Bihar Board Class 11 Chemistry Solutions Chapter 2 परमाणु की संरचना Textbook Questions and Answers, Additional Important Questions, Notes.
BSEB Bihar Board Class 11 Chemistry Solutions Chapter 2 परमाणु की संरचना
Bihar Board Class 11 Chemistry परमाणु की संरचना Text Book Questions and Answers
अभ्यास के प्रश्न एवं उनके उत्तर
प्रश्न 2.1
- एक ग्राम-भार में इलेक्ट्रॉनों की संख्या का परिकलन कीजिए।
- एक मोल इलेक्ट्रॉनों के द्रव्यमान और आवेश का परिकलन कीजिए।
उत्तर:
1. ∵ 9.1 × 10-28 ग्राम = 1 इलेक्ट्रॉन
∴ 1 ग्राम = \(\frac { 1 }{ 9.1\times 10^{ -28 } } \) इलेक्ट्रॉन
= 1.099 × 1027 इलेक्ट्रॉन
अतः एक ग्राम – भार में इलेक्ट्रॉनों की संख्या
= 1.099 × 1027 इलेक्ट्रॉन
2. ∵ 1 मोल = 6.022 × 1023 इकाई
∴ 1 मोल इलेक्ट्रॉन का द्रव्यमान = एक इलेक्ट्रॉन का द्रव्यमान × 6.022 × 1023
= 9.1 × 10-3 kg × 6.022 × 1023
= 5.48 × 10-7 kg
तथा 1 मोल इलेक्ट्रॉनों का आवेश
= एक इलेक्ट्रॉन का द्रव्यमान × 6.022 × 1023
= 1.602 × 10-19 C × 6.022 × 1023
= 9.65 × 10× 104 C
![]()
प्रश्न 2.2
1. मेथेन के एक मोल में उपस्थित इलेक्ट्रॉनों की संख्या का परिकलन कीजिए।
2. 7 mg14 C में न्यूट्रॉनों की –
(क) कुल संख्या तथा
(ख) कुल द्रव्यमान ज्ञात कीजिए। (न्यूट्रॉन का द्रव्यमान = 1.675 × 10-27 kg मान लीजिए)
3. मानक ताप और दाब (STP) पर 34mg NH3 में प्रोटॉनों की –
(क) कुल संख्या और
(ख) कुल द्रव्यमान बताइए। दाब और ताप में परिवर्तन से क्या उत्तर परिवर्तित हो जायेगा?
उत्तर:
1. मेथेन में इलेक्ट्रॉनों की संख्या = 6 + 4 = 10
मेथेन के एक मोल में इलेक्ट्रॉन संख्या
= 6.022 × 1023 × 10
= 6.022 × 1024
2. 14C का द्रव्यमान = 7mg = 7 × 10-3g
तथा 14C का मोलर द्रव्यमान = 14g/mol
14C का 7 mg में द्रव्यमान = \(\frac { 7\times 10^{ -3 }g }{ 14g/mol } \)
= 5 × 10-14 mol
(क) 7mg14C में न्यूट्रॉनों की कुल संख्या
= 8 × 5 × 10-14 mol × 6.022 × 1023 mol-1
(∵ 14C में नाभिक में 8 न्यूट्रॉन होते हैं।)
= 2.4088 × 1021
(ख) 7mg 14C का कुल द्रव्यमान
= 2.41 × 1021 × 1.675 × 10-27 kg
= 4.0367 × 10-6 kg
3. प्रश्नानुसार,
NH3 का द्रव्यमान = 34 mg = 34 × 10-3g
= \(\frac { 34\times 10^{ -3 }g }{ 17g/mol } \) = 2 × 10-3 mol
∴ 34 mg में NH3 के अणुओं की संख्या
= 2 × 10-3mol × 6.022 × 1023mol-1
= 1.2044 × 1021
∵ NH3 में प्रोटॉनों की संख्या = 7 + 3 = 10
(क) अतः 34 mg NH3 में प्रोटॉनों की कुल संख्या
= 10 × 1.2044 × 1021
= 1.2044 × 1022
(ख) ∵ एक प्रोटॉन का द्रव्यमान = 1.675 × 10-27 kg
∴ 34 mg NH3 में प्रोटॉनों का कुल द्रव्यमान
= 1.2044 × 1022 × 1.675 × 10-27 kg
= 2.017 × 10-5 kg
ताप और दाब में परिवर्तन से उत्तर में कोई परिवर्तन नहीं होगा क्योंकि न्यूट्रॉनों, प्रोटॉनों और अणुओं की संख्या तथा द्रव्यमान ताप एवं दाब पर निर्भर नहीं करते।
![]()
प्रश्न 2.3
निम्नलिखित नाभिकों में उपस्थित न्यूट्रॉनों और प्रोटॉनों की संख्या बताईए –
![]()
उत्तर:

प्रश्न 2.4
नीचे दिये गये परमाणु द्रव्यमान (A) और परमाणु संख्या (Z) वाले परमाणुओं का पूर्ण प्रतीक लिखिए –
- Z = 17, A = 35
- Z = 92, A = 233
- Z = 4, A = 9
उत्तर:
1. \(_{ 17 }^{ 35 }{ Cl }\)
2. \(_{ 233 }^{ 92 }{ U }\)
3. \(_{ 9 }^{ 4 }{ Be }\)
प्रश्न 2.5
सोडियम लैम्प द्वारा उत्सर्जित पीले प्रकाश की तरंग – दैर्घ्य (λ) 580 nm है। इसकी आवृत्ति (v) और तरंग-संख्या (\(\bar { υ } \)) का परिकलन कीजिए।
उत्तर:
पीले प्रकाश की आवृत्ति की गणना,
हम जानते हैं कि v = \(\frac{c}{λ}\)
दिया है, c = 3.0 × 10 ms-1
λ = 580nm = 580 × 10-9m
υ = \(\frac { 3.0\times 10^{ 8 }(ms^{ -1 }) }{ 580\times 10^{ -9 }(m) } \)
= 5.17 × 1014s-1
तरंग-संख्या की गणना
तरंग-संख्या (\(\bar { v } \)) = \(\frac{1}{λ}\) = \(\frac { 1 }{ (580\times 10^{ -9 })m } \)
= 1.724 × 106 m-1
![]()
प्रश्न 2.6
प्रत्येक ऐसे फोटॉन की ऊर्जा ज्ञात कीजिए –
- जो 3 × 1015 Hz आवृत्ति वाले प्रकाश के संगत हो।
- जिसकी तरंग-दैर्घ्य 0.50 Å हो।
उत्तर:
1. फोटॉन की ऊर्जा E = hv
h = 6.626 × 10-34 J-s
v = 3 × 1015 Hz = 3 × 1015 s-1
∴ E = (6.626 × 10-34 J-s) × (3 × 1015 s-1)
= 1.988 × 10-18 J
2. फोटॉन की ऊर्जा E = hv = \(\frac{hc}{λ}\)
h = 6.626 × 10-34 J-s;
c = 3.0 × 108ms-1;
λ = 0. 50Å = 0.5 × 10-10 m

