Bihar Board Class 10 Maths Solutions Chapter 5 समांतर श्रेढ़ियाँ Ex 5.1 Text Book Questions and Answers.
BSEB Bihar Board Class 10 Maths Solutions Chapter 5 समांतर श्रेढ़ियाँ Ex 5.1
Bihar Board Class 10 Maths समांतर श्रेढ़ियाँ Ex 5.1
प्रश्न 1.
निम्नलिखित स्थितियों में से किन स्थितियों में सम्बद्ध संख्याओं की सूची A.P. है और क्यों?
(i) प्रत्येक किलोमीटर के बाद का टैक्सी का किराया, जबकि प्रथम किलोमीटर के लिए किराया ₹ 15 है और प्रत्येक अतिरिक्त किलोमीटर के लिए किराया ₹ 8 है।
(ii) किसी बेलन (cylinder) में उपस्थित हवा की मात्रा, जबकि वायु निकालने वाला पम्प प्रत्येक बार बेलन की शेष हवा का \(\frac{1}{4}\) भाग बाहर निकाल देता है।
(iii) प्रत्येक मीटर की खुदाई के बाद, एक कुआँ खोदने में आई लागत, जबकि प्रथम मीटर खुदाई की लागत ₹ 150 है और बाद में प्रत्येक मीटर खुदाई की लागत ₹ 50 बढ़ती जाती है।
(iv) खाते में प्रत्येक वर्ष का मिश्रधन, जबकि ₹ 10000 की राशि 8% वार्षिक की दर से चक्रवृद्धि ब्याज पर जमा की जाती है।
हल
(i) टैक्सी के प्रथम किमी का किराया = ₹ 15
अगले प्रत्येक किमी का किराया = ₹ 8
2 किमी का किराया = ₹ (15 + 8) = ₹ 23
3 किमी का किराया = ₹ (23 + 8) = ₹ 31
4 किमी का किराया = ₹ (31 + 8) = ₹ 39
a1 = ₹ 15, a2 = ₹ 23, a3 = ₹ 31, a4 = ₹ 39
दो क्रमागत पदों का अन्तर,
a2 – a1 = ₹ (23 – 15) = ₹ 8
a3 – a2 = ₹ (31 – 23) = ₹ 8
a4 – a3 = ₹ (39 – 31) = ₹ 8
दो क्रमागत पदों का अन्तर नियत है,
अत: किमी में टैक्सी का किराया A.P. में है।
![]()
(ii) माना बेलन में हवा का प्रारम्भिक आयतन = V
पहली बार पम्प \(\frac{V}{4}\) भाग हवा निकाल देगा।


दो क्रमागत पदों का अन्तर नियत नहीं है,
अत: हवा के आयतन A.P. में नहीं हैं।
(iii) कुएं के प्रथम मीटर की खुदाई की लागत = ₹ 150
बाद में प्रत्येक मीटर की खुदाई ₹ 50 बढ़ जाती है।
पहले 2 मीटर की खुदाई = ₹ (150 + 50) = ₹ 200
पहले 3 मीटर की खुदाई = ₹ (150 + 50 + 50) = ₹ 250
पहले 4 मीटर की खुदाई = ₹ (150 + 50 + 50 + 50) = ₹ 300
a1 = ₹ 150, a2 = ₹ 200, a3 = ₹ 250, a4 = ₹ 300
दो क्रमागत पदों का अन्तर,
a2 – a1 = ₹ (200 – 150) = ₹ 50
a3 – a2 = ₹ (250 – 200) = ₹ 50
a4 – a3 = ₹ (300 – 250) = ₹ 50
चूँकि दो क्रमागत पदों का अन्तर नियत (₹ 50) है।
अत: कुआँ खोदने में आई लागत ₹ 150, ₹ 200, ₹ 250, ₹ 300, …… A.P. में हैं।
![]()
(iv) खाते में जमा किए गए धन के लिए भिन्न वर्षों के मिश्रधन :
मूलधन, P = ₹ 10000, ब्याज की दर, R = 8%

निरीक्षण से ही स्पष्ट है कि A2 – A1 ≠ A3 – A2
अत: मिश्रधन A.P. में नहीं हैं।
प्रश्न 2.
