Bihar Board Class 10 Maths Solutions Chapter 3 दो चरों वाले रैखिक समीकरण युग्म Ex 3.3 Text Book Questions and Answers.
BSEB Bihar Board Class 10 Maths Solutions Chapter 3 दो चरों वाले रैखिक समीकरण युग्म Ex 3.3
Bihar Board Class 10 Maths दो चरों वाले रैखिक समीकरण युग्म Ex 3.3
प्रश्न 1.
निम्न रैखिक समीकरण युग्म को प्रतिस्थापन विधि से हल कीजिए-
(i) x + y = 14
x – y = 4
(ii) s – t = 3
\(\frac{s}{3}+\frac{t}{2}=6\)
(iii) 3x – y = 3
9x – 3 y = 9
(iv) 0.2x + 0.3y = 1.3
0.4x + 0.5y = 2.3
(v) √2x + √3y = 0
√3x – √8y = 0
(vi) \(\frac{3 x}{2}-\frac{5 y}{3}=-2\)
\(\frac{x}{3}+\frac{y}{2}=\frac{13}{6}\)
हल
(i) दिया गया रैखिक समीकरण युग्म
x + y = 14 …… (1)
x – y = 4 …….. (2)
समीकरण (1) से, x + y = 14
⇒ x = (14 – y) ….. (3)
समीकरण (3) से x का यह मान समीकरण (2) में रखने पर,
(14 – y) – y = 4
⇒ 14 – y – y = 4
⇒ -2y = 4 – 14
⇒ -2y = -10
⇒ y = 5
तब, समीकरण (1) में y = 5 रखने पर,
x + 5 = 14
⇒ x = 14 – 5 = 9
अतः दिए गए रैखिक समीकरण युग्म का हल x = 9 तथा y = 5
![]()
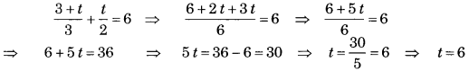
(ii) दिया गया रैखिक समीकरण युग्म
s – t = 3 ……. (1)
\(\frac{s}{3}+\frac{t}{2}=6\) ……. (2)
समीकरण (1) से,
s – t = 3
⇒ s = 3 + t …… (3)
समीकरण (3) से s का यह मान समीकरण (2) में रखने पर,

समीकरण (3) में t = 6 रखने पर,
s = 3 + 6 = 9
अत: दिए गए रैखिक समीकरण युग्म का हल : s = 9 तथा t = 6
(iii) दिया गया रैखिक समीकरण युग्म :
3x – y = 3 …….. (1)
9x – 3y = 9 ……… (2)
समीकरण (1) से, 3x – y = 3
⇒ 3x – 3 = y
⇒ y = 3x – 3
अब, समीकरण (2) में y = 3 x – 3 रखने पर,
9x – 3(3x – 3) = 9
⇒ 9x – 9x + 9 = 9
⇒ 9 = 9
जो कि एक सत्य कथन है। तब, चर x या y का कोई अद्वितीय मान नहीं होगा।
अत: रैखिक समीकरण युग्म के अपरिमित रूप से अनेक हल होंगे।
![]()
(iv) दिया गया रैखिक समीकरण युग्म
0.2x + 0.3y = 1.3
0.4x + 0.5y = 2.3
रैखिक समीकरण युग्म के प्रत्येक में एक स्थान तक ही दशमलव अंक हैं। अत: दशमलव को हटा सकते हैं।
तब दिया समीकरण युग्म निम्न युग्म के तुल्य होगा
2x + 3y = 13 …… (1)
4x + 5y = 23 …….. (2)
समीकरण (1) से, 2x + 3y = 13
⇒ 2x = 13 – 3y
⇒ x = (\(\frac{13-3 y}{2}\)) ……(3)
x का यह मान समीकरण (2) में रखने पर,
4(\(\frac{13-3 y}{2}\)) + 5y = 23
⇒ 2(13 – 3y) + 5y = 23
⇒ 26 – 6y + 5y = 23
⇒ -6y + 5y = 23 – 26
⇒ -y = -3
⇒ y = 3
अब समीकरण (3) में y = 3 रखने पर,
![]()
अतः दिए गए रैखिक समीकरण युग्म का हल x = 2 तथा y = 3
(v) दिया गया रैखिक समीकरण युग्म
√2x + √3y = 0 ……. (1)
√3x – √8y = 0 …… (2)
समीकरण (1) से, √2x + √3y = 0
⇒ √2x = 0 – √3y
⇒ √2x = -√3y
⇒ x = \(-\frac{\sqrt{3}}{\sqrt{2}} y\)