= 3.97 × -15 J
प्रश्न 2.7
2.0 × 10-10 s काल वाली प्रकाश तरंग की तरंग-दैर्घ्य, आवृत्ति और तरंग-संख्या की गणना कीजिए।
उत्तर:

प्रश्न 2.8
ऐसा प्रकाश, जिसकी तरंग-दैर्घ्य 4000 pm हो और जो 1J ऊर्जा दे, के फोटॉनों की संख्या बताइए।
उत्तर:
फोटॉन की ऊर्जा (E) = \(\frac{hc}{λ}\)
h = 6.626 × 10-34 J-s
c = 3 × 108 ms-1
λ = 4000pm = 4000 × 10-12 = 4 × 10-19 m
∴ फोटॉन की ऊर्जा

= 4.97 × 10-17 J
इस प्रकार, 4.97 × 10-17 J ऊर्जा है = 1 फोटॉन
∴ कुल फोटॉन जिनकी ऊर्जा 1J होगी = \(\frac { 1 }{ 4.97\times 10^{ -17 } } \)
= 2.012 × 1016 फोटॉन
![]()
प्रश्न 2.9
यदि 4 × 10-7 m तरंग-दैर्ध्य वाला एक फोटॉन 2.13 ev कार्यफलन वाली धातु की सतह से टकराता है, तो –
- फोटॉन की ऊर्जा (ev में)
- उत्सर्जन की गतिज ऊर्जा और
- प्रकाशीय इलेक्ट्रॉन के वेग का परिकलन कीजिए (1ev = 1.6020 × 10-19 J)।
उत्तर:
1. फोटॉन की ऊर्जा (E) = hυ = \(\frac{hc}{λ}\)

2. उत्सर्जन की गतिज ऊर्जा = \(\frac{1}{2}\) mv2 = hυ – hυ0
= 3.10 – 2.13 = 0.97ev
3. \(\frac{1}{2}\) mυ2 = 0.97eV = 0.97 × 1.602 × 10-19 J
या \(\frac{1}{2}\) × (9.11 × 10-31 kg) × υ2
= 0.97 × 1.602 × 10-19 J
या υ2 = 0.341 × 1012
= 34.1 × 1010
या υ = 5.84 × 105 ms-1
![]()
प्रश्न 2.10
सोडियम परमाणु के आयनन के लिए 242 nm तरंग-दैर्ध्य की विद्युत-चुम्बकीय विकिरण पर्याप्त होती है। सोडियम की आयनन ऊर्जा KJ mol-1 में ज्ञात कीजिए।
उत्तर:
h = 6.626 × 10-34 J-s
c = 3 × 108 ms-1
λ = 242 nm = 242 × 10-9 m
∴ λ = 242nm = 242 × 10-9 m
∴ आयनन ऊर्जा (E) = \(\frac{hc}{λ}\)

= 494 KJ mol-1
प्रश्न 2.11
25 वॉट का एक बल्ब 0.57µm तरंग दैर्ध्य वाले पीले रंग का एक वर्णी प्रकाश उत्पन्न करता है। प्रति सेकण्ड क्वाण्टा के उत्सर्जन की दर ज्ञात कीजिए।
उत्तर:
एक फोटॉन की ऊर्जा (E) = \(\frac{hc}{λ}\)

= 34.87 × 10-20 J
∵ शक्ति = 25 वाट = 25Js-1
तथा ऊर्जा = 34.87 × -20 J

= 7.17 × 19 s-1
![]()
प्रश्न 2.12
किसी धातु की सतह पर 6800Å तरंग-दैर्ध्य वाली विकिरण डालने से शून्य वेग वाले इलेक्ट्रॉन उत्सर्जित होते हैं। धातु की देहली आवृत्ति (υ0) और कार्यफलन (W0) ज्ञात कीजिए।
उत्तर:
देहली आवृत्ति (υ0) = \(\frac{c}{λ}\) = \(\frac { (3\times 10^{ 8 }ms^{ -1 }) }{ (68\times 10^{ -8 }m) } \)
= 4.41 × 1014s-1
कार्यफलन (W0) = hv0
= (6.626 × 10-34 J-s) × (4.41 × 1014s-1)
= 2.92 × 10-19 J
प्रश्न 2.13
जब हाइड्रोजन परमाणु के n = 4 ऊर्जा स्तर से n = 2 ऊर्जा स्तर में इलेक्ट्रॉन जाता है, तो किस तरंग दैर्ध्य का प्रकाश उत्सर्जित होगा?
उत्तर:
बामर समीकरण के अनुसार तरंग-संख्या (\(\bar { υ } \))

प्रश्नानुसार,
n1 = 2, n2 = 4, RH = 109678cm-1

अतः तरंग – दैर्ध्य (λ) = \(\frac { 1 }{ \bar { \upsilon } } \)
\(\frac{16}{109678×3}\)
= 486 × 10-7cm
= 486 × 10-9 m
= 486 nm
![]()
प्रश्न 2.14
यदि इलेक्ट्रॉन n = 5 कक्षक में उपस्थित हो, तो H परमाणु के आयनन के लिए कितनी ऊर्जा की आवश्यकता होगी? अपने उत्तर की तुलना हाइड्रोजन परमाणु के आयनन एन्थैल्पी से कीजिए। (आयनन ऐन्थेल्पी n = 1 कक्षक से इलेक्ट्रॉन को निकालने के लिए आवश्यक ऊर्जा होती है।)
उत्तर:
इलेक्ट्रॉन n = 5 कक्षक में उपस्थित है।
∴ n1 = 5, n2 = ∞
H परमाणु के आयनन के लिए आवश्यक ऊर्जा (∆E)
= E2 – E1