दी हुई A.P. के प्रथम चार पद लिखिए, जबकि प्रथम पद a और सार्वान्तर d निम्नलिखित हैं-
(i) a = 10, d = 10
(ii) a = -2, d = 0
(iii) a = 4, d = -3
(iv) a = -1, d = \(\frac{1}{2}\)
(v) a = -1.25, d = -0.25
हल
(i) प्रथम पद (a) = 10 तथा सार्वान्तर (d) = 10
दूसरा पद = a + d = 10 + 10 = 20
तीसरा पद = a + 2d = 10 + (2 × 10) = 30
चौथा पद = a + 3d = 10 + (3 × 10) = 40
अत: दी गई A.P. के प्रथम चार पद : 10, 20, 30, 40
![]()
(ii) प्रथम पद (a) = -2 तथा सार्वान्तर (d) = 0
दूसरा पद = a + d = -2 + 0 = -2
तीसरा पद = a + 2d = -2 + (2 × 0) = -2
चौथा पद = a + 3d = -2 + (3 × 0) = -2
अतः दी गई A.P. के प्रथम चार पद : -2, -2, -2, -2
(iii) प्रथम पद (a) = 4 तथा सार्वान्तर (d) = -3
दूसरा पद = a + d = 4 + (-3) = 1
तीसरा पद = a + 2d = 4 + 2 × (-3) = 4 + (-6) = -2
चौथा पद = a + 3d = 4 + 3 × (-3) = 4 + (-9) = -5
अत: दी गई A.P. के प्रथम चार पद : 4, 1, -2, -5
![]()
(iv) प्रथम पद (a) = -1 तथा सार्वान्तर (d) = \(\frac{1}{2}\)
दूसरा पद = a + d = -1 + \(\frac{1}{2}\) = \(\frac{-1}{2}\)
तीसरा पद = a + 2d = -1 + (2 × \(\frac{1}{2}\)) = -1 + 1 = 0
चौथा पद = a + 3d = -1 + (3 × \(\frac{1}{2}\)) = -1 + \(\frac{3}{2}\) = \(\frac{1}{2}\)
अत: दी गई A.P. के प्रथम चार पद : -1, \(\frac{-1}{2}\), 0, \(\frac{1}{2}\)
(v) प्रथम पद (a) = -1.25 तथा सार्वान्तर (d) = -0.25
दूसरा पद = a + d = -1.25 + (-0.25) = -1.50
तीसरा पद = a + 2d = -1.25 + 2 × (-0.25) = -1.25 – 0.50 = -1.75
चौथा पद = a + 3d = -1.25 + 3 × (-0.25) = -1.25 – 0.75 = -2.00
अतः दी गई A.P. के प्रथम चार पद : -1.25, -1.50, -1.75, -2.00
![]()
प्रश्न 3.
निम्नलिखित में से प्रत्येक A.P. के लिए प्रथम पद तथा सार्वान्तर लिखिए :
(i) 3, 1, -1, -3,…….
(ii) -5, -1, 3, 7,……….
