Bihar Board Class 10 Maths Solutions Chapter 8 त्रिकोणमिति का परिचय Ex 8.1 Text Book Questions and Answers.
BSEB Bihar Board Class 10 Maths Solutions Chapter 8 त्रिकोणमिति का परिचय Ex 8.1
Bihar Board Class 10 Maths त्रिकोणमिति का परिचय Ex 8.1
प्रश्न 1.
ΔABC में, जिसका कोण B समकोण है, AB = 24 सेमी और BC = 7 सेमी है। निम्नलिखित का मान ज्ञात कीजिए-
(i) sin A, cos A
(ii) sin C, cos C

हल
समकोण ΔABC में ∠B = 90°
तब पाइथागोरस प्रमेय से,
AC2 = AB2 + BC2
AC2 = (24)2 + (7)2 = 576 + 49 = 625
AC = √625 = 25 सेमी

![]()
प्रश्न 2.
आकृति में, tan P – cot R का मान ज्ञात कीजिए।

हल
समकोण ΔPQR में,
पाइथागोरस प्रमेय से,
PQ2 + QR2 = PR2
⇒ (12)2 + QR2 = (13)2
⇒ QR2 = (13)2 – (12)2 = 169 – 144 = 25
⇒ QR = 5 सेमी

प्रश्न 3.
यदि sin A = \(\frac{3}{4}\), तो cos A और tan A का मान परिकलित कीजिए।

हल
दिया है, किसी समकोण त्रिभुज में, sin A = \(\frac{3}{4}\)

![]()
प्रश्न 4.
यदि 15 cot A = 8 हो, तो sin A और sec A का मान ज्ञात कीजिए।

हल


प्रश्न 5.
यदि sec θ = \(\frac{13}{12}\) हो तो अन्य सभी त्रिकोणमितीय अनुपात परिकलित कीजिए।

हल


![]()
प्रश्न 6.
यदि ∠A तथा ∠B न्यूनकोण हों और cos A = cos B हो, तो दिखाइए कि: ∠A = ∠B

हल
माना त्रिभुज ABC में ∠C समकोण है।
दिया है, ∠A तथा ∠B न्यूनकोण हैं।

प्रश्न 7.
यदि cot θ = \(\frac{7}{8}\), तो (i) \(\frac{(1+\sin \theta)(1-\sin \theta)}{(1+\cos \theta)(1-\cos \theta)}\), (ii) cot2θ का मान निकालिए।
हल



![]()
प्रश्न 8.
यदि 3 cot A = 4, तो जाँच कीजिए कि \(\frac{1-\tan ^{2} A}{1+\tan ^{2} A}\) = cos2 A – sin2 A है या नही।
हल


प्रश्न 9.
त्रिभुज ABC में, जिसका कोण B समकोण है, यदि tan A = \(\frac{1}{\sqrt{3}}\), तो निम्नलिखित के मान ज्ञात कीजिए :
(i) sin A cos C + cos A sin C
(ii) cos A cos C – sin A sin C
हल


![]()
प्रश्न 10.
ΔPQR में, जिसका कोण Q समकोण है, PR + QR = 25 सेमी और PQ = 5 सेमी है। sin P, cos P और tan P के मान ज्ञात कीजिए।

हल
दिया है, समकोण ΔPQR में, ∠Q = 90°
पाइथागोरस प्रमेय से,
PQ2 + QR2 = PR2
⇒ (5)2 + QR2 = PR2
⇒ 25 = PR2 – QR2
⇒ 25 = (PR + QR) (PR – QR) [∵ a2 – b2 = (a + b)(a – b)]
⇒ 25 = 25 (PR – QR) (∵ PR + QR = 25, दिया है)
⇒ PR – QR = 1 ……..(1)
और PR + QR = 25 ……(2)
समीकरण (1) व (2) को हल करने पर,
PR = 13 सेमी तथा QR = 12 सेमी
समकोण ΔPQR में,

प्रश्न 11.
बताइए कि निम्नलिखित कथन सत्य हैं या असत्या कारण सहित अपने उत्तर की पुष्टि कीजिए।
(i) tan A का मान सदैव 1 से कम होता है।
(ii) कोण A के किसी मान के लिए sec A = \(\frac{12}{5}\)
(iii) cos A, कोण A के cosecant के लिए प्रयुक्त एक संक्षिप्त रूप है।
(iv) cot A, cot और A का गुणनफल होता है।
(v) किसी भी कोण θ के लिए sin θ = \(\frac{4}{3}\)
हल

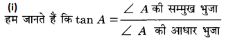
tan A का मान 1 से कम तभी हो सकता है जब ∠A की सम्मुख भुजा, ∠A की आधार भुजा से छोटी हो।
परन्तु ऐसा सदैव होना आवश्यक नहीं है।
अत: कथन “tan A का मान सदैव 1 से कम होता है” असत्य है।

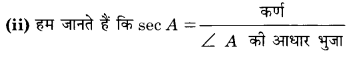
जिसका आशय है कि किसी ∠A के लिए समकोण त्रिभुज के कर्ण और ∠A के आधार का अनुपात 12 : 5 होता है।
परन्तु ऐसा सदैव होना आवश्यक नहीं है।
अत: कथन “कोण A के किसी मान के लिए sec A = \(\frac{12}{5}\)” असत्य है।
![]()
(iii) हम जानते हैं कि cos A, कोण A की cosine का संक्षिप्त रूप होता है जबकि cosecant A का अर्थ है cosec A
अतः दिया हुआ कथन असत्य है।
(iv) cot A का अर्थ ∠A के cotangent से है।
स्वतन्त्र रूप में cot का कोई अस्तित्व ही नहीं है। अत cot A, और cot A का गुणनफल कभी नहीं है।
अत: दिया हुआ कथन असत्य है।
(v) किसी समकोण त्रिभुज में कोण θ के लिए,
यदि sin θ = \(\frac{4}{3}\) तो इसका अर्थ है कि θ की सम्मुख भुजा और कर्ण का अनुपात 4 : 3 है।
परन्तु कर्ण, समकोण त्रिभुज की सबसे बड़ी भुजा होती है।
अतः दिया गया कथन असत्य है।