Bihar Board Class 10 Maths Solutions Chapter 7 निर्देशांक ज्यामिति Ex 7.2 Text Book Questions and Answers.
BSEB Bihar Board Class 10 Maths Solutions Chapter 7 निर्देशांक ज्यामिति Ex 7.2
Bihar Board Class 10 Maths निर्देशांक ज्यामिति Ex 7.2
प्रश्न 1.
उस बिन्दु के निर्देशांक ज्ञात कीजिए, जो बिन्दुओं (-1, 7) और (4, -3) को मिलाने वाले रेखाखण्ड को 2 : 3 के अनुपात में विभाजित करता है।
हल
दिए गए बिन्दु (-1, 7) और (4, -3)
यहाँ x1 = -1, y1 = 7, x2 = 4, y2 = -3
तथा m1 : m2 = 2 : 3
माना विभाजक बिन्दु P(x, y) है।

अत: अभीष्ट बिन्दु के निर्देशांक = (1, 3)
![]()
प्रश्न 2.
बिन्दुओं (4, -1) और (-2, -3) को जोड़ने वाले रेखाखण्ड को समत्रिभाजित करने वाले बिन्दुओं के निर्देशांक ज्ञात कीजिए।
हल
माना A = (4, -1) तथा B = (-2, -3) दिए गए बिन्दु हैं।
माना बिन्दु P (x, y) तथा Q (x’, y’) AB को समत्रिभाजित करते हैं।
तब, AP : PB = 1 : 2 और AQ : QB = 2 : 1,
यहाँ x1 = 4, y1 = -1, x2 = -2, y2 = -3
तथा m1 : m2 = 1 : 2
तब, बिन्दु P के लिए :


प्रश्न 3.
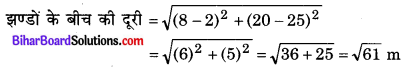
आपके स्कूल में खेल-कूद क्रियाकलाप आयोजित करने के लिए, एक आयताकार मैदान ABCD में, चूने से परस्पर 1 m की दूरी पर पंक्तियाँ बनाई गई हैं। AD के अनुदिश परस्पर 1 m की दूरी पर 100 गमले रखे गए हैं, जैसा कि आकृति में दर्शाया गया है। निहारिका दूसरी पंक्ति में AD के \(\frac{1}{4}\) भाग के बराबर की दूरी दौड़ती है और वहाँ एक हरा झण्डा गाड़ देती है। प्रीत आठवीं पंक्ति में AD के \(\frac{1}{5}\) भाग के बराबर की दूरी दौड़ती है और वहाँ एक लाल झण्डा गाड़ देती है। दोनों झण्डों के बीच की दूरी क्या है? यदि रश्मि को एक नीला झण्डा इन दोनों झण्डों को मिलाने वाले रेखाखण्ड पर ठीक आधी दूरी (बीच में) पर गाड़ना न हो तो उसे अपना झण्डा कहाँ गाड़ना चाहिए?

हल
भुजा AD पर 1 m की दूरी पर 100 गमले रखे गए हैं।
AD = 100 m
निहारिका के झण्डे की स्थिति = दूसरी पंक्ति में AD का \(\frac{1}{4}\) भाग के बराबर दूरी
= दूसरी पंक्ति में 100 का \(\frac{1}{4}\)
= 25 m
= (2, 25)
प्रीत के झण्डे की स्थिति = आठवीं पंक्ति में AD का \(\frac{1}{5}\) भाग के बराबर दूरी
= आठवीं पंक्ति में 100 का \(\frac{1}{5}\)
= 20 m
= (8, 20)

रश्मि को इन दोनों झण्डों को मिलाने वाले रेखाखण्ड के मध्य-बिन्दु पर झण्डा गाड़ना है, तब (2, 25) और (8, 20) के मध्य-बिन्दु के निर्देशांक
= \(\left(\frac{2+8}{2}, \frac{25+20}{2}\right)\)
= \(\left(5, \frac{45}{2}\right)\)
अत: रश्मि को पाँचवीं पंक्ति में AD के अनुदिश \(\frac{45}{2}\) m दूरी पर झण्डा गाड़ना चाहिए।
![]()
प्रश्न 4.
बिन्दुओं (-3, 10) और (6, -8) को जोड़ने वाले रेखाखण्ड को बिन्दु (-1, 6) किस अनुपात में विभाजित करता है।
हल
माना बिन्दुओं (-3, 10) और (6, -8) को जोड़ने वाले रेखाखण्ड को बिन्दु (-1, 6), m1 : m2 में विभक्त करता है, तब

दोनों ही निर्देशांकों से, m1 : m2 = 2 : 7
अत: अभीष्ट अनुपात = 2 : 7
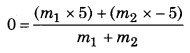
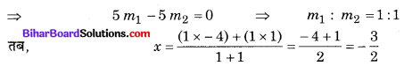
प्रश्न 5.
वह अनुपात ज्ञात कीजिए जिसमें बिन्दुओं A(1, -5) और B(-4, 5) को मिलाने वाला रेखाखण्ड X-अक्ष से विभाजित होता है। इस विभाजन बिन्दु के निर्देशांक भी ज्ञात कीजिए।
हल
दिए हुए बिन्दु A = (1, -5) और B = (-4, 5)
यहाँ x1 = 1, y1 = -5, x2 = -4, y2 = 5
माना रेखाखण्ड AB का X-अक्ष से अनुपात m1 : m2 में विभाजित होता है।
X-अक्ष के लिए y = 0 होता है।
विभाजक बिन्दु (x, 0) होगा जिसके लिए