अतः दिए गए रैखिक समीकरण युग्म का हल : x = 0 तथा y = 0
![]()
(vi) दिया गया रैखिक समीकरण युग्म


अत: दिए गए रैखिक समीकरण युग्म का हल x = 2 तथा y = 3
प्रश्न 2.
2x + 3y = 11 और 2x – 4y = -24 को हल कीजिए और इससे ‘m’ का वह मान ज्ञात कीजिए जिसके लिए y = mx + 3 हो।
हल
दिया गया रैखिक समीकरण युग्म
2x + 3y = 11 …… (1)
2x – 4y = -24 …… (2)
समीकरण (2) से,
2x – 4y = -24
⇒ 2x = 4y – 24
⇒ x = \(\frac{4 y-24}{2}=\frac{2(2 y-12)}{2}\)
⇒ x = 2y – 12 …….. (3)
x का यह मान समीकरण (1) में रखने पर,
2(2y – 12) + 3y = 11
⇒ 4y – 24 + 3y = 11
⇒ 4y + 3y = 11 + 24
⇒ 7y = 35
⇒ y = 5
समीकरण (3) में y का मान रखने पर,
x = (2 × 5 – 12) = 10 – 12 = -2
अत: दिए गए रैखिक समीकरण युग्म का हल x = -2 तथा y = 5
अब, y = mx + 4 से m का मान ज्ञात करने के लिए, y = mx + 4 में x = -2 तथा y = 5 रखने पर,
5 = m(-2) + 4
⇒ 2m = 4 – 5 = -1
⇒ m = \(\frac{-1}{2}\)
![]()
प्रश्न 3.
निम्न समस्याओं में रैखिक समीकरण युग्म बनाइए और उनके हल प्रतिस्थापन विधि द्वारा ज्ञात कीजिए-
(i) दो संख्याओं का अन्तर 26 है और एक संख्या दूसरी संख्या की तीन गुनी है। उन्हें ज्ञात कीजिए।
(ii) दो सम्पूरक कोणों में बड़ा कोण छोटे कोण से 18° अधिक है। उन्हें ज्ञात कीजिए।
(iii) एक क्रिकेट टीम के कोच ने 7 बल्ले तथा 6 गेंदें ₹ 3800 में खरीदीं। बाद में, उसने 3 बल्ले तथा 5 गेंदें ₹ 1750 में खरीदीं। प्रत्येक बल्ले और प्रत्येक गेंद का मूल्य ज्ञात कीजिए।
(iv) एक नगर में टैक्सी के भाड़े में एक नियत भाड़े के अतिरिक्त चली गई दूरी पर भाड़ा सम्मिलित किया जाता है। 10 km दूरी के लिए भाड़ा ₹105 है तथा 15 km के लिए भाड़ा ₹ 155 है। नियत भाड़ा तथा प्रति km भाड़ा क्या है? एक व्यक्ति को 25 km यात्रा करने के लिए कितना भाड़ा देना होगा?
(v) यदि किसी भिन्न के अंश और हर दोनों में 2 जोड़ दिया जाए, तो वह \(\frac{9}{11}\) हो जाती है। यदि अंश और हर दोनों में 3 जोड़ दिया जाए, तो वह \(\frac{5}{6}\) हो जाती है। वह भिन्न ज्ञात कीजिए।
(vi) पाँच वर्ष बाद जैकब की आयु उसके पुत्र की आयु से तीन गुनी हो जाएगी। पाँच वर्ष पूर्व जैकब की आयु उसके पुत्र की आयु की सात गुनी थी। उनकी वर्तमान आयु क्या हैं?
हल
(i) माना एक संख्या x तथा दूसरी संख्या y है।
एक संख्या दूसरी संख्या की तीन गुनी है।
एक संख्या = 3 × दूसरी संख्या
x = 3y ….(1)
यहाँ x, y से बड़ा है संख्याओं का अन्तर 26 है।
x – y = 26 ……… (2)
समीकरण (2) में x = 3y रखने पर,
3y – y = 26
⇒ 2y = 26
⇒ y = 13
समीकरण (1) में y = 13 रखने पर,
x = 3 × 13 = 39
⇒ x = 39
अत: अभीष्ट संख्याएँ = 39 व 13
![]()
(ii) माना बड़ा कोण x° तथा छोटा कोण y° है।
कोण x° व y° सम्पूरक हैं अर्थात् इनका योग 180° है।
x + y = 180
बड़ा कोण छोटे कोण से 18° अधिक है।
x = y + 18
तब, रैखिक समीकरण युग्म
x + y = 180 ……(1)
x = y + 18 …… (2)
समीकरण (2) से x का मान समीकरण (1) में रखने पर,
(y + 18) + y = 180
⇒ 2y + 18 = 180
⇒ 2y = 180 – 18 = 162
⇒ y = 81
समीकरण (2) में y का मान रखने पर,
x = 81 + 18 = 99
अत: बड़ा कोण 99° तथा छोटा कोण 81 है।
(iii) माना एक बल्ले का मूल्य ₹ x तथा एक गेंद का मूल्य ₹ y है।
1 बल्ले का मूल्य ₹ x है
7 बल्लों का मूल्य = ₹ 7x
1 गेंद का मूल्य ₹ y है।
6 गेंदों का मूल्य = ₹ 6y
7 बल्लों और 6 गेंदों का मूल्य = ₹ (7x + 6y)
प्रश्नानुसार, इनका मूल्य ₹ 3800 है।
7x + 6y = 3800 ……(1)
1 बल्ले का मूल्य ₹ x है
3 बल्लों का मूल्य = ₹ 3x
1 गेंद का मूल्य ₹ y है।
5 गेंदों का मूल्य = ₹ 5y
3 बल्लों और 5 गेंदों का मूल्य = ₹ (3x + 5y)
प्रश्नानुसार इनका मूल्य ₹ 1750 है।
3x + 5y = 1750 ……. (2)
⇒ 5y = 1750 – 3x
⇒ y = \(\frac{1750-3 x}{5}\) ……(3)
y का यह मान समीकरण (1) में रखने पर,

