Bihar Board Class 10 Maths Solutions Chapter 7 निर्देशांक ज्यामिति Ex 7.1 Text Book Questions and Answers.
BSEB Bihar Board Class 10 Maths Solutions Chapter 7 निर्देशांक ज्यामिति Ex 7.1
Bihar Board Class 10 Maths निर्देशांक ज्यामिति Ex 7.1
प्रश्न 1.
बिन्दुओं के निम्नलिखित युग्मों के बीच की दूरियाँ ज्ञात कीजिए
(i) (2, 3), (4, 1)
(ii) (-5, 7), (-1, 3)
(iii) (a, b), (-a, -b)
हल
(i) दिए हुए बिन्दु (2, 3) व (4, 1)
यहाँ x1 = 2, y1 = 3, x2 = 4, y2 = 1
बिन्दुओं (2, 3) व (4, 1) के बीच की दूरी

अत: दिए हुए बिन्दुओं के बीच की दूरी = 2√2 मात्रक
(ii) दिए हुए बिन्दु (-5, 7) व (-1, 3)
यहाँ x1 = -5, y1 = 7, x2 = -1, y2 = 3
बिन्दुओं (-5, 7) व (-1, 3) के बीच की दूरी

अत: दिए हुए बिन्दुओं के बीच की दूरी = 4√2 मात्रक
(iii) दिए हुए बिन्दु (a, b) व (-a, -b)
यहाँ x1 = a, y1 = b, x2 = -a, y2 = -b
बिन्दुओं (a, b) और (-a, -b) के बीच की दूरी

अत: दिए हुए बिन्दुओं के बीच की दूरी = \(2 \sqrt{a^{2}+b^{2}}\) मात्रक
![]()
प्रश्न 2.
बिन्दुओं (0, 0) और (36, 15) के बीच की दूरी ज्ञात कीजिए। क्या अब आप अनुच्छेद 7.2 में दिए दोनों शहरों A व B के बीच की दूरी ज्ञात कर सकते हैं?
हल
दिए हुए बिन्दु (0, 0) व (36, 15)
यहाँ x1 = 0, y1 = 0, x2 = 36, y2 = 15
बिन्दुओं (0, 0) व (36, 15) के बीच की दूरी

अत: दिए हुए बिन्दुओं के बीच की दूरी = 39 मात्रक
हाँ, हम ज्ञात कर सकते हैं :

अनुच्छेद 7.2 में दिए गए शहरों के, कार्तीय निर्देशांक पद्धति के सापेक्ष निर्देशांक A = (0, 0) तथा B = (36, 15)
शहरों के बीच की दूरी

प्रश्न 3.
निर्धारित कीजिए कि क्या बिन्दु (1, 5) (2, 3) और (-2, -11) संरेखी हैं?
हल
माना दिए हुए बिन्दु P = (1, 5), Q = (2, 3) तथा R = (-2, -11) हैं।
यहाँ x1 = 1, y1 = 5, x2 = 2, y2 = 3, x3 = -2, y3 = -11


PQ + QR = 2.23 + 14.56 = 16.79 ≠ RP
अतः दिए गए बिन्दु संरेख नहीं हैं।
![]()
प्रश्न 4.
जाँच कीजिए कि क्या बिन्दु (5, -2), (6, 4) और (7, -2) एक समद्विबाहु त्रिभुज के शीर्ष हैं।
हल
माना दिए हुए बिन्दु P = (5, -2), Q = (6, 4) और R = (7, -2) हैं, जो ΔPQR के शीर्ष हैं :
यहाँ x1 = 5, y1 = -2, x2 = 6, y2 = 4, x3 = 7, y3 = -2

ΔPQR में, PQ = QR
⇒ ΔPQR समद्विबाहु है।
अतः दिए गए बिन्दु एक समद्विबाहु त्रिभुज के शीर्ष हैं।
प्रश्न 5.
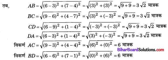
किसी कक्षा में, चार मित्र बिन्दुओं A, B, C और D पर बैठे हुए हैं, जैसा कि आकृति में दर्शाया गया है। चम्पा और चमेली कक्षा के अन्दर आती हैं और कुछ मिनट तक देखने के बाद, चम्पा चमेली से पूछती है, ‘क्या तुम नहीं सोचती हो कि ABCD एक वर्ग है?’ चमेली इससे सहमत नहीं है। दूरी सूत्र का प्रयोग करके, बताइए कि इनमें कौन सही है?
हल
दी गई आकृति से बिन्दुओं A, B, C व D के निर्देशांक क्रमशः (3, 4), (6, 7), (9, 4), (6, 1) हैं।


∵ चतुर्भुज ABCD की चारों भुजाएँ AB, BC, CD, DA परस्पर बराबर हैं और चतुर्भुज के विकर्ण AC व BD भी बराबर हैं।
अत: चतुर्भुज ABCD एक वर्ग है। चम्पा सही है।
![]()
प्रश्न 6.
निम्नलिखित बिन्दुओं द्वारा बनने वाले चतुर्भुज का प्रकार (यदि कोई है तो) बताइए तथा अपने उत्तर के लिए कारण भी दीजिए-
(i) (-1, -2), (1, 0),(-1, 2),(-3, 0)
(ii) (-3, 5), (3, 1), (0, 3),(-1, -4)
(iii) (4, 5), (7, 6), (4, 3), (1, 2)
हल
(i) माना P = (-1, -2), Q = (1, 0), R = (-1, 2), S = (-3, 0)