(iii) \(\frac{1}{3}, \frac{5}{3}, \frac{9}{3}, \frac{13}{3}, \ldots \ldots\)
(iv) 0.6, 1.7, 2.8, 3.9,……
हल
(i) दी गई A.P. = 3, 1, -1, -3,…….
a1 = 3, a2 = 1, a3 = -1, a4 = -3
प्रथम पद (a) = a1 = 3
सार्वान्तर (d) = a2 – a1 = 1 – 3 = -2
अत: प्रथम पद = 3 तथा सार्वान्तर = -2
![]()
(ii) दी गई A.P. = -5, -1, 3, 7,…….
a1 = -5, a2 = -1, a3 = 3, a4 = 7
प्रथम पद (a) = a1 = -5
सार्वान्तर (d) = a2 – a1 = -1 – (-5) = -1 + 5 = 4
अत: प्रथम पद = -5 तथा सार्वान्तर = 4

(iv) दी गई A.P. = 0.6, 1.7, 2.8, 3.9,……
a1 = 0.6, a2 = 1.7, a3 = 2.8, a4 = 3.9
प्रथम पद (a) = a1 = 0.6
सार्वान्तर (d) = a2 – a1 = 1.7 – 0.6 = 1.1
अतः प्रथम पद = 0.6 तथा सार्वान्तर = 1.1
![]()
प्रश्न 4.
निम्नलिखित में से कौन-कौन A.P. हैं? यदि कोई A.P. है, तो इसका सार्वान्तर ज्ञात कीजिए और इनके तीन और पद लिखिए।
(i) 2, 4, 8, 16, …….
(ii) 2, \(\frac{5}{2}\), 3, \(\frac{7}{2}\),……
(iii) -1.2, -3.2, -5.2, -7.2,…..
(iv) -10, -6, -2, 2,…….
(v) 3, 3 + √2, 3 + 2√2, 3 + 3√2,….
(vi) 0.2, 0.22, 0.222, 0.2222,….
(vii) 0, -4, -8, -12,……
(viii) \(-\frac{1}{2},-\frac{1}{2},-\frac{1}{2},-\frac{1}{2}, \ldots \ldots\)
(ix) 1, 3, 9, 27,……
(x) a, 2a, 3a, 4a,……
(xi) a, a2, a3, a4,……
(xii) √2, √8, √18, √32,……
(xiii) √3, √6, √9, √12,…..
(xiv) 12, 32, 52, 72,…..
(xv) 12, 52, 72, 73,……
हल
यहाँ प्रत्येक अनुक्रम के प्रथम 4 पद ज्ञात हैं। यदि कोई अनुक्रम A.P. में है, तो उसके अगले तीन पद और ज्ञात करने हैं अर्थात् 5 वाँ, छठा और 7 वाँ पद और ज्ञात करना है।
(i) दिया हुआ अनुक्रम : 2, 4, 8, 16, ……..
a1 = 2, a2 = 4, a3 = 8, a4 = 16
दो क्रमागत पदों के अन्तर,
a2 – a1 = 4 – 2 = 2
a3 – a2 = 8 – 4 = 4
दो क्रमागत पदों का अन्तर नियत नहीं है।
अतः दिया गया अनुक्रम A.P. में नहीं है।
![]()
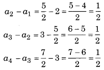
(ii) दिया हुआ अनुक्रम,
2, \(\frac{5}{2}\), 3, \(\frac{7}{2}\),……
a1 = 2, a2 = \(\frac{5}{2}\), a3 = 3, a4 = \(\frac{7}{2}\)
दो क्रमागत पदों का अन्तर,

दो क्रमागत पदों का अन्तर नियत (\(\frac{1}{2}\)) है।
सार्वान्तर (d) = \(\frac{1}{2}\)
अतः दिया गया अनुक्रम एक A.P. में है।
तब, पाँचवाँ पद (a5) = चौथा पद (a4) + सार्वान्तर (d)
\(=\frac{7}{2}+\frac{1}{2}=\frac{7+1}{2}=\frac{8}{2}=4\)
