Bihar Board Class 10th Maths Solutions Chapter 7 Coordinate Geometry Ex 7.3 Textbook Questions and Answers.
BSEB Bihar Board Class 10th Maths Solutions Chapter 7 Coordinate Geometry Ex 7.3
![]()
Question 1.
Find the area of the triangle whose vertices are :
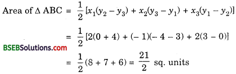
(i) (2, 3), (- 1, 0), (2, – 4)
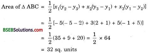
(ii) (- 5, – 1), (3, – 5), (5, 2)
Solution:
(i) Let A = (x1, y1) = (2, 3), B = (x2, y2) = (- 1, 0) and C = (x3, y3) = (2, – 4).

(ii) Let A = (x1, y1) = (- 5, – 1), B = (x2, y2) = (3, – 5) and C = (x3, y3) = (5, 2).

Question 2.
In each of the following, find the value of ‘k\ for which the points are collinear :
(i) (7, – 2), (5, 1), (3, k)
(ii) (8, 1), (k, – 4), (2, – 5)
Solution:
(i) Let the given points be A = (x1, y1) = (7, – 2), B = (x2, y2) = (5, 1) and C = (x3, y3) = (3, k). These points lie on a line if
Area (∆ ABC) = O
i.e., x1(y2 – y3) + x2(y3 – y1) + x3(y1 – y2) = 0
or 7(1 – k) + 5(k + 2) + 3(- 2 – 1) = 0
or 7 – 7k + 5k + 10 – 9 = 0
or 8 – 2k = 0
2k = 8 i.e., k = 4
Hence, the given points are collinear for k = 4
(ii) Let the given points be A = (x1, y1) = (8, 1), B = (x2, y2) = (k, – 4) and C = (x3, y3) = (2, – 5).
If the given points are collinear, then
x1(y2 – y3) + x2(y3 – y1) + x3(y1 – y2) = 0= 0
So, 8(- 4 + 5) + k(- 5 – 1) + 2(1 + 4) = 0
or 8 – 6k + 10 = 0
or – 6k = – 18
i.e., k – 3
Hence, the given points are collinear for k = 3.
![]()
Question 3.
Find the area of the triangle formed by joining the mid-points of the sides of the triangle whose vertices are (0, – 1), (2, 1) and (0, 3). Find the ratio of this area to the area of the given triangle.
Solution:
Let A = (x1, y1) = (0, – 1), B = (x2, y2) = (2, 1) and C = (x3, y3) = (0, 3) be the vertices of ∆ ABC.

Let P \(\left(\frac{0+2}{2}, \frac{3+1}{2}\right)\) i.e., (1, 2),
Q \(\left(\frac{2+0}{2}, \frac{1-1}{2}\right)\) i.e., (1, 0) and ,
R \(\left(\frac{0+0}{2}, \frac{3-1}{2}\right)\) i.e. (0, 1) be the
vertices of A PQR formed by joining the mid-points of the sides of A ABC.
Now,

Ratio of the area (∆ PQR) to the area (∆ ABC) = 1 : 4.
Question 4.
Find the area of the quadrilateral whose vertices, taken in order, are (- 4, – 2), (- 3, – 5), (3, – 2) and (2, 3).
Solution:
Let A(- 4, – 2), B(- 3, – 5), C(3, – 2) and D(2, 3) be the vertices of the quadrilateral ABCD.
Area of quadrilateral ABCD = Area of ∆ ABC + Area of ∆ ACD
= \(\frac { 1 }{ 2 }\)[- 4(- 5 + 2) – 3(- 2 + 2) + 3(- 2 + 5)] + \(\frac { 1 }{ 2 }\)[- 4(- 2 – 3) + 3(3 + 2) + 2(- 2 + 2)]
= \(\frac { 1 }{ 2 }\)(12-0 + 9) + \(\frac { 1 }{ 2 }\)(20 + 15 + 0)
= \(\frac { 1 }{ 2 }\)(21 + 35) sq. units = \(\frac { 1 }{ 2 }\) x 56 sq.units = 28 sq. units
![]()
Question 5.
You have studied in class IX (Chapter 9, Example 3) that a median of a triangle divides it into two triangles of equal areas. Verify this result for ∆ ABC whose vertices are A(4, – 6), B(3, – 2) and C(5, 2).
Solution:

Since AD is the median of A ABC, therefore D is the mid-point of BC. Coordinates of D are \(\left(\frac{3+5}{2}, \frac{-2+2}{2}\right)\), i.e., (4, 0)
Area of ∆ ADC = \(\frac { 1 }{ 2 }\) [4(0 – 2) + 4(2 + 6) + 5(- 6 – 0)]
= \(\frac { 1 }{ 2 }\)(- 8 + 32 – 30) = \(\frac { 1 }{ 2 }\) x (- 6) = – 3
= 3 sq. units (numerically)
Area of ∆ ABD = \(\frac { 1 }{ 2 }\) [4(- 2 – 0) + 3(0 + 6) + 4(- 6 + 2)]
= \(\frac { 1 }{ 2 }\)(- 8 + 18 – 16)
= \(\frac { 1 }{ 2 }\)(- 6)
= – 3
= 3 sq. units (numerically)
Clearly, area (∆ ADC) = area (∆ ABD).
Hence, the median of the triangle divides it into two triangles of equal areas.