n = 1 कक्षक में उपस्थित इलेक्ट्रॉन के लिए आयनन ऊर्जा

प्रश्न 2.15
जब हाइड्रोजन परमाणु में उत्तेजित इलेक्ट्रॉन n = 6 से मूल अवस्था में जाता है तो प्राप्त उत्सर्जित रेखाओं की अधिकतम संख्या क्या होगी?
उत्तर:
हम जानते हैं कि उत्सर्जित रेखाओं की अधिकतम संख्या
= \(\frac{n(n-1)}{2}\)
= \(\frac{6×5}{2}\)
= 15
प्रश्न 2.16
- हाइड्रोजन के प्रथम कक्षक से सम्बन्धित ऊर्जा – 2.18 × 10-18 J atom-1 है। पाँचवें कक्षक से सम्बन्धित ऊर्जा बताइए।
- हाइड्रोजन परमाणु के पाँचवें बोर कक्षक की त्रिज्या की गणना कीजिए।
उत्तर:
1. किसी इलेक्ट्रॉन के लिए दो कक्षकों में ऊर्जाओं की तुलना निम्नवत् की जा सकती है –

2. H – परमाणु के लिए बोर त्रिज्या,

![]()
प्रश्न 2.17
हाइड्रोजन परमाणु की बामर श्रेणी में अधिकतम तरंग-दैर्ध्य वाले संक्रमण की तरंग-संख्या की गणना कीजिए।
उत्तर:
हाइड्रोजन परमाणु से उत्सर्जित विकिरण की तरंग-संख्या निम्नवत् दी जा सकती है –

बामर श्रेणी, n1 = 2 के लिए, तरंग-दैर्ध्य (λ) अधिकतम होगा जबकि इलेक्ट्रॉन ऊर्जा स्तर n2 = 3 से n2 = 2 पर आएगा।

प्रश्न 2.18
हाइड्रोजन परमाणु में इलेक्ट्रॉन को पहली कक्ष से पाँचवीं कक्ष तक ले जाने के लिए आवश्यक ऊर्जा की जूल में गणना कीजिए। जब यह इलेक्ट्रॉन तलस्थ अवस्था में लौटता है तो किस तरंग-दैर्ध्य का प्रकाश उत्सर्जित होगा? (इलेक्ट्रॉन की तलस्थ अवस्था ऊर्जा -2.18 × 10-11 ergs है)।
उत्तर:
हाइड्रोजन परमाणु के n कक्ष में इलेक्ट्रॉन की ऊर्जा निम्नवत् दी जा सकती है –

इलेक्ट्रॉनिक संक्रमण के लिए आवश्यक ऊर्जा,
∆E = E5 – E1
= – 8.72 × 10-13 erg – (-2.18 × 10-11 erg)
= – 0.0872 × 10-11 + 2.18 × 10-11
= 2.09 × 10-11 erg
उत्सर्जित विकिरण की तरंग – दैर्ध्य

प्रश्न 2.19
हाइड्रोजन परमाणु में इलेक्ट्रॉन की ऊर्जा En = \(\frac{\left(-2.18 \times 10^{-18}\right)}{n^{2}}\) द्वारा दी जाती है। n = 2 कक्षा से इलेक्ट्रॉन को पूरी तरह निकालने के लिए आवश्यक ऊर्जा की गणना कीजिए। प्रकाश की सबसे लम्बी तरंग – दैर्ध्य (cm में) क्या होगी। जिसका प्रयोग इस संक्रमण में किया जा सके?
उत्तर:
En = \(\frac{\left(-2.18 \times 10^{-18}\right)}{n^{2}}\)
n = 2 से एक इलेक्ट्रॉन निकालने के लिए आवश्यक ऊर्जा,

ऊर्जा, तरंग-दैर्ध्य से निम्नलिखित सम्बन्ध द्वारा सम्बन्धित होती है –

अतः इस संक्रमण में प्रयुक्त प्रकाश की तरंग – दैर्ध्य 3.647 × 10-5 cm(3647Å) है।
![]()
प्रश्न 2.20
2.05 × 107 ms-1 वेग से गति कर रहे किसी इलेक्ट्रॉन का तरंग-दैर्ध्य क्या होगा?
उत्तर:
υ = 2.05 × 107 ms-1
तथा m = 9.1 × 1031 kg
∴ इलेक्ट्रॉन की तरंग-दैर्ध्य (λ) = \(\frac{h}{mυ}\)

= 3.55 × 10-11 m
प्रश्न 2.21
इलेक्ट्रॉन का द्रव्यमान 9.1 × 10-31 10-31 kg है। यदि इसकी गतिज ऊर्जा 3.0 × 10-25 तो इसकी तरंग-दैर्ध्य की गणना कीजिए।
उत्तर:
इलेक्ट्रॉन की गतिज ऊर्जा (K.E.) = \(\frac{1}{2}\) mυ2
= 3.0 × 10-25 J
इलेक्ट्रॉन का द्रव्यमान, m = 9.1 × 10-31 kg
यदि इस इलेक्ट्रॉन की तरंग-दैर्ध्य 2. हो तो
λ = \(\frac{h}{mυ}\)