अत: एक बल्ले का मूल्य ₹ 500 तथा 1 गेंद का मूल्य ₹ 50 है।
![]()
(iv) माना टैक्सी का नियत भाड़ा ₹ x है और प्रति किमी दूरी का भाड़ा ₹ y है।
तब, 10 किमी दूरी के लिए कुल भाड़ा = नियत भाड़ा + 10 किमी का भाड़ा
= x + 10 × y
= (x + 10y)
प्रश्नानुसार, यह भाड़ा ₹ 105 है
x + 10y = 105 …….. (1)
इसी प्रकार, 15 किमी दूरी के लिए कुल भाड़ा
= नियत भाड़ा + 15 किमी का भाड़ा
= ₹ x + ₹ 15y
= ₹(x + 15y)
प्रश्नानुसार यह भाड़ा ₹ 155 है।
x + 15y = 155 ……. (2)
समीकरण (1) से, x = 105 – 10y
x का यह मान समीकरण (2) में रखने पर,
105 – 10y + 15y = 155
⇒ -10 y + 15y = 155 – 105
⇒ 5y = 50
⇒ y = 10
तब, y का मान समीकरण (2) में रखने पर,
x + 15 × 10 = 155
⇒ x + 150 = 155
⇒ x = 155 – 150 = 5
अतः टैक्सी का नियत भाड़ा ₹ 5 है और प्रति किमी दूरी का भाड़ा ₹ 10 है
तथा 25 किमी यात्रा का भाड़ा = 5 नियत भाड़ा + (25 × 10) यात्रा भाड़ा
= ₹ (5 + 250)
= ₹ 255
(v) माना भिन्न का अंश x तथा हर y है।
भिन्न = \(\frac{x}{y}\)


![]()
(vi) माना जैकब और उसके पुत्र की वर्तमान आयु क्रमश: x व y वर्ष है।
5 वर्ष बाद जैकब की आयु = (x + 5) वर्ष
तथा 5 वर्ष बाद पुत्र की आयु = (y + 5) वर्ष
प्रश्नानुसार, 5 वर्ष के बाद जैकब की आयु = 3 × उसके पुत्र की आयु
x + 5 = 3 × (y + 5)
⇒ x + 5 = 3y + 15
⇒ x = 3y + 15 – 5
⇒ x = 3y + 10 …….. (1)
5 वर्ष पूर्व जैकब की आयु = (x – 5) वर्ष
तथा 5 वर्ष पूर्व उसके पुत्र की आयु = (y – 5) वर्ष
प्रश्नानुसार, 5 वर्ष पहले जैकब की आयु = 7 × 5 वर्ष पहले उसके पुत्र की आयु
x – 5 = 7 × (y – 5)
⇒ x – 5 = 7y – 35
⇒ x – 7y = +5 – 35
⇒ x – 7y = -30 ….(2)
समीकरण (1) से x का मान समीकरण (2) में रखने पर,
(3y + 10) – 7y = -30
⇒ 3y + 10 – 7y = -30
⇒ 3y – 7y = -30 – 10
⇒ -4y = -40
⇒ y = 10
समीकरण (1) में y का मान रखने पर,
x = (3 × 10) + 10 = 30 + 10 = 40
दिए गए समीकरण युग्म का हल : x = 40, y = 10