छठा पद (a6) = पाँचवाँ पद (a5) + सार्वान्तर (d)
\(=4+\frac{1}{2}=\frac{8+1}{2}=\frac{9}{2}\)
सातवाँ पद (a7) = छठा पद (a6) + सार्वान्तर (d)
\(=\frac{9}{2}+\frac{1}{2}=\frac{9+1}{2}=\frac{10}{2}=5\)
अत: दिए गए अनुक्रम के अगले तीन पद : 4, \(\frac{9}{2}\) , 5 होंगे।
(iii) दिया हुआ अनुक्रम : -1.2, -3.2, -5.2, -7.2, ……
a1 = -1.2, a2 = -3.2, a3 = -5.2, a4 = -7.2
दो क्रमागत पदों का अन्तर,
a2 – a1 = -3.2 – (-1.2) = -3.2 + 1.2 = -2.0
a3 – a2 = -5.2 – (-3.2) = -5.2 + 3.2 = -2.0
a4 – a3 = -7.2 – (-5.2) = -7.2 + 5.2 = -2.0
दो क्रमागत पदों का अन्तर नियत (-2.0) है।
सार्वान्तर d = -2.0 और दिया गया अनुक्रम एक A.P. है।
तब, पाँचवाँ पद (a5) = चौथा पद (a4) + सार्वान्तर (d) = -7.2 + (-2) = -9.2
छठा पद (a6) = पाँचवाँ पद (a5) + सार्वान्तर (d) = -9.2 + (-2) = -11.2
सातवाँ पद (a7) = छठा पद (a6) + सार्वान्तर (d) = -11.2 + (-2)= -13.2
अत: दिए गए अ6नुक्रम के अगले तीन पद : -9.2, -11.2, -13.2 होंगे।
![]()
(iv) दिया हुआ अनुक्रम : -10, -6, -2, 2,…..
a1 = -10, a2 = -6, a3 = -2, a4 = 2
दो क्रमागत पदों का अन्तर,
a2 – a1 = -6 – (-10) = -6 + 10 = 4
a3 – a2 = -2 – (-6) = -2 + 6 = 4
a4 – a3 = 2 – (-2) = 2 + 2 = 4
दो क्रमागत पदों का अन्तर नियत (4) है।
सार्वान्तर (d) = 4 और दिया गया अनुक्रम एक A.P. है।
तब, पाँचवाँ पद (a5) = चौथा पद (a4) + सार्वान्तर (d) = 2 + 4 = 6
छठा पद (a6) = पाँचवाँ पद (a5) + सार्वान्तर (d) = 6 + 4 = 10
सातवाँ पद (a7) = छठा पद (a6) + सार्वान्तर (d) = 10 + 4 = 14
अत: दिए गए अनुक्रम के अगले तीन पद : 6, 10, 14 होंगे।
(v) दिया हुआ अनुक्रम : 3, 3 + √2, 3 + 2√2, 3 + 3√2, ……
a1 = 3, a2 = 3 + √2, a3 = 3 + 2√2, a4 = 3 + 3√2
दो क्रमागत पदों का अन्तर,
a2 – a1 = (3 + √2) – 3 = √2
a3 – a2 = (3 + 2√2) – (3 + √2) = √2
a4 – a3 = (3 + 3√2) – (3 + 2√2) = √2
दो क्रमागत पदों का अन्तर नियत (√2) है।
सार्वान्तर (d) = √2 और दिया गया अनुक्रम एक A.P. में है।
तब, पाँचवाँ पद (a5 ) = a4 + d = 3 + 3√2 + √2 = 3 + √2(3 + 1) = 3 + 4√2
छठा पद (a6) = a5 + d = 3 + 4√2 + √2 = 3 + √2(4 + 1) = 3 + 5√2
सातवाँ पद (a7) = a6 + d = 3 + 5√2 + √2 = 3 + √2(5 + 1) = 3 + 6√2
अतः दिए गए अनुक्रम के अगले तीन पद हैं :
3 + 4√2, 3 + 5√2, 3 + 6√2
![]()
(vi) दिया हुआ अनुक्रम : 0.2, 0.22, 0.222, 0.2222, ….