प्रश्न 2.22
निम्नलिखित में से कौन सम-आयनी स्पीशीज हैं, अर्थात् किन में इलेक्ट्रॉनों की समान संख्या है?
Na+, K+, Mg2+, Ca2+, S2-, Ar
उत्तर:
Na+ तथा Mg2+ सम-आयनी स्पीशीज हैं क्योंकि दोनों में 10 इलेक्ट्रॉन हैं।
K+, Ca2+, S2- तथा Ar सम-आयनी स्पीशीज हैं क्योंकि इनमें प्रत्येक में इलेक्ट्रॉनों की संख्या 18 है।
![]()
प्रश्न 2.23
1. निम्नलिखित आयनों का इलेक्ट्रॉनिक विन्यास लिखिए –
(क) H–
(ख) Na+
(ग) O2-
(घ) F–
2. उन तत्त्वों की परमाणु संख्या बताइए, जिनके सबसे बाहरी इलेक्ट्रॉनों को निम्नलिखित रूप में दर्शाया जाता है –
(क) 3s1
(ख) 2p3
(ग) 3p5
3. निम्नलिखित विन्यासों वाले परमाणुओं के नाम बताईए
(क) [He]2s1
(ख) [Ne]3s23p3
(ग) [Ar]4s2 3d1
उत्तर:
1.
(क) 1s2
(ख) 1s2, 2s2, 2p6
(ग) 1s2, 2s2, 2p6
(घ) 1s2, 2s2, 2p6
2.
(क) Na (Z = 11) का सबसे बाहरी इलेक्ट्रॉनिक विन्यास 3s1 है।
(ख) N(Z = 7) का सबसे बाहरी इलेक्ट्रॉनों का विन्यास 2p3 है।
(ग) CI(Z = 17) का सबसे बहारी इलेक्ट्रॉनिक विन्यास 3p5 है।
3.
(क) Li
(ख) P
(ग) Sc
![]()
प्रश्न 2.24
किस निम्नतम n मान द्वारा g – कक्षक का अस्तित्व अनुमत होगा?
उत्तर:
g – कक्षक, l = 4 से सम्बन्धित है। अत: n का निम्नतम मान 5 होगा जिसके द्वारा g-कक्षक का अस्तित्व अनुमत होगा।
प्रश्न 2.25
एक इलेक्ट्रॉन किसी 3d – कक्ष में है। इसके लिएn, और m के सम्भव मान दीजिए।
उत्तर:
3d – कक्षक के लिए
n = 3, l = 2, ml = -2, -1, 0, +1,+2
प्रश्न 2.26
किसी तत्त्व के परमाणु में 29 इलेक्ट्रॉन और 35 न्यूट्रॉन हैं।
- इसमें प्रोटॉनों की संख्या बताइए।
- तत्त्व का इलेक्ट्रॉनिक विन्यास बताइए।
उत्तर:
1. ∵ तत्त्व के परमाणु में 29 इलेक्ट्रॉन हैं।
∴ तत्त्व का परमाणु क्रमांक (Z) = 29
∴ प्रोटॉनों की संख्या = Z = 29
2. तत्त्व का इलेक्ट्रॉनिक विन्यास
= 1s2, 2s2, 3p6, 3s2 3p6, 4s1, 3d10
प्रश्न 2.27
\({ H }_{ 2 }^{ + }\), H2 \({ O }_{ 2 }^{ + }\) और स्पीशीज में उपस्थित इलेक्ट्रॉनों की संख्या बताइए।
उत्तर:
\({ H }_{ 2 }^{ + }\) में इलेक्ट्रॉनों की संख्या = 1
H2 में इलेक्ट्रॉनों की संख्या = 2
O2, में इलेक्ट्रॉनों की सख्या = 15
![]()
प्रश्न 2.28
- किसी परमाणु कक्षक का n = 3 है। उसके लिए l और 2ml, के सम्भव मान क्या होंगे?
- 3d – कक्षक के इलेक्ट्रॉनों के लिए ml और l क्वाण्टम संख्याओं के मान बताइए।
- निम्नलिखित में से कौन – से कक्षक सम्भव हैं – 1p, 2s, 2p और 3f
उत्तर:
1. n = 3
अतः = 0, 1, 2 के लिए
l = 0, ml = 0
l = 1, ml = -1, 0, +1
l = 2, ml = -2, -1, 0, + 1, +2
2. d – कक्षक के लिए, l = 2
इसलिए, l = 2, ml = -2 -1, 0, + 1, +2
3. सम्भव कक्षक 2s, 2p हैं।
प्रश्न 2.29
s, p, d संकेतन द्वारा निम्नलिखित क्वांटम संख्याओं वाले कक्षकों को बताइए –
(क) n = 1, l = 0
(ख) n = 3, l = 1
(ग) n = 4, l = 2
(घ) n = 4, l = 3
उत्तर:
(क) 1s
(ख) 3p
(ग) 4d
(घ) 4f
प्रश्न 2.30
कारण देते हुए बताइए कि निम्नलिखित क्वांटम संख्या के कौन-से मान सम्भव नहीं हैं –
(क) n = 0, l = 0, ml = 0, ms = +\(\frac{1}{2}\)
(ख) n = 1, l = 0, ml = 0, ms = –\(\frac{1}{2}\)
(ग) n = 1, l = 1, ml = 0, ms = +\(\frac{1}{2}\)
(घ) n = 2, l = 1, ml = 0, ms = –\(\frac{1}{2}\)
(ङ) n = 3, l = 3, ml = -3, ms = +\(\frac{1}{2}\)
(च) n = 3, l = 1, ml = 0, ms = +\(\frac{1}{2}\)
उत्तर:
(क) असम्भव (∵ n ≠ 0)
(ख) सम्भव।
(ग) असम्भव। (∵ n = 1, l ≠ 1)
(घ) सम्भव।
(ङ) असम्भव। (∵ n = 3, l ≠ 3)
(च) सम्भव।
![]()
प्रश्न 2.31
किसी परमाणु में निम्नलिखित क्वांटम संख्याओं वाले कितने इलेक्ट्रॉन होंगे?
(क) n = 4, ms = –\(\frac{1}{2}\)
(ख) n = 3, l = 0
उत्तर:
(क) n = 4 के लिए, उपकोशों की संख्या = 4s, 3d, 4p
∴ इलेक्ट्रॉनों की कुल संख्या = 2 + 10 + 6 = 18
(ख) l = 0 से s – कक्षक निरूपित होता है जिसमें अधिकतम 2 इलेक्ट्रॉन रह सकते हैं।
अत: क्वांटम संख्या n = 3, l = 0 में इलेक्ट्रॉनों की संख्या 2 होगी।
प्रश्न 2.32
यह दर्शाइए कि हाइड्रोजन परमाणु की बोर कक्षा की परिधि उस कक्षा में गतिमान इलेक्ट्रॉन की दे-बाग्ली तरंग-दैर्ध्य का पूर्णांक गुणक होती है।
उत्तर:
बोर के सिद्धान्तानुसार,
mυr = \(\frac{nh}{2π}\)
या mυ = \(\frac{nh}{2πr}\) ……………… (i)
दे – ब्राग्ली समीकरण से
λ = \(\frac{h}{mυ}\)
या mυ = \(\frac{h}{mλ}\) ……………… (ii)
समीकरण (i) तथा (ii) से
\(\frac{nh}{2πr}\) = \(\frac{h}{λ}\)
या 2πr = nλ
अतः हाइड्रोजन परमाणु की बोर कक्षा की परिधि (2πr) उस कक्षा में गतिमान इलेक्ट्रॉन की दे-ब्राग्ली तरंग-दैर्ध्य का पूर्ण गुणांक होती है।
![]()
प्रश्न 2.33
He+ स्पेक्ट्रम के n = 4 से n = 2 बामर संक्रमण से प्राप्त तरंग-दैर्ध्य के बराबर वाला संक्रमण हाइड्रोजन स्पेक्ट्रम में क्या होगा?
उत्तर:
किसी परमाणु के लिए, तरंग संख्या