अत: X-अक्ष से रेखाखण्ड AB बिन्दु (\(-\frac{3}{2}\), 0) पर 1 : 1 में विभाजित है।
![]()
प्रश्न 6.
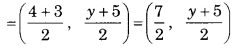
यदि बिन्दु (1, 2), (4, 3), (x, 6) और (3, 5) इसी क्रम में लेने पर, एक समान्तर चतुर्भुज के शीर्ष हों तो x और y ज्ञात कीजिए।
हल
माना ABCD एक समान्तर चतुर्भुज है जिनमें A = (1, 2), B = (4, y), C = (x, 6) तथा D = (3, 5)
इसके विकर्ण AC तथा BD परस्पर समद्विभाजित करेंगे।
AC का मध्य-बिन्दु = बिन्दुओं (1, 2) तथा (x, 6) का मध्य-बिन्दु
![]()
BD का मध्य-बिन्दु = बिन्दुओं (4, 3) तथा (3, 5) का मध्य-बिन्दु

∵ AC और BD परस्पर समद्विभाजित करते हैं
∵ AC का मध्य-बिन्दु वही होगा जो BD का है।
\(\frac{1+x}{2}=\frac{7}{2}\)
⇒ 1 + x = 7
⇒ x = 6
और \(\frac{y+5}{2}=4\)
⇒ y + 5 = 8
⇒ y = 3
अत: x = 6, और y = 3
प्रश्न 7.
बिन्दु A के निर्देशांक ज्ञात कीजिए, जहाँ AB एक वृत्त का व्यास है जिसका केन्द्र (2, -3) है तथा B के निर्देशांक (1, 4) हैं।


हल
केन्द्र के निर्देशांक = (2, -3)
तथा बिन्दु B के निर्देशांक = (1, 4)
माना बिन्दु A के निर्देशांक (x1, y1) हैं।
x1 = 2, y1 = -3, x2 = 1, y2 = 4
माना केन्द्र O के निर्देशांक (x, y) = (2, -3) व्यास AB के मध्य-बिन्दु पर है।
\(x=\frac{x_{1}+x_{2}}{2}\) तथा \(y=\frac{y_{1}+y_{2}}{2}\)
⇒ \(2=\frac{x_{1}+1}{2}\) तथा \(-3=\frac{y_{1}+4}{2}\)
⇒ x1 + 1 = 4 तथा y1 + 4 = -6
⇒ x1 = 4 – 1 = 3 तथा y1 = – 6 – 4 = -10
अत: बिन्दु A के निर्देशांक = (3, -10)
![]()
प्रश्न 8.
यदि A और B क्रमशः (-2, -2) और (2, -4) हों तो बिन्दु P के निर्देशांक ज्ञात कीजिए ताकि AP = \(\frac{3}{7}\) AB हो और P रेखाखण्ड AB पर स्थित हो।
हल
दिया है, A = (-2, -2), और B = (2, -4)
यहाँ x1 = – 2, y1 = -2, x2 = 2, y2 = -4
AP = \(\frac{3}{7}\) AB
⇒ AP = \(\frac{3}{7}\) (AP + PB)
⇒ 7AP = 3AP + 3PB
⇒ 4AP = 3PB
⇒ AP : PB = 3 : 4
⇒ m1 : m2 = 3 : 4
यदि P के निर्देशांक (x, y) हो तो

प्रश्न 9.
बिन्दुओं A(-2, 2) और B(2, 8) को जोड़ने वाले रेखाखण्ड AB को चार बराबर भागों में विभाजित करने वाले बिन्दुओं के निर्देशांक ज्ञात कीजिए।
हल
माना बिन्दु A = (-2, 2) और B = (2, 8)
तब, रेखाखण्ड AB को दो बराबर भागों में बाँटने वाले बिन्दु Q के निर्देशांक = बिन्दुओं (-2, 2) तथा (2,8) के मध्य-बिन्दु के निर्देशांक
= \(\left(\frac{-2+2}{2}, \frac{2+8}{2}\right)\)
= (0, 5)
Q = (0, 5)

तब, रेखाखण्ड AQ के मध्य-बिन्दु P के निर्देशांक
\(=\left(\frac{-2+0}{2}, \frac{2+5}{2}\right)=\left(-1, \frac{7}{2}\right)\)
और रेखाखण्ड QB के मध्य-बिन्दु R के निर्देशांक
\(=\left(\frac{0+2}{2}, \frac{5+8}{2}\right)=\left(1, \frac{13}{2}\right)\)
अत: दिए हुए बिन्दुओं को 4 बराबर भागों में बाँटने वाले बिन्दुओं P, Q व R के निर्देशांक क्रमशः (-1, \(\frac{7}{2}\)),(0, 5) व (1, \(\frac{13}{2}\)) हैं।
![]()
प्रश्न 10.
एक समचतुर्भुज का क्षेत्रफल ज्ञात कीजिए जिसके शीर्ष, इसी क्रम में, (3, 0), (4, 5), (-1, 4) और (-2, -1) हैं।

हल
माना A = (3, 0), B = (4, 5), C = (-1, 4) और D = (-2, -1)
समचतुर्भुज ABCD का विकर्ण


समचतुर्भुज का क्षेत्रफल = \(\frac {1}{2}\) × एक विकर्ण × दूसरा विकर्ण
= \(\frac {1}{2}\) × AC × BD
= \(\frac {1}{2}\) × 4√2 × 6√2
= \(\frac {1}{2}\) × 24 × 2
= 24 वर्ग मात्रक
अतः समचतुर्भुज का क्षेत्रफल = 24 वर्ग मात्रक