a1 = 0.2, a2 = 0.22, a3 = 0.222, a4 = 0.2222
दो क्रमागत पदों का अन्तर,
a2 – a1 = 0.22 – 0.2 = 0.02
a3 – a2 = 0.222 – 0.22 = 0.002
a4 – a3 = 0.222 – 0.222 = 0.0002
दो क्रमागत पदों का अन्तर नियत नहीं है।
अत: दिया गया अनुक्रम A.P. में नहीं है।
(vii) दिया हुआ अनुक्रम : 0, -4, -8, -12, ……
a1 = 0, a2 = -4, a3 = -8, a4 = -12
दो क्रमागत पदों का अन्तर,
a2 – a1 = -4 – 0 = -4
a3 – a2 = -8 – (-4) = -8 + 4 = -4
a4 – a3 = -12 – (-8) = -12 + 8 = -4
दो क्रमागत पदों का अन्तर नियत (-4) है।
सार्वान्तर (d) = -4 और दिया गया अनुक्रम एक A.P. में है।
तब, पाँचवाँ पद (a5) = चौथा पद (a4) + सार्वान्तर (d) = -12 + (-4) = -16
छठा पद (a6) = पाँचवाँ पद (a5) + सार्वान्तर (d) = -16 + (-4) = -20
सातवाँ पद (a7) = छठा पद (a6) + सार्वान्तर (d) = -20 + (-4) = -24
अत: दिए गए अनुक्रम के अगले तीन पद : -16, -20, -24 होंगे।
![]()
(viii) दिया हुआ अनक्रम :
\(-\frac{1}{2},-\frac{1}{2},-\frac{1}{2},-\frac{1}{2}, \ldots \ldots\)
a1 = \(-\frac{1}{2}\), a2 = \(-\frac{1}{2}\), a3 = \(-\frac{1}{2}\), a4 = \(-\frac{1}{2}\)
दो क्रमागत पदों का अन्तर,

दो क्रमागत पदों का अन्तर नियत (शून्य) है।
सार्वान्तर (d) = 0 और दिया गया अनुक्रम एक A.P. में है।
सार्वान्तर (d) = 0 है; अत: इस A.P. का प्रत्येक पद \(-\frac{1}{2}\) ही होगा।
अत: दिए गए अनुक्रम के अगले तीन पद : \(-\frac{1}{2},-\frac{1}{2},-\frac{1}{2}\) होंगे।
(ix) दिया हुआ अनुक्रम : 1, 3, 9, 27,……
a1 = 1, a2 = 3, a3 = 9, a4 = 27
दो क्रमागत पदों का अन्तर,
a2 – a1 = 3 – 1 = 2
a3 – a2 = 9 – 3 = 6
a4 – a3 = 27 – 9 = 18
दो क्रमागत पदों का अन्तर नियत नहीं है।
अत: दिया गया अनुक्रम एक A.P. में नहीं है।
![]()
(x) दिया हुआ अनुक्रम : a, 2a, 3a, 4a, ……
a1 = a, a2 = 2a, a3 = 3a, a4 = 4a
दो क्रमागत पदों का अन्तर,
a2 – a1 = 2a – a = a
a3 – a2 = 3a – 2a = a
a4 – a3 = 4a – 3a = a
दो क्रमागत पदों का अन्तर नियत (a) है।
अतः सार्वान्तर (d) = a और दिया गया अनुक्रम एक A.P. में है।
तब, पाँचवाँ पद (a5) = चौथा पद (a4) + सार्वान्तर (d) = 4a + a = 5a
छठा पद (a6) = पाँचवाँ पद (a5) + सार्वान्तर (d) = 5a + a = 6a
सातवाँ पद (a7) = छठा पद (a6) + सान्तिर (d) = 6a + a = 7a
अतः दिए गए अनुक्रम के अगले तीन पद : 5a, 6a, 7a होंगे।
(xi) दिया हुआ अनुक्रम : a, a2, a3, a4,……