∵ PQ2 + QR2 = (2√2)2 + (2√2)2 = 8 + 8 = 16 = PR2
∴ ∠Q समकोण है और चतुर्भुज की चारों भुजाएँ बराबर हैं।
अत: उक्त बिन्दुओं से बनने वाला चतुर्भुज एक वर्ग है।
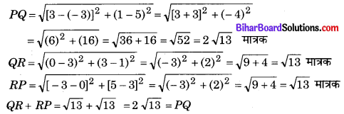
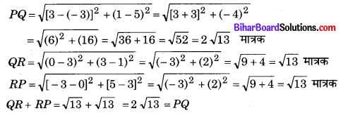
(ii) (-3, 5), (3, 1), (0, 3), (-1, -4)
माना P = (-3, 5), Q = (3, 1), R = (0, 3), S = (-1, -4)

QR + RP = √13 + √13 = 2√13 = PQ
बिन्दु P, Q, R एक रेखा में हैं।
अत: बिन्दुओं P, Q, R व S से चतुर्भुज नहीं बनेगा।
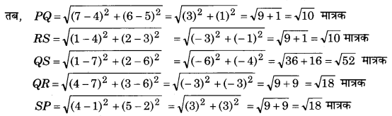
(iii) माना P = (4, 5), Q = (7, 6), R = (4, 3) तथा S = (1, 2)

∵ बिन्दुओं P, Q, R, S से बने चतुर्भुज PQRS में PQ = RS तथा QR = SP अर्थात् सम्मुख भुजाएँ बराबर हैं।
अत: चतुर्भुज PQRS एक समान्तर चतुर्भुज है।
![]()
प्रश्न 7.
X-अक्ष पर वह बिन्दु ज्ञात कीजिए जो (2, -5) और (-2, 9) से समदूरस्थ है।
हल
माना X-अक्ष पर स्थित किसी बिन्दु के निर्देशांक (h, 0) हैं (क्योंकि x-अक्ष के लिए y-निर्देशांक शून्य होता है)।


प्रश्न 8.
y का वह मान ज्ञात कीजिए, जिसके लिए बिन्दु P(2, -3) और Q(10, y) के बीच की दूरी 10 मात्रक है।
हल
दिए हुए बिन्दु P = (2, -3) और Q = (10, 1)
![]()
परन्तु प्रश्न में दिया है कि दोनों बिन्दुओं के बीच की दूरी (PQ) = 10 मात्रक
\(\sqrt{8^{2}+(y+3)^{2}}=10\)
दोनों पक्षों का वर्ग करने पर,
82 + (y + 3)2 = 102
⇒ (y + 3)2 = 102 – 82 = 100 – 64
⇒ (y + 3)2 = 36
⇒ (y + 3)2 = ±6
यदि y + 3 = +6 तो y = +6 – 3 = 3
और यदि y + 3 = -6 तो y = – 6 – 3 = -9
अतः y के अभीष्ट मान = 3, -9
![]()
प्रश्न 9.
यदि Q(0, 1) बिन्दुओं P(6, -3) और R(x, 6) से समदूरस्थ है तो x के मान ज्ञात कीजिए। दूरियाँ QR और PR भी ज्ञात कीजिए।
हल
Q = (0, 1), P = (5, -3) और R = (x, 6)
बिन्दु Q(0, 1) बिदुओं (5, -3) व R(x, 6) से समदूरस्थ है।
अर्थात् PQ = QR

![]()
प्रश्न 10.
x और y में एक ऐसा सम्बन्ध ज्ञात कीजिए कि बिन्दु (x, y)बिन्दुओं (3, 6) और (-3, 4)से समदूरस्थ हो।
हल
माना बिन्दु P = (x, y), Q = (3, 6) तथा R = (-3, 4)
बिन्दु P(x, y) बिन्दुओं Q (3, 6) व R(-3, 4) से समदूरस्थ है।
अर्थात् PQ = PR
![]()
दोनों पक्षों का वर्ग करने पर,
(x – 3)2 + (y – 6)2 = [x – (-3)]2 + (y – 4)2
⇒ x2 – 6x + 9 + y2 – 12y + 36 = (x + 3)2 + (y – 4)2
⇒ x2 + y2 – 6x – 12y + 45 = x2 + 6x + 9 + y2 – 8y + 16
⇒ x2 + y2 – 6x – 12y + 45 = x2 + y2 + 6x – 8y + 25
⇒ -6x – 12 y = 6x – 8 y + 25 – 45
⇒ -6x – 12y – 6x + 8y = -20
⇒ -12x – 4y = -20
⇒ 3x + y = 5 [∵ (-4) से दोनों पक्षों में भाग देने पर]
अत: अभीष्ट सम्बन्ध : 3x + y = 5