He+ स्पेक्ट्रम के लिए:
Z = 2, n2 = 4, n1 = 2

हाइड्रोजन स्पेक्ट्रम के लिए:

इसका तात्पर्य है कि n1 = 1 तथा n2 = 2
अतः हाइड्रोजन स्पेक्ट्रम की स्थिति में संक्रमण n2 = 2 से n1 = 1 होगा।
प्रश्न 2.34
He+ (g) → He2+ (g) + e– प्रक्रिया के लिए आवश्यक ऊर्जा की गणना कीजिए। हाइड्रोजन परमाणु की तलस्थ अवस्था में आयनन ऊर्जा 2.18 × 10-18 J atom-1 है।
उत्तर:
आयनन ऊर्जा के लिए व्यंजक निम्नवत् है –

हाइड्रोजन परमाणु (Z = 1) के लिए, En = 2.18 × 10-18 × (2)2
He+ आयन (Z = 2) के लिए, En, = 2.18 × 10-18 × (2)2
= 8.72 × 10-18 J atom-1 (एकल इलेक्ट्रॉन स्पीशीज)
![]()
प्रश्न 2.35
यदि कार्बन परमाणु का व्यास 0.15 nm है तो उन कार्बन परमाणुओं की संख्या की गणना कीजिए जिन्हें 20 cm स्केल की लम्बाई में एक-एक करके व्यवस्थित किया जा सकता है।
उत्तर:
स्केल की लम्बाई = 20cm = 20 × 107 nm = 2 × 107 nm = 2 × 108 nm
कार्बन परमाणु का व्यास = 0.15 nm
कार्बन परमाणुओं की संख्या जिन्हें स्केल की लम्बाई में एक – एक करके व्यवस्थित किया जा सकता है –
\(\frac { 2\times 10^{ 8 }nm }{ (0.15)nm } \) = 1.33 × 109
प्रश्न 2.36
कार्बन के 2 × 108 परमाणु एक कतार में व्यवस्थित हैं। यदि इस व्यवस्था की लम्बाई 2.4 cm है तो कार्बन परमाणु के व्यास की गणना कीजिए।
उत्तर:
कार्बन परमाणुओं की संख्या = 2 × 108
कतार की लम्बाई = 2.4 cm
कार्बन परमाणु का व्यास = \(\frac { 2.4 }{ 2\times 10^{ 8 } } \) = 1.20 × 10-8
![]()
प्रश्न 2.37
जिंक परमाणु का व्यास 2.6Å है –
(क) जिंक परमाणु की त्रिज्या pm में तथा
(ख) 1.6 cm की लम्बाई में कतार में लगातार उपस्थित परमाणुओं की संख्या की गणना कीजिए।
उत्तर:
(क) 1Å = 102 pm
2.6Å = 2.6 × 102 pm = 260 pm
अत: जिंक परमाणु की त्रिज्या = \(\frac { 260 }{ 2 } \) pm
= 130 pm
(ख) स्केल की लम्बाई = 1.6cm = 1.6 × 1010
जिंक परमाणु का व्यास = 260pm
कतार में उपस्थित लगातार परमाणुओं की संख्या
= \(\frac { 1.6\times 10^{ 10 }pm }{ 260pm } \)
= 6.154 × 107
प्रश्न 2.38
किसी कण का स्थिर विद्युत आवेश 2.5 × 10-16C है। इसमें उपस्थित इलेक्ट्रॉनों की संख्या की गणना कीजिए।
उत्तर:
प्रश्नानुसार, विद्युत आवेश का परिणाण (q) = 2.5 × 10-16C
तथा एक इलेक्ट्रॉन का आवेश (e) = 1.602 × 10-19C
∴ इलेक्ट्रॉनों की संख्या = \(\frac{q}{e}\)
= \(\frac { 2.5\times 10^{ -16 } }{ 1.602\times 10^{ -19 } } \)
= 1560
![]()
प्रश्न 2.39
मिलिकन के प्रयोग में तेल की बूंद पर चमकती x – किरणों द्वारा प्राप्त स्थैतिक विद्युत-आवेश प्राप्त किया जाता है। तेल की बूँद पर यदि स्थैतिक विद्युत-आवेश -1.282 × 10-18C है तो इसमें उपस्थित इलेक्ट्रॉनों की संख्या ज्ञात कीजिए।
उत्तर:
प्रश्नानुसार, तेल की बूँद पर आवेश का परिमाण
(q) = -1.282 × 10-18C
तथा एक इलेक्ट्रॉन का आवेश (e) = -1.602 × 10-19C
∴ इलेक्ट्रॉनों की संख्या = \(\frac{q}{e}\)
= \(\frac { -1.282\times 10^{ -18 } }{ 1.602\times 10^{ -19 } } \)
= 8
प्रश्न 2.40
रदरफोर्ड के प्रयोग में सोने, प्लैटिनम आदि भारी परमाणुओं की पतली पन्नी पर α – कणों द्वारा बमबारी की जाती है। यदि ऐलुमिनियम आदि जैसे हल्के परमाणु की पतली पन्नी ली जाए तो उपर्युक्त परिणामों में क्या अन्तर होगा?
उत्तर:
अधिकतर α – कण सीधे निकल जाएँगे; क्योंकि हल्के परमाणु का नाभिक भी हल्का होगा। कुछ α – कण अपने पथ से कम विक्षेपित होंगे, चूँकि नाभिक पर धनावेश भी कम होगा। इस प्रकार ऐलुमिनियम की पतली पन्नी लेने पर रदरफोर्ड के प्रयोग के परिणाम भिन्न होंगे।
![]()
प्रश्न 2.41
\(_{ 35 }^{ 79 }{ Br }\) तथा 79Br प्रतीक मान्य हैं, जबकि \(_{ 79 }^{ 35 }{ Br }\) तथा 35Br मान्य नहीं हैं। संक्षेप में कारण बताइए।
उत्तर:
\(_{ 35 }^{ 79 }{ Br }\) तथा 79Br मान्य हैं जबकि \(_{ 79 }^{ 35 }{ Br }\)Br तथा 35Br मान्य नहीं है क्योंकि 35Br में द्रव्यमान संख्या को व्यक्त नहीं किया गया है और तत्त्व के निर्धारण हेतु द्रव्यमान संख्या का व्यक्त करना आवश्यक होता है।
प्रश्न 2.42
एक 81 द्रव्यमान संख्या वाले तत्त्व में प्रोटॉनों की तुलना में 31.7% न्यूट्रॉन अधिक है। इसका परमाणु प्रतीक लिखिए।
उत्तर:
माना प्रोटॉनों की संख्या x है।
∴ न्यूट्रॉनों की संख्या = x + \(\frac{x×31.7}{100}\)
= 1.317x
∵ तत्त्व की द्रव्यमान संख्या = प्रोटॉनों की संख्या + न्यूट्रॉनों की संख्या
81 = x + 1.317x = 2.317x
x = \(\frac{81}{2.317}\) = 35
∴ तत्त्व का परमाणु क्रमांक (Z) = प्रोटॉनों की संख्या = 35
अतः परमाणु क्रमांक 35 वाला तत्त्व बोमीन है।
![]()
प्रश्न 2.43
37 द्रव्यमान संख्या वाले एक आयन पर ऋणावेश की एक इकाई है। यदि आयन में इलेक्ट्रॉन की तुलना में न्यूट्रॉन 11.1% अधिक है तो आयन का प्रतीक लिखिए।
उत्तर:
माना आयन में इलेक्ट्रॉनों की संख्या = x
प्रोटॉनों की संख्या = x – 1
तथा न्यूट्रॉनों की संख्या = 1.111x
आयन का द्रव्यमान= प्रोटॉनों की संख्या + न्यूट्रॉनों की संख्या
= (x – 1 + 1.111x)
दिया है, आयन का द्रव्यमान = 37
∴ x – 1 + 1.111x = 37
2.111x = 37 + 1 = 38
x = \(\frac{38}{2.111}\) = 18
इलेक्ट्रॉनों की संख्या = 18
प्रोटॉनों की संख्या = (18 – 1) = 17
आयन की परमाणु संख्या = 17
आयन से सम्बद्ध परमाणु = Cl
आयन का प्रतीक = Cl–
प्रश्न 2.44
56 द्रव्यमान संख्या वाले एक आयन पर धनावेश की 3 इकाई हैं और इसमें इलेक्ट्रॉन की तुलना में 30.4% न्यूट्रॉन अधिक हैं। इस आयन का प्रतीक लिखिए।
उत्तर:
माना आयन में इलेक्ट्रॉनों की संख्या = x
∴ प्रोटॉनों की संख्या = x + 3
तथा न्यूट्रॉनों की संख्या = x + \(\frac{30.4x}{100}\) = x + 0.304x
अब आयन का द्रव्यमान = प्रोटॉनों की संख्या + न्यूट्रॉनों की संख्या
= (x + 3) + (x + 0.304x)
∴ 56 = (x + 3) + (x + 0.304x)
अथवा 2.304x = 56 – 3 = 53
x = \(\frac{53}{2.304}\) = 23
आयन (या तत्व) का परमाणु क्रमांक = 23 + 3 = 26
परमाणु क्रमांक 26 वाला तत्व आयरन (Fe) है तथा सम्बन्धित आयन Fe3+ है।
![]()
प्रश्न 2.45
निम्नलिखित विकिरणों के प्रकारों को आवृत्ति के बढ़ते हुए क्रम में व्यवस्थित कीजिए –
(क) माइक्रोवेव ओवन (oven) से विकिरण
(ख) यातायात-संकेत से त्रणमणि (amber) प्रकाश
(ग) एफ०एम० रेडियो से प्राप्त विकिरण
(घ) बाहरी दिक् से कॉस्मिक किरणें
(ङ) x – किरणें।
उत्तर:
बाहरी दिक् से कॉस्मिक किरणें
प्रश्न 2.46
नाइट्रोजन लेजर 337.1nm की तरंग – दैर्ध्य पर एक विकिरण उत्पन्न करती है। यदि उत्सर्जित फोटॉनों की संख्या 5.6 × 1024 हो तो इस लेजर की क्षमता की गणना कीजिए।
उत्तर:
एक फोटॉन की ऊर्जा (E) = hυ = \(\frac{hc}{λ}\)