a1 = a, a2 = a2, a3 = a3, a4 = a4
दो क्रमागत पदों का अन्तर,
a2 – a1 = a2 – a = a(a – 1)
a3 – a2 = a3 – a2 = a2(a – 1)
a4 – a3 = a4 – a3 = a3(a – 1)
दो क्रमागत पदों का अन्तर नियत नहीं है।
अतः दिया गया अनुक्रम एक A.P. में नहीं है।
![]()
(xii) दिया हुआ अनुक्रम : √2, √8, √18, √32,……
a1 = √2, a2 = √8, a3 = √18, a4 = √32
दो क्रमागत पदों का अन्तर,
a2 – a1 = √8 – √2 = √2(√4 – 1) = √2(2 – 1) = √2
a3 – a2 = √18 – √8 = √2(√9 – √4) = √2(3 – 2) = √2
a4 – a3 = √32 – √18 = √2(√16 – √9) = √2(4 – 3) = √2
दो क्रमागत पदों का अन्तर नियत (√2) है।
अत: सार्वान्तर (d) = √2 और दिया गया अनुक्रम एक A.P. में है।
तब, पाँचवाँ पद (a5) = चौथा पद (a4) + सार्वान्तर (d)
= √32 + √2
= √2(√16 + 1)
= √2(4 + 1)
= 5√2
= √25 × √2
= √50
छठाँ पद (a6) = पाँचवाँ पद (a5) + सार्वान्तर (d)
= √50 + √2
= √2 (√25 + 1)
= √2(5 + 1)
= 6√2
= √36 × √2
= √72
सातवाँ पद (a7) = छठाँ पद (a6) + सार्वान्तर (d)
= √72 + √2
= √2(√36 + 1)
= √2(6 + 1)
= 7√2
= √49 × √2
= √98
अत: दिए गए अनुक्रम के अगले तीन पद : √50, √72, √98 होंगे।
![]()
(xiii) दिया हुआ अनुक्रम : √3, √6, √9, √12,…..
a1 = √3, a2 = √6, a3 = √9, a4 = √12
दो क्रमागत पदों का अन्तर,
a2 – a1 = √6 – √3 = √3(√2 – 1)
a3 – a2 = √9 – √6 = √3(√3 – √2)
a4 – a3 = √12 – √9 = 2√3 – 3
दो क्रमागत पदों का अन्तर नियत नहीं है।
अत: दिया गया अनुक्रम एक A.P. में नहीं है।
(xiv) दिया हुआ अनुक्रम : 12, 32, 52, 72,…..
a1 = 12, a2 = 32, a3 = 52, a4 = 72
दो क्रमागत पदों का अन्तर,
a2 – a1 = 32 – 12 = 9 – 1 = 8
a3 – a2 = 52 – 32 = 25 – 9 = 16
a4 – a3 = 72 – 52 = 49 – 25 = 24
दो क्रमागत पदों का अन्तर नियत नहीं है।
अत: दिया गया अनुक्रम एक A.P. में नहीं है।
![]()
(xv) दिया हुआ अनुक्रम : 12, 52, 72, 73, ……
a1 = 12, a2 = 52, a3 = 72, a4 = 73,
दो क्रमागत पदों का अन्तर,
a2 – a1 = 52 – 12 = 25 – 1 = 24
a3 – a2 = 72 – 52 = 49 – 25 = 24
a4 – a3 = 73 – 72 = 73 – 49 = 24
दो क्रमागत पदों का अन्तर नियत (24) है।
सार्वान्तर (d) = 24 और दिया गया अनुक्रम एक A.P. में है।
तब, पाँचवाँ पद = चौथा पद + सार्वान्तर (d) = 73 + 24 = 97
छठाँ पद = पाँचवाँ पद + सार्वान्तर (d) = 97 + 24 = 121 = (11)2
सातवाँ पद = छठा पद + सार्वान्तर (d) = (11)2 + 24 = 121 + 24 = 145
अत: दिए गए अनुक्रम के अगले तीन पद : 97, 112, 145 होंगे।