च सीमा (l2) = 40
माध्यिका वर्ग (h) = l2 – l1 = 40 – 35 = 5
माध्यिका वर्ग की बारम्बारता (f) = 33
माध्यिका वर्ग के ठीक पहले वर्ग की संचयी बारम्बारता (cf) = 45

= 35 + \(\frac{(50-45) \times 5}{33}\)
= 35 + \(\frac{25}{33}\)
= 35 + 0.76
= 35.76 वर्ष (लगभग)
अत: माध्यिका = 35.76 वर्ष (लगभग)
प्रश्न 4.
एक पौधे की 40 पत्तियों की लम्बाइयाँ निकटतम मिलीमीटरों में मापी जाती है तथा प्राप्त आँकड़ों को निम्नलिखित सारणी के रूप में निरूपित किया जाता है :

पत्तियों की माध्यिका लम्बाई ज्ञात कीजिए।
हल
चूँकि आँकड़ें सतत् नहीं है। अत: हमें माध्यिका ज्ञात करने के लिए इन्हें सतत् में बदलने की आवश्यकता है, तब वर्ग 117.5 – 126.5, 126.5 – 135.5…; 171.5 – 180.5 में बदल जाएँगे।
तब, परिकलित संचयी बारम्बारता सारणी

N = 40
⇒ \(\frac{N}{2}=\frac{40}{2}=20\)
संचयी बारम्बारता सारणी से स्पष्ट है कि 20 संचयी बारम्बारता 29 के अन्तर्गत है, इसलिए (144.5 – 153.5) माध्यिका वर्ग हुआ।
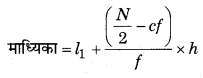
माध्यिका वर्ग की निम्न सीमा (l1) = 144.5
माध्यिका वर्ग उच्च सीमा (l2) = 153.5
वर्गमाप या माध्यिका वर्ग का वर्ग अन्तराल (h) = l2 – l1 = 153.5 – 144.5 = 9
.माध्यिका वर्ग की बारम्बारता (f) = 12
माध्यिका वर्ग के ठीक पहले वर्ग की संचयी बारम्बारता (cf) = 17


अत: पत्तियों की माध्यिका लम्बाई = 146.75 मिमी
![]()
प्रश्न 5.
निम्नलिखित सारणी 400 निऑन लैम्पों के जीवनकालों (life time) को प्रदर्शित करती है:

एक लैम्प का माध्यिका जीवनकाल ज्ञात कीजिए।
हल
माध्यिका हेतु संचयी बारम्बारता सारणी

यहाँ N = 400
⇒ \(\frac{N}{2}=\frac{400}{2}=200\)
संचयी बारम्बारता सारणी से स्पष्ट है कि 200 संचयी बारम्बारता 216 के अन्तर्गत है, इसलिए (3000 – 3500) माध्यिका वर्ग हुआ।
माध्यिका वर्ग की निम्न सीमा (l1) = 3000
माध्यिका वर्ग की उच्च सीमा (l2) = 3500
माध्यिका वर्ग का वर्ग अन्तराल (h) = l2 – l1 = 3500 – 3000 = 500
माध्यिका वर्ग की बारम्बारता (f) = 86
माध्यिका वर्ग के ठीक पहले वर्ग की संचयी बारम्बारता (cf) = 130


अत: लैम्पों का माध्यिका जीवनकाल = 3406.98 घण्टे
प्रश्न 6.
एक स्थानीय टेलीफोन निर्देशिका से 100 कुलनाम (surnames) लिए गए और उनमें प्रयुक्त अंग्रेजी वर्णमाला के अक्षरों की संख्या का निम्नलिखित बारम्बारता बंटन प्राप्त हुआ:

कुलनामों में माध्यिका अक्षरों की संख्या ज्ञात कीजिए। कुलनामों में माध्य अक्षरों की संख्या ज्ञात कीजिए। साथ ही, कुलनामों का बहुलक ज्ञात कीजिए।
हल
माध्यिका एवं माध्य की गणना के लिए सारणी

यहाँ N = 100
⇒ \(\frac{N}{2}=\frac{100}{2}=50\)
संचयी बारम्बारता सारणी से स्पष्ट है कि 50 संचयी बारम्बारता 76 के अन्तर्गत है, इसलिए (7 – 10) माध्यिका वर्ग हुआ।
माध्यिका वर्ग की निम्न सीमा (l1) = 7
माध्यिका वर्ग की उच्च सीमा (l2) = 10
माध्यिका वर्ग का वर्ग अन्तराल (h) = l2 – l1 = 10 – 7 = 3
माध्यिका वर्ग की बारम्बारता (f) = 40
माध्यिका वर्ग के ठीक पहले वर्ग की संचयी बारम्बारता (cf) = 36

अतः कुलनामों में माध्य अक्षरों की संख्या 8.32 है।
बहुलक के लिए : बहुलक वर्ग = 7 – 10, है, क्योंकि इसकी अधिकतम बारम्बारता f = 40 है।
बहुलक वर्ग की निम्न सीमा (l1) = 7
बहुलक वर्ग की उच्च सीमा (l2) = 10
बहुलक वर्ग का वर्ग अन्तराल (h) = l2 – l1 = 10 – 7 = 3
बहुलक वर्ग की बारम्बारता (f) = 40
बहुलक वर्ग के ठीक पूर्व वर्ग की बारम्बारता (f1) = 30
बहुलक वर्ग के ठीक बाद के वर्ग की बारम्बारता (f2) = 16

अतः कुलनामों का बहुलक 7.88 है।
![]()
प्रश्न 7.
नीचे दिया हुआ बंटन एक कक्षा के 30 विद्यार्थियों के भार दर्शा रहा है। विद्यार्थियों का माध्यिका भार ज्ञात कीजिए।

हल
माध्यिका की गणना के लिए संचयी बारम्बारता सारणी

यहाँ, N = 30
⇒ \(\frac{N}{2}=\frac{30}{2}=15\)
संचयी बारम्बारता सारणी से स्पष्ट है कि 15 संचयी बारम्बारता 19 के अन्तर्गत है, इसलिए (55 – 60) माध्यिका वर्ग हुआ।
माध्यिका वर्ग की निम्न सीमा (l1) = 55
माध्यिका वर्ग की उच्च सीमा (l2) = 60
माध्यिका वर्ग का वर्ग अन्तराल (h) = l2 – l1 = 60 – 55 = 5
माध्यिका वर्ग की बारम्बारता (f) = 6
माध्यिका वर्ग के ठीक पहले वर्ग की संचयी बारम्बारता (cf) = 13

अत: विद्यार्थियों के भार का माध्यिका = 56.67 किग्रा (लगभग)