![]()
प्रश्न 2.47
निऑन गैस को सामान्यतः संकेत बोर्डों में प्रयुक्त किया जाता है। यदि यह 616 nm पर प्रबलता से विकिरण उत्सर्जन करती है, तो
(क) उत्सर्जन की आवृत्ति
(ख) 30 सेकण्ड में इस विकिरण द्वारा तय की गई दूरी
(ग) क्वाण्टम की ऊर्जा तथा
(घ) उपस्थित क्वाण्टम की संख्या की गणना कीजिए। (यदि यह 2J की ऊर्जा उत्पन्न करती है।)
उत्तर:
(क) ∵ λ = 616nm = 616 × 10-9
∴ उत्सर्जन की आवृत्ति (υ) = \(\frac{c}{λ}\)
= \(\frac { 3\times 10^{ 8 }ms^{ -1 } }{ 616\times 10^{ -9 }m } \)
= 4.87 × 1014 s-1
(ख) 30 सेकण्ड में विकरण द्वारा तय की गई दूरी ।
= (3 × 108 ms-1) × 3s
= 9.0 × 10m m
(ग) क्वाण्टम की ऊर्जा (E) = hυ
= (6.626 × 24-34 J-s) × (4.87 × 1014)
= 32.27 × 10-20 J
(घ) उपस्थित क्वाण्टम संख्या = 6.2 × 1018
प्रश्न 2.48
खगोलीय प्रेक्षणों में दूरस्थ तारों में मिलने वाले संकेत बहुत कमजोर होते हैं। यदि फोटॉन संसूचक 600 nm के विकिरण से कुल 3.15 × 10-18 J प्राप्त करता है तो संसूचक द्वारा प्राप्त फोटॉनों की संख्या की गणना कीजिए।
उत्तर:
फोटॉनों की संख्या η = \(\frac{E}{hυ}\) = \(\frac{Eλ}{hc}\)
E = 3.15 × 10-18 J
λ = 600nm = 600 × 10-9 m = 6.0 × 10-7 m
h = 6.626 × 10-34 J-s
c = 3 × 108 ms-1

= 10 फोटॉन
![]()
प्रश्न 2.49
उत्तेजित अवस्थाओं में अणुओं के जीवन-काल का माप प्रायः लगभग नैनो-सेकण्ड परास वाले विकिरण स्त्रोत का उपयोग करके किया जाता है। यदि विकिरण स्त्रोत का काल 2 ns और स्पन्दित विकिरण स्त्रोत के दौरान उत्सर्जित फोटॉनों की संख्या 2.5 × 1015 है तो स्त्रोत की ऊर्जा की गणना कीजिए।
उत्तर:

प्रश्न 2.50
सबसे लम्बी द्विगुणित तरंग-दैर्ध्य जिंक अवशोषण संक्रमण 589 और 589.6 nm पर देखा जाता है। प्रत्येक संक्रमण की आवृत्ति और दो उत्तेजित अवस्थाओं के बीच ऊर्जा के अन्तर की गणना कीजिए।
उत्तर:

प्रश्न 2.51
सीजियम परमाणु का कार्यफलन 1.9eV है, तो
(क) उत्सर्जित विकिरण की देहली तरंग-दैर्ध्य
(ख) देहली आवृत्ति की गणना कीजिए यदि सीजियम तत्त्व को 500 nm की तरंग-दैर्ध्य के साथ विकीर्णित किया जाए, तो
(ग) निकले हुए फोटोइलेक्ट्रॉन की गतिज ऊर्जा और वेग की गणना कीजिए।
उत्तर:
(क) प्रश्नानुसार,

(ख) देहली आवृत्ति (λ0) = \(\frac { c }{ \upsilon _{ 0 } } \)

(ग) निकले हुए फोटोन इलेक्ट्रॉन की गजित ऊर्जा (E)

माना फोटोन इलेक्ट्रॉन का वेग υ है।

![]()
प्रश्न 2.52
जब सोडियम धातु को विभिन्न तरंग – दैध्यों के साथ विकीर्णित किया जाता है तो निम्नलिखित परिणाम प्राप्त होते हैं –

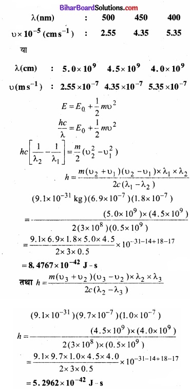
देहली तरंग – दैर्ध्य, प्लांक स्थिरांक की गणना कीजिए।
उत्तर:
दिया है,

h का अन्य मान प्रथम तथा तृतीय प्रेक्षण द्वारा भी ज्ञात किया जा सकता है।
h का औसत मान

प्रश्न 2.53
प्रकाश-विद्युत प्रभाव प्रयोग में सिल्वर धात से फोटो-इलेक्ट्रॉन का उत्सर्जन 0.35V की वोल्टता द्वारा रोका जा सकता है। जब 256.7 nm के विकिरण का उपयोग किया जाता है तो सिल्वर धातु के लिए कार्यफलन की गणना
कीजिए।
उत्तर:
λ = 256.7 nm = 256.7 × 10-9 m
गतिज ऊर्जा = 0.35ev

प्रश्न 2.54
यदि 150 pm तरंग – दैर्ध्य का फोटॉन एक परमाणु से टकराता है और इसके अन्दर बँधा हुआ इलेक्ट्रॉन 1.5 × 107 ms-1 वेग से बाहर निकलता है तो उस ऊर्जा की गणना कीजिए जिससे यह नाभिक से बँधा हुआ है।
उत्तर:
λ = 150pm
= 150 × 10-12 m
= 1.5 × 10-10 m
υ = 1.5 × 107 ms-1
गतिज ऊर्जा = \(\frac{1}{2}\) mυ2

![]()
प्रश्न 2.55
पाशन श्रेणी का उत्सर्जन संक्रमण कक्ष से आरम्भ होता है। कक्ष n = 3 में खत्म होता है तथा इसे υ = 3.29 × 1015 (Hz) \(\)
से दर्शाया जा सकता है। यदि संक्रमण 1285 nm पर प्रेक्षित होता है, तो n के मान की गणना कीजिए तथा स्पेक्ट्रम का क्षेत्र बताइए।
उत्तर:


प्रश्न 2.56
उस उत्सर्जन संक्रमण के तरंग-दैर्ध्य की गणना कीजिए, जो 1.3225 nm त्रिज्या वाले कक्ष से आरम्भ और 211.6pm पर समाप्त होता है। इस संक्रमण की श्रेणी का नाम और स्पेक्ट्रम का क्षेत्र भी बताइए।
उत्तर:
प्रश्नानुसार,

दो कक्षाओं के बीच के ऊर्जा अन्तर को निम्न समीकरण द्वारा दिया जा सकता है –

यह क्षेत्र बामर श्रेणी के दृश्य क्षेत्र से सम्बन्धित है।
प्रश्न 2.57
दे ब्राग्ली द्वारा प्रतिपादित द्रव्य के दोहरे व्यवहार से इलेक्ट्रॉन सूक्ष्मदर्शी की खोज हुई, जिसे जैव अणुओं और अन्य प्रकार के पदार्थों की अति आवर्धित प्रतिबिम्ब के लिए उपयोग में लाया जाता है। इस सूक्ष्मदर्शी में यदि इलेक्ट्रॉन का वेग 1.6 × 106 ms-1 है तो इस इलेक्ट्रॉन से सम्बन्धित दे-ब्राग्ली तरंग-दैर्ध्य की गणना कीजिए।
उत्तर:

= 0.455nm
= 455 pm
![]()
प्रश्न 2.58
इलेक्ट्रॉन विवर्तन के समान न्यूट्रॉन विवर्तन सूक्ष्मदर्शी को अणुओं की संरचना के निर्धारण में प्रयुक्त किया जाता है। यदि यहाँ 800 pm की तरंग – ली जाए तो न्यूट्रॉन से सम्बन्धित अभिलाक्षणिक वेग की गणना कीजिए।
उत्तर:

प्रश्न 2.59
यदि बोर के प्रथम कक्ष में इलेक्ट्रॉन का वेग 2.9 × 106 ms-1 है, तो इससे सम्बन्धित द ब्रॉग्ली तरंग-दैर्ध्य की गणना कीजिए।
उत्तर:
υ = 2.9 × 106 ms-1

प्रश्न 2.60
एक प्रोटॉन, जो 1000V के विभवान्तर में गति कर रहा है, से सम्बन्धित वेग 4.37 × 105 ms-1 है। यदि 0.1kg द्रव्यमान की हॉकी की गेंद इस वेग से गतिमान है तो इससे सम्बन्धित तरंग – दैर्ध्य की गणना कीजिए।
उत्तर:

प्रश्न 2.61
यदि एक इलेक्ट्रॉन की स्थिति ± 0.002 nm की शुद्धता से मापी जाती है तो इलेट्रॉन के संवेग में अनिश्चितता की गणना कीजिए। यदि इलेक्ट्रॉन का संवेग \(\frac{h}{4πm}\) × 0.05 nm है तो क्या इस मान को निकालने में कोई कठिनाई होगी?
उत्तर:

यहाँ p < ∆p
∴ ∆p को निकाला नहीं जा सकता।
![]()
प्रश्न 2.62
छः इलेक्ट्रॉन की क्वांटम संख्या नीचे दी गई है। उन्हें ऊर्जा के बढ़ते क्रम में व्यवस्थित कीजिए। क्या इनमें से किसी की ऊर्जा समान है?

उत्तर:
इन क्वाण्टम संख्याओं के अनुसार ऊर्जा का बढ़ता क्रम निम्नवत् है –
5 < 2 = 4 < 6 = 3 < 1
प्रश्न 2.63
ब्रोमीन परमाणु में 35 इलेक्ट्रॉन होते हैं। इसके 2p कक्षक में छह इलेक्ट्रॉन, 3p कक्षक में छह इलेक्ट्रॉन तथा 4p कक्षक में पाँच इलेक्ट्रॉन होते हैं। इनमें से कौन-सा इलेक्ट्रॉन न्यूनतम प्रभावी नाभिकीय आवेश अनुभव करता
है?
उत्तर:
Br (35) = 1s2, 2s2, 2p6, 3s2 3p6 3d10, 4s2 4p5
2p कक्षक में 6 इलेक्ट्रॉन हैं। 3p कक्षक में 6 इलेक्ट्रॉन तथा 4p कक्षक में 5 इलेक्ट्रॉन हैं। इनमें 4p इलेक्ट्रॉन न्यूनतम प्रभावी नाभिकीय आवेश अनुभव करेंगे, चूँकि इन पर आवरणी तथा परिरक्षण प्रभाव (screening and shielding effect) का परिमाण सर्वाधिक होगा।
प्रश्न 2.64
निम्नलिखित में से कौन-सा कक्षक उच्च, प्रभावी नाभिकीय आवेश अनुभव करेगा?
- 25 और 3s
- 4d और 4f
- 3d और 3p
उत्तर:
नाभिक के समीप किसी निश्चित कक्षा में इलेक्ट्रॉनों की अत्यधिक उपलब्धता होती है जिससे नाभिकीय आवेश का परिमाण भी बढ़ जाता है।
- 2s इलेक्ट्रॉन उच्च प्रभावी नाभिकीय आवेश अनुभव करेगा।
- 4d इलेक्ट्रॉन उच्च प्रभावी नाभिकीय आवेश अनुभव करेगा।
- 3p इलेक्ट्रॉन उच्च प्रभावी नाभिकीय आवेश अनुभव करेगा।
![]()
प्रश्न 2.65
AI तथा Si में 3p – कक्षक में अयुग्मित इलेक्ट्रॉन होते हैं। कौन-या इलेक्ट्रॉन नाभिक से अधिक प्रभावी नाभिकीय आवेश अनुभव करेगा?
उत्तर:
A तथा Si के इलेक्ट्रॉनिक विन्यास निम्नवत् हैं –
Al (Z = 13); 1s2, 2s2 2p6, 3s2 3p6
Si (Z = 14), 1s2, 2s2 2p6, 3s3 3p2
Si में उपस्थित अयुग्मित इलेक्ट्रॉन अधिक प्रभावी नाभिकीय आवेश अनुभव करेगा क्योंकि Si का परमाणु क्रमांक Al से अधिक है।
प्रश्न 2.66
इन अयुग्मित इलेक्ट्रॉनों की संख्या बताइए –
(क) P
(ख) Si
(ग) Cr
(घ) Fe
(ङ) Kr
उत्तर:
(क) 15P का इलेक्ट्रॉनिक विन्यास
= 1s2, 2s2 2p6, 3s2, 3p3
अत: P में अयुग्मित इलेक्ट्रॉनों की संख्या = 3
(ख) 14Si का इलेक्ट्रॉनिक विन्यास
= 1s2, 2s2 2p6, 3s2 3p2
अत: Si का इलेक्ट्रॉनों की संख्या = 2
(ग) 24Cr का इलेक्ट्रॉनिक विन्यास
= 1s2, 2s2 2p6, 3s2 3d5, 4s1
∴ Si में अयुग्मित इलेक्ट्रॉनों की संख्या = 6
(घ) 26Fe का इलेक्ट्रॉनिक विन्यास
= 1s2, 2s2 2p6, 3s2 3p6 3d5, 4s2
Fe में अयुग्मित इलेक्ट्रॉनों की संख्या = 4
(ङ) 36Kr का इलेक्ट्रॉनिक विन्यास
= 1s2, 2s2 2p6, 3s2 3p6 3d10, 4s2 4p6
∴ Kr में अयुग्मित इलेक्ट्रॉनों की संख्या = 0
![]()
प्रश्न 2.67
(क) n = 4 से सम्बन्धित कितने उपकोश हैं?
(ख) उस उपकोश में कितने इलेक्ट्रॉन उपस्थित होंगे, जिसके लिए ms = \(\frac{1}{2}\) एवं n = 4 हैं?
उत्तर:
(क) n = 4 के लिए उपकोशों की संख्या
= 4s, 3d, 4p = 3
(ख) ∵ उपस्थित इलेक्ट्रॉनों की कुल संख्या
= 2 + 10 + 6 = 18
∴ ms = \(\frac{1}{2}\) एवं n = 4 के लिए इलेक्ट्रॉन संख